Peristaltic Flow of Two-Layered Newtonian Fluids: Impact of Elasticity

Peristaltic Flow of Two-Layered Newtonian Fluids: Impact of Elasticity

Vijaya Kumar Sankranthi Naga Satya Srinivas Akkiraju* Sreenadh Sreedharamalle Selvi Chittoor Kuppaswamy

Department of Mathematics, NBKR Institute of Science and Technology, Vidyanagar 524413, India

Department of Mathematics, School of Advanced Sciences, Vellore Institute of Technology, Vellore 632014, India

Department of Mathematics, Sri Venkateswara University, Tirupati 517502, India

Department of Humanities and Sciences, Sri Venkateswara College of Engineering & Technology, Chittoor 517127, India

Corresponding Author Email: 
anssrinivas@vit.ac.in
Page: 
4455-4462
|
DOI: 
https://doi.org/10.18280/mmep.121234
Received: 
3 September 2025
|
Revised: 
28 November 2025
|
Accepted: 
9 December 2025
|
Available online: 
31 December 2025
| Citation

© 2025 The authors. This article is published by IIETA and is licensed under the CC BY 4.0 license (http://creativecommons.org/licenses/by/4.0/).

OPEN ACCESS

Abstract: 

This paper investigates the impact of elasticity on two-layered peristaltic flow of Newtonian fluids in a channel. The two-dimensional flow is considered with two regions: the peripheral and core regions. A Newtonian fluid model is applied in both regions to understand the characteristics of peristaltic transport in a channel with elastic properties. The problem is solved analytically, and expressions for axial velocity and flux are obtained. The variation in flux is studied under the influence of the channel wall's elasticity. Expressions for the stream function in both peripheral and core regions are presented. The interface, a key phenomenon in multi-phase flows, is analyzed, and the corresponding equation is derived and explained through graphs. Elastic parameters significantly affect the volume flow rate. As the elasticity of the channel wall increases, the channel expands, leading to an increase in flow rate. The observed flow characteristics suggest interesting behaviors that warrant further study of physiological fluids in multi-phase flows with elasticity. The present work includes the elasticity of the channel, which allows for a better understanding of physiological structures. This inclusion opens up the possibility for further investigation into various biological structures and physiological processes, where the elasticity of the channel plays a crucial role.

Keywords: 

peristaltic flow, elasticity, two-layered model, blood flow, elastic channel, Newtonian fluid, stream function, interface

1. Introduction

Generally the transmission of the mechanical waves along the length of the flexible conduits or channels can be considered as peristaltic flow of the fluids. The majority of living things exhibit this kind of fluid movement such as transport of chyme in small intestine, swallowing food via oesophagus, vasomotion of blood invessels, etc. Due to many physiological and industrial applications many research groups have carried out research on peristaltic fluid flow and published many articles by proposing different physical models for analyze the mechanism and origin of fluid flow. The first experimental study on peristaltic flow was made by Latham [1].

In continuation of this, Shapiro et al. [2] have carried out the hypothetical and experimental studies on the peristaltic flow of fluids in different conditions and the observed results were clearly explained using different physical models. Yin and Fung [3] carried out the hypothetical studies on peristaltic flow of fluids and the results were proved experimentally. To understand the properties of the different fluid flow problems, flow geometry plays an important role. But most of the peristaltic flow of the fluids was considered in rigid tubes and channels. In the study of Newtonian fluids, the Poiseuille law is taken into consideration since it provides an explanation for the relation between flux and pressure difference. However, because of elastic character of blood vessels, in most vascular systems the relation between pressure and flow will be nonlinear. This is due to the fact that the majority of physiological structures are elastic in nature.

A systematic investigation on viscous fluid transport was studied by Rubinow and Keller [4], and the observed results were analyzed, which were helpful to understand other viscous fluids, such as blood flow in an elastic tube. Shukla et al. [5] have carried out intensive studies on physiological fluids and the influence of viscosity at peripheral region on peristaltic flow of the fluids. In continuation of this, Srivastava and Srivastava [6] investigated peristaltic flow of a fluid in irregular shaped tube by considering two fluid models. Brasseur et al. [7] explored their results on peristaltic movement of fluids in core and peripheral layers. The impact on peripheral layer of viscous fluid flow was investigated by Misra and Pandey [8]. Further, Sharma et al. [9] carried out an investigation on blood transport in elastic arteries and different models were proposed to explain the results. Radhakrishnamacharya and Srinivasulu [10] analyzed wall parameters effect on peristaltic flow of a fluid that is viscous and incompressible and it was subjected to heat transfer.

Vajravelu et al. [11] took into consideration the scenario in which a catheter was inserted within an elastic conduit in order to examine fluctuations in nature of blood flow by incorporating H-B fluid model. Experimental findings on non-Newtonian flow properties inelastic tubes were described in a study by Nahar et al. [12]. The lubrication approach was used by Sochi [13] in order to analyze flow characteristics of both Newtonian and Power-law fluids as they move through elastic tubes. This was accomplished by taking account ofthe pressure-area constitutive relationship. H-B fluid flow inside an elastic tube was explored by Vajravelu et al. [14], and the impact of peristalsis on this flow was analyzed. Analytical mathematical expressions for properties of Newtonian flow were developed by Sochi [15] using cylindrical elastic tubes as the geometry of interest. Using an elastic tube model that accounted for the motion of the artery wall, Shen et al. [16] investigated blood pulsatile flow characteristics. In addition, Vajravelu et al. [17] investigated Casson fluid movement in a stretchy tube, while the tube was subjected to peristalsis. Tripathi and Sharma [18] have investigated the role of joule heating effect and viscous dissipation of blood flow by considering two-layered model and here the fluid flow is happening through a stenosed artery and it is subjected by an external magnetic effect.

In light of the studies mentioned above, an effort is made in this chapter to study the impact of elasticity on two-layered peristaltic motion of Newtonian fluid in a channel. The analytical expressions for stream function, pressure difference and flux as a function of pressure difference were obtained. Pressure rise per wavelength and the association between flux and pressure difference are discussed. The outcomes will not only supplement the earlier works but also offer information that is useful for industrial applications.

Previous studies were limited in their consideration of the elastic nature of the channel. In the present work, this limitation is addressed by incorporating the elasticity of the channel, allowing for a more comprehensive analysis. This inclusion opens up the possibility for further investigation into various biological structures and physiological processes, where the elasticity of the channel plays a crucial role.

2. Mathematical Formulation

Figure 1 illustrates the two-dimensional peristaltic flow of an incompressible Newtonian fluid in a channel with flexible elastic walls of length L and half width $a_0$. Here, it was assumed that the channel consists of core and peripheral regions. And also, it was considered that Newtonian fluids are propagating through both core and peripheral regions. Further, the walls of the channel are elastic in nature and infinite wave trains are produced and propagating along the length of the channel with uniform velocity. The wall deformation is represented by:

$Y=a_0+b \sin \frac{2 \pi}{\lambda}(X-c t)$                     (1)

where, $a_0, b, \lambda, c$ and $t$ are symbols of the channel width in the absence of elasticity, amplitude, wavelength, wave speed and time, respectively. $Y=H_1(X, t)$ denotes the deformed interface untying both the regions.

Figure 1. Physical model

The fixed frame is associated to the wave frame by:

$\left.\begin{array}{rl}x=X-c t, y=Y, u_i(x, y) & =U_i(X-c t, Y)-c, \\ v_i(x, y)=V_i(X-c t, Y), p_i(x) & =P_i(X, t), \psi_i=\Psi_i-Y\end{array}\right\}$                   (2)

The velocity components, pressure, and stream functions in the wave frame are denoted by $u_i, v_i, p_i$ and $\psi_i$. The velocity components, pressure, and stream functions in fixed frame are $U_i, V_{i,} P_i$ and $\Psi_i$ respectively.

The following analysis is conducted utilizing the non-dimensional variables as:

$\begin{gathered}\bar{x}=\frac{x}{\lambda}, \phi=\frac{b}{a}, \bar{y}=\frac{y}{a}, \bar{t}=\frac{c t}{\lambda}, \bar{q}=\frac{q}{a c}, \delta=\frac{a}{\lambda}, \\ \bar{h}=\frac{H}{a}, \bar{h}_1=\frac{H_1}{a}, \operatorname{Re}=\frac{a^2 \rho c}{\lambda \mu_1}, p i=\frac{p_i a^2}{\mu_1 \lambda c}, \bar{\psi}_i=\frac{\psi_i}{a c}, \\ \bar{u}_i=\frac{u_i}{c}=\frac{\partial \psi_i}{\partial \bar{y}}, \bar{v}_i=\frac{v_i \lambda}{a c}=\frac{\partial \psi_i}{\partial \bar{x}}, \mu=\frac{\mu_2}{\mu_1}\end{gathered}$                 (3)

The core and peripheral flow regions are each referred to by their corresponding superscript value in this case (i = 1, 2). The Reynolds number is small and long wavelength approximation is considered (applicable in physiological flows), so the curvature and inertia terms are negligible. As a result, the equations of motion that regulate the fluid flow in two layers reduces to the following form (removing bars).

$\frac{\partial}{\partial y}\left(\frac{\partial u_1}{\partial y}\right)=\frac{\partial p_1}{\partial x}$ for $0 \leq y \leq h_1$             (4)

$\frac{\partial}{\partial y}\left(\mu \frac{\partial u_2}{\partial y}\right)=\frac{\partial p_2}{\partial x}$ for $h_1 \leq y \leq a(x)$               (5)

$0=\frac{\partial p}{\partial x}$                 (6)

The dimensionless boundary conditions that relate to the above governing equations are:

$\psi_1=0$ at $y=0$                 (7)

$\frac{\partial \psi_1}{\partial y}=\frac{\partial \psi_2}{\partial y}$ at $y=h_1$                      (8)

$\frac{\partial^2 \psi_1}{\partial y^2}=\mu \frac{\partial^2 \psi_2}{\partial y^2}$ at $y=h_1$                  (9)

$\frac{\partial \psi_2}{\partial y}=-1$ at $y=a(x)=1+\phi \sin 2 \pi x$                 (10)

$\psi_2=q$ at $y=a(x)=1+\phi \sin 2 \pi x$                  (11)

$\psi_1=\psi_2=q_1$ at $y=h_1$                  (12)

The total flux $q$ in this case is the sum of the core layer flux $q_1$ and the peripheral layer flux $q_2$ across any crosssection in the wave frame. Furthermore, the shear stress and velocity are continuous across the interface. Because of fluid incompressibility and lubrication theory, the fluxes and are independent of $q_1$ and $q_2$ are independent of $x$.

The continuity of velocity across interface is given by Eqs. (8) and (9). The Eqs. (10) and (11) represents no-slip condition and the Eq. (7) implies that the velocity attains a maximum. The condition (12) is the conservation of mass in core as well as in the peripheral layer independently across any cross section.

3. Solution in the Wave Frame

Solving the Eqs. (4)-(6) along with boundary conditions (7)-(10), we get

$\begin{gathered}u_1=-1+\frac{p}{2}\left(y^2-h_1^2\right)-\frac{p}{2 \mu}\left(a^2-h_1^2\right) \text { for } 0 \leq y \leq h_1\end{gathered}$                  (13)

$u_2=-1+\frac{p}{2 \mu}\left(y^2-a^2\right)$ for $0 \leq y \leq a(x)$                     (14)

The flux q is given by:

$\begin{gathered}q=\int_0^{h_1} u_1 d x+\int_{h_1}^a u_2 d x=-a+\frac{1}{3 \mu} p a^3\left[(1-\mu) \tau^3-1\right]\end{gathered}$                      (15)

$Q=\frac{1}{3 \mu} p a^3\left[(1-\mu) \tau^3-1\right]$                 (16)

where, $Q=q+a$.

Eq. (15) is a representation of flux in a two–dimensional channel with peristalsis and without elastic nature. To find out the variation of flux, elasticity of the channel walls and peristalsis are now taken in to account. The variation in pressure that takes place between the surface of the wall and it’s inside results in either an expansion or a contraction of the channel width $a(x)$. The flow is determined by the well-known famous Poiseuille law.

The Eq. (15) connects the flux and the pressure gradient by

$Q=\left(-\frac{\partial p}{\partial x}\right) \sigma\left(p-p_0\right)$                   (17)

From Eqs. (16) and (17), we get:

$\sigma\left(p-p_0\right)=a^3 F$ where $F=\frac{1}{3 \mu}\left[(\mu-1) \tau^3+1\right]$                   (18)

In addition to the peristaltic moment, taking the elasticity property into account, the above Eq.(18) may be rewritten as:

$\sigma\left(p-p_0\right)=\left(a+a^{\prime}\right)^3 F$                  (19)

where, the conductivity of the channel is denoted by $\sigma(p- p_0$) and $a$ denotes pressure difference ($p-p_0$), where $p_0$ represents the pressure outside the channel and $a(x)$ is the wall movement due to peristalsis, which is denoted by and is $a(x)=1+\phi \operatorname{Sin}(2 \pi x)$.

Integrating Eq. (17) with respect to $x$ from $x=0$, and by using the condition at the inlet $p_1=p(0)$, we obtain:

$\int_0^1(q+a) d x=\int_{p(x)-p_0}^{p_1-p_0} \sigma\left(p^{\prime}\right) d p^{\prime}$                   (20)

where, $p^{\prime}=p(x)-p_0$.

To find flux $q$, we set $x=1$ and $p(1)=p_2$, resulting in:

$q=-1+F \int_{p_2-p_0}^{p_1-p_0}\left(a^3+a^{\prime 3}+3 a^2 a^{\prime}+3 a^{\prime 2} a\right) d p^{\prime}$                 (21)

If the function $a^{\prime}\left(p-p_0\right)$ is known, we evaluate Eq. (21). Applying the methodology established by Rubinow and Keller [4], $a^{\prime}\left(p^{\prime}\right)$ can be determine from the equilibrium condition. $T(a^{\prime})$ is tension in channel wall and is given by:

$\left(a^{\prime}\right)^{-1} T\left(a^{\prime}\right)=p-p_0$                  (22)

It is now necessary to understand how the width of a channel varies with pressure. Rubinow and Keller [4] presented the following equation using the least square method for the calculation of the tension versus length curve from the static pressure-volume relationship.

$T\left(a^{\prime}\right)=\left(a^{\prime}-1\right) t_1+\left(a^{\prime}-1\right)^5 t_2$                  (23)

where, t1 and t2 represent the elastic parameters and their values are taken as 13 and 300, respectively.

From Eqs. (22) and (23), we have:

$\begin{gathered}d p^{\prime}={\left[t_1 a^{\prime-2}+t_2\left(4 a^{\prime 3}-15 a^{\prime 2}+20 a^{\prime}+a^{\prime-2}-10\right)\right] d a^{\prime}}\end{gathered}$                    (24)

We get a flux of fluid after solving Eq. (21) and Eq. (24).

$q=-1+F\left[g\left(a_1^{\prime}\right)-g\left(a_2^{\prime}\right)\right]$                   (25)

$g\left(a^{\prime}\right)=\left\{\begin{array}{c}a^3\left[-t_1 a^{\prime-1}+t_2\left(a^{\prime 4}-5 a^{\prime 3}+10 a^{\prime 2}-10 a^{\prime}-a^{\prime-1}\right)\right]+3 a^2\left[t_1 \log a^{\prime}+\frac{1}{60} t_2\left(48 a^{\prime 5}-225 a^{\prime 4}+400 a^{\prime 3}-300 a^{\prime 2}+60 \log a^{\prime}\right)\right] \\ +3 a\left[t_1 a^{\prime}+\frac{1}{3} t_2\left(2 a^{\prime 6}-9 a^{\prime 5}+15 a^{\prime 4}-10 a^{\prime 3}+3 a^{\prime}\right)\right]+\frac{1}{2} t_1 a^{\prime 2}+\frac{1}{14} t_2\left(8 a^{\prime 7}-35 a^{\prime 6}+56 a^{\prime 5}-35 a^{\prime 4}+7 a^{\prime 2}\right)\end{array}\right\}$$a_1^{\prime}=a_1^{\prime}\left(p_1-p_0\right)$ and $a_2^{\prime}=a_2^{\prime}\left(p_2-p_0\right)$                      (26)

The pressure rise per wavelength for Newtonian fluid flow through a channel with elastic walls and peristalsis is obtained with the use of Eqs. (17) and (19). 

$\Delta P=\int_0^1 \frac{d p}{d x} d x=\int_0^1\left(\frac{-3 \mu(Q-1+a)}{(\mu-1) h_1^3+a^3+k_1}\right) d x$                 (27)

where, $k_1=a^{\prime 3}+3 a a^{\prime 2}+3 a^2 a^{\prime}$.

By solving Eqs. (13) and (14) along with Eqs. (11) and (12), we get:

$\begin{gathered}\psi_1=-y+\frac{Q}{2}\left[\frac{\mu\left(3 h_1^2 y-y^3\right)+3\left(a^2-h_1^2\right) y+2 k_1}{(\mu-1) h_1^3+a^3+k_1}\right] \text { for } 0 \leq y \leq h_1\end{gathered}$                     (28)

$\begin{gathered}\psi_2=-y+Q\left[\frac{(\mu-1) h_1^3+\frac{y}{2}\left(3 a^2-y^2\right) y+k_1}{(\mu-1) h_1^3+a^3+k_1}\right]  \text { for } h_1 \leq y \leq a(x)\end{gathered}$                  (29)

As $a^{\prime} \rightarrow 0$, it is observed that the outcomes derived from Eqs. (28) and (29) coincide with the outcomes reported by Brasseur et al. [7].

4. Determination of the Interface

The expression for at the interface is derived by using condition Eq. (12). The interface h1(x) is governed by a fourth-degree algebraic equation, which is given by:

$\begin{gathered}2(\mu-1) h_1^4+\left[2 q_1(\mu-1)-(q+a)(2 \mu-3)\right] h_1^3 \\ +\left[2 k_1-a^2(a+3 q)\right] h_1+2 q_1\left(a^3+k_1\right)-2(q+a) k_1=0\end{gathered}$                   (30)

Since $q$ and $q_1$ are independent of $x$, we can solve for $q_1$ using Eq. (30) by setting $h_1=\alpha$ at $x=0, k_2=a^{\prime 3}+3 a^{\prime 2}+ 3 a$.

5. Outcomes and Analysis

In the present study, the influence of elasticity on twolayered peristaltic flow of Newtonian fluids in a channel is investigated. The expressions for axial velocity, stream function, flux and interface are obtained. The effects of various physical parameters such as elastic parameters $t_1, t_2$, viscosity ratio $\mu$, amplitude ratio $\phi$, inlet and outlet elastic widths $a_1$ and $a_2$ on the flow rate $q$ and pressure rise are studied graphically. In addition, the variation in the shape of interface due to elasticity nature also discussed.

The significance of elasticity on two-layered flow is expressed in terms the shape of interface. The variation in the shape of interface for the change in different parameters is illustrated in Figures 2-4. It is observed that for increasing values of viscosity ratio, amplitude ratio and elasticity nature of the channel, the crest part of the peripheral region result in a thinner peripheral layer, whereas the trough part of the peripheral layer exhibits the opposite behavior. Also, the higher values of amplitude ratio show the significant difference in crest and trough part of peripheral region which is clearly evident from Figure 3.

Figure 2. Behavior of interface for various values of $\mu$ with $\phi=0.5, Q=0.1, a^{\prime}=0.25$

Figure 3. Behavior of interface for various values of $\phi$ with $\mu=0.5, Q=0.1, a^{\prime}=0.25$

Figure 4. Behavior of interface for various values of $a^{\prime}$ with $\phi=0.5, \bar{Q}=0.1, \mu=0.25$

The change in pressure rise along with mean flow rate for different values of viscosity ratio $\mu$, amplitude ratio $\phi$ and width of the elastic channel are presented in Figures 5-7. The effect of viscosity ratio $\mu$ on pressure rise for given mean flow rate is shown in Figure 5. It is clear that the pressure rise increases with increasing amplitude ratio in pumping region and shows opposite nature in co pumping region. Figure 6 illustrates that the pressure rise enhances for higher values of amplitude ratio but the reverse is noticed in the case of different higher values of elastic width of the channel. That is pressure rise reduces with increasing elastic width of the channel which is represented in Figure 7.

Figure 5. The pumping characteristics $\bar{Q}$ vs. $\Delta P$ on $\mu$ with $\phi=0.5, a^1=0.25$

Figure 6. The pumping characteristics $\bar{Q}$ vs. $\Delta P$ on $\phi$ with $\mu=0.5, a^1=0.25$

Figure 7. The pumping characteristics $\bar{Q}$ vs. $\Delta P$ on $a^1$ with $\mu=0.5, \phi=0.5$

The variation of flux along with width of the elastic channel for various parameters is depicted in Figures 8-11. The flow rate decreases as viscosity ratio $\mu$ increases, as shown in Figure 8. As viscosity ratio of the fluid increases then the fluid velocity reduces consequently and therefore the flux decreases. From Figure 9, we observe that the flux increases with higher values of amplitude ratio $\phi$. Due to an increase in amplitude ratio, fluid velocity rises, which causes an increase of fluid flow rate. Figure 10 and Figure 11 represent the influence elastic parameters $t_1$ and $t_2$. The increase in elastic parameter results the increase of elastic nature of channel walls. The channel walls become more flexible and hence, there exist an increase in the width of the channel. Therefore, the flux enhances due to higher values of elastic parameters, as represented in Figure 10 and Figure 11.

Figure 8. Effect of $\mu$ on width of the channel vs. flux with $\tau=0.5, x=0.1, \phi=0.5, t_1=13, t_2=300$

Figure 9. Effect of $\phi$ on width of the channel vs. flux with $\tau=0.5, x=0.1, \mu=0.5, t_1=13, t_2=300$

Figure 10. Effect of $t_1$ on width of the channel vs. flux with $\tau=0.5, x=0.1, \phi=0.5, \mu=0.5, t_2=300$

Figure 11. Effect of $t_2$ on width of the channel vs. flux with $\tau=0.5, x=0.1, \phi=0.5, t_1=13, \mu=0.5$

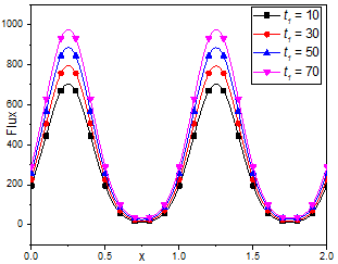
Figure 12. Variation of $\mu$ on flux vs. $x$ with $\tau=0.5, \phi= 0.5, a_1^{\prime}=0.2, a_2^{\prime}=0.3, t_1=13, t_2=300$

Figure 13. Variation of $\phi$ on flux vs. $x$ with $\tau=0.5, \mu= 0.5, a_1^{\prime}=0.2, a_2^{\prime}=0.3, t_1=13, t_2=300$

Figure 14. Variation of $t_1$ on flux vs. $x$ with $\tau=0.5, \phi= 0.5, a_1^{\prime}=0.2, a_2^{\prime}=0.3, \mu=0.5, t_2=300$

Figure 15. Variation of $t_2$ on flux vs. $x$ with $\tau=0.5, \phi= 0.5, a_1^{\prime}=0.2, a_2^{\prime}=0.3, t_1=13, \mu=0.5$

Figure 16. Variation of $a_1^{\prime}$ on flux vs. $x$ with $\tau=0.5, \phi= 0.5, a_2^{\prime}=0.3, t_1=13, t_2=300$

Figure 17. Variation of $a_2^{\prime}$ on flux vs. $x$ with $\tau=0.5, \phi= 0.5, \mu= 0.5, a_1^{\prime}=0.2, t_1=13, t_2=300$

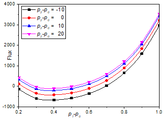
Figure 18. Effect of $p_2-p_0$ on flux vs. $p_1-p_0$ with $\tau=$ $0.5, \phi=0.5, \mu=0.5, t_1=13, t_2=300, x=0.1$

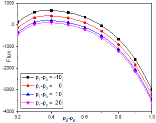
Figure 19. Effect of $p_1-p_0$ on flux vs. $p_2-p_0$ with $\tau=$ $0.5, \phi=0.5, \mu=0.5, t_1=13, t_2=300, x=0.1$

Eq. (25) represents that flux $q$ is a function of axial coordinate $x$. The variation of flux against $x$ for the different physical parameters is shown in Figures 12-17. In Figure 12, the influence of the viscosity ratio $\mu$ on flow rate $q$ is depicted. It is clear that as the viscosity ratio $\mu$ is reduced, the flow rate decreases. The significance of the amplitude ratio $\phi$ on volumetric flow rate is shown in Figure 13. The flow rate increases as the parameter $\phi$ increases due to an increase in velocity of the fluid. The significance of elastic parameters $t_1, t_2$ on flow rate along axial coordinate is shown in Figure 14 and Figure 15, respectively. As a result of increasing elastic nature of the channel width, the flow rate increases with higher values of elastic parameters.

Figure 16 and Figure 17 represent the effects of inlet and outlet elastic widths $a_1^{\prime}$ and $a_2^{\prime}$ on volume flow rate, respectively. The flow rate in an elastic channel decreases with increasing values of $a_1^{\prime}$ with a fixed value for $a_2^{\prime}$ which is shown in Figure 16. In the case of increasing $a_2^{\prime}$ for a given value of $a_1^{\prime}$ the opposite behavior occurs, i.e., increasing outlet width increases the flux of Newtonian fluid flow in an elastic channel, as shown in Figure 17. The significance of inlet and outlet pressure on volumetric flow rate is explained by the plotting flux vs. $p_1-p_0$ for different values $p_2-p_0$ and flux vs. $p_2-p_0$ for different values $p_1-p_0$, respectively shown in Figure 18 and Figure 19. The inlet and outlet pressures show the opposite behavior in the flux.

6. Conclusions

The present paper investigates how elasticity has remarkable effect on peristaltic flow of two immiscible Newtonian fluids in a two dimensional channel. The analytical solution is obtained and the results are interpreted through graphs. The remarkable effect of physical parameters on interface equation, pressure rise and flow rate are explained graphically.

  • The elasticity nature of channel walls has significant effect on the shape of interface and interface is more extended in core region comparing to peripheral due to elasticity of channel walls.
  • The pressure rise increases along mean flow rate as the amplitude ratio and viscosity ratio increases where the reverse nature is noticed in the case of $a'$.
  • The elastic channel's inlet and outlet radiuses have opposing effects on the volumetric flow rate.
  • The elastic parameters t1 and t1 have significant effect on volume flow rate. That is when elastic nature of channel wall increases then the channel extends and consequently flow rate increases.

Future research can build on the present work by addressing the limitations of earlier studies that overlooked channel elasticity. Incorporating elasticity enables a more thorough analysis of peristaltic flow and opens opportunities to explore biological structures and physiological processes where channel elasticity is crucial.

Nomenclature

L

length of elastic wall

$a_0$

half-width of the channel

b

amplitude

$\lambda$

wavelength

c

wave speed

t

time

$\phi$

amplitude ratio

t1, t2

elastic parameters

$\psi$

stream function

p1

inlet pressure

p2

outlet pressure

p0

external pressure

q

total flux

q1

flux in core region

q2

flux in peripheral region

h1(x)

interface

$a(x)$

the wall movement due to peristalsis

$a^{\prime}(x)$

the wall movement due to elasticity

$\mu$

viscosity ratio

T(a)

tension of the channel

$\sigma$

conductivity of the channel

u, v

velocity components in wave frame

U, V

velocity components in fixed frame

$a$

the initial value of the interface

  References

[1] Latham T.W. (1966). Fluid motion in peristaltic pump. Doctoral dissertation, Massachusetts Institute of Technology, USA.

[2] Shapiro, A.H., Jaffrin, M.Y., Weinberg, S.L. (1969). Peristaltic pumping with long wavelengths at low Reynolds number. Journal of Fluid Mechanics, 37(4): 799-825. https://doi.org/10.1017/S0022112069000899

[3] Yin, F.C.P., Fung, Y.C. (1971). Comparison of theory and experiment in peristaltic transport. Journal of Fluid Mechanics, 47(1): 93-112. https://doi.org/10.1017/S0022112071000958

[4] Rubinow, S.I., Keller, J.B. (1972). Flow of a viscous fluid through an elastic tube with applications to blood flow. Journal of Theoretical Biology, 35(2): 299-313. https://doi.org/10.1016/0022-5193(72)90041-0

[5] Shukla, J.B., Parihar, R.S., Rao, B.R.P., Gupta, S.P. (1980). Effects of peripheral-layer viscosity on peristaltic transport of a bio-fluid. Journal of Fluid Mechanics, 97(2): 225-237. https://doi.org/10.1017/S0022112080002534

[6] Srivastava, L.M., Srivastava, V.P. (1982). Peristaltic transport of a two-layered model of physiological fluid. Journal of Biomechanics, 15(4): 257-265. https://doi.org/10.1016/0021-9290(82)90172-5

[7] Brasseur, J.G., Corrsin, S., Lu, N.Q. (1987). The influence of a peripheral layer of different viscosity on peristaltic pumping with Newtonian fluids. Journal of Fluid Mechanics, 174: 495-519. https://doi.org/10.1017/S0022112087000211

[8] Misra, J.C., Pandey, S.K. (1999). Peristaltic transport of a non-Newtonian fluid with a peripheral layer. International Journal of Engineering Science, 37(14): 1841-1858. https://doi.org/10.1016/S0020-7225(99)00005-1

[9] Sharma, G.C., Jain, M., Kumar, A. (2004). Performance modeling and analysis of blood flow in elastic arteries. Mathematical and Computer Modelling, 39(13): 1491-1499. https://doi.org/10.1016/j.mcm.2004.07.006

[10] Radhakrishnamacharya, G., Srinivasulu, C. (2007). Influence of wall properties on peristaltic transport with heat transfer. Comptes Rendus Mecanique, 335(7): 369-373. https://doi.org/10.1016/j.crme.2007.05.002

[11] Vajravelu, K., Sreenadh, S., Saravana, R. (2017). Influence of velocity slip and temperature jump conditions on the peristaltic flow of a Jeffrey fluid in contact with a Newtonian fluid. Applied Mathematics & Nonlinear Sciences, 2(2): 429-442. https://doi.org/10.21042/AMNS.2017.2.00034

[12] Nahar, S., Jeelani, S.A.K., Windhab, E.J. (2013). Prediction of velocity profiles of shear thinning fluids flowing in elastic tubes. Chemical Engineering Communications, 200(6): 820-835. https://doi.org/10.1080/00986445.2012.722150

[13] Sochi, T. (2014). The flow of Newtonian and power law fluids in elastic tubes. International Journal of Non-Linear Mechanics, 67: 245-250. https://doi.org/10.1016/j.ijnonlinmec.2014.09.013

[14] Vajravelu, K., Sreenadh, S., Devaki, P., Prasad, K.V. (2011). Mathematical model for a Herschel-Bulkley fluid flow in an elastic tube. Central European Journal of Physics, 9(5): 1357-1365. https://doi.org/10.2478/s11534-011-0034-3

[15] Sochi T. (2015). Navier-Stokes flow in cylindrical elastic tubes. Journal of Applied Fluid Mechanics, 8(2): 181-188. https://doi.org/10.18869/acadpub.jafm.67.221.2280

[16] Shen, H., Zhu, Y., Qin, K.R. (2016). A theoretical computerized study for the electrical conductivity of arterial pulsatile blood flow by an elastic tube model. Medical Engineering & Physics, 38(12): 1439-1448. https://doi.org/10.1016/j.medengphy.2016.09.013

[17] Vajravelu, K., Sreenadh, S., Devaki, P., Prasad, K.V. (2016). Peristaltic pumping of a Casson fluid in an elastic tube. Journal of Applied Fluid Mechanics, 9(4): 1897-1905. https://doi.org/10.18869/acadpub.jafm.68.235.24695

[18] Tripathi, B., Sharma, B.K. (2020). Influence of heat and mass transfer on two-phase blood flow with Joule heating and variable viscosity in the presence of variable magnetic field. International Journal of Computational Methods, 17(3): 1850139. https://doi.org/10.1142/S0219876218501396