Analysis of Cement Properties and Physico-Chemical Characterization of Mineral Waste: Impact of Mineral Additives on Cement Performance

Analysis of Cement Properties and Physico-Chemical Characterization of Mineral Waste: Impact of Mineral Additives on Cement Performance

Benia Mounir* Naceri Abdelghani

Geomaterials Development Laboratory, Faculty of Technology, University of M’sila, M’sila 28000, Algeria

Corresponding Author Email: 
mounir.benia@univ-msila.dz
Page: 
655-661
|
DOI: 
https://doi.org/10.18280/rcma.350407
Received: 
25 June 2025
|
Revised: 
28 July 2025
|
Accepted: 
15 August 2025
|
Available online: 
31 August 2025
| Citation

© 2025 The authors. This article is published by IIETA and is licensed under the CC BY 4.0 license (http://creativecommons.org/licenses/by/4.0/).

OPEN ACCESS

Abstract: 

The cement industry faces growing challenges related to sustainability and cost reduction. This study explores the potential for partially replacing clinker with mineral additives such as limestone, slag, and pozzolan. Through detailed physico-chemical analyses and concrete testing, the results demonstrate that these materials can enhance certain mechanical properties while reducing the environmental impact of cement production. Experimental data suggest that mineral additives at various percentages significantly influence the compressive strength and consistency of cements. The integration of theory and experimental methodologies has enabled the study of the impact of mineral additives (limestone and slag) in varying proportions (5%, 10%, 15%, 20%) on the physico-mechanical properties of cements, compared to Artificial Portland Cement (CPA). Slag significantly improves short-term mechanical strength due to its pozzolanic properties, while limestone decreases both density and mechanical strength due to its inert nature. The results indicate that the best performance is obtained with an additive dosage of 10%, providing an effective balance between consistency, density, and strength. This study provides pragmatic advice and suggestions for the incorporation of mineral additives in the development of more environmentally friendly and economically viable cements.

Keywords: 

sustainability, mineral additives, environmental impact, compressive strength, consistency, limestone, slag

1. Introduction

Mineral waste from various industries presents significant potential to enhance the durability and sustainability of construction materials [1-5]. These industrial by-products can serve as partial replacements for clinker, a key component of Portland cement, contributing to reduced production costs and the carbon footprint of cement. This approach aligns with global efforts to cut CO2 emissions and promote sustainability in the construction sector. By incorporating mineral waste [6], the cement industry can address both environmental regulations and economic constraints. Additionally, the enhanced durability of concrete allows for longer-lasting structures, reducing maintenance costs and material consumption over time.

The research presented here focuses on characterizing mineral waste from a physico-chemical perspective and evaluating its performance as additives in cement [7, 8]. By partially substituting clinker with materials like limestone, slag, and pozzolan, improvements in the mechanical properties and durability of concrete are achievable [9-16]. The use of these materials in proportions ranging from 5% to 20% allows for the evaluation of parameters such as bulk density, setting time, and mechanical strength, offering sustainable solutions for the cement industry. Recent research has also explored the use of supplementary cementitious materials (SCMs) like calcined clays and industrial by-products, which further enhance the durability and environmental performance of cementitious materials. These innovations offer a dual benefit: reducing reliance on natural resources and improving the long-term performance of concrete structures [3, 4]. The objective of this study is to provide viable and practical solutions for the cement industry by demonstrating the benefits of using mineral waste and supplementary cementitious materials, not only for improving mechanical and durability properties but also for contributing to the industry's transition towards sustainable practices.

The increasing use of mineral additives, such as slag and limestone, in cement manufacturing is driven by ecological, economic, and performance considerations [17]. These additives not only reduce costs but also modify certain mechanical and physical characteristics of cements. For example, slag improves durability and strength by reacting with calcium hydroxide to form additional binding phases, while limestone acts as a filler [18, 19], improving workability. The benefits of mineral additives in cement production include reduced carbon emissions and improved resource efficiency, as well as cost reduction by replacing a portion of clinker, the most energy-intensive component of cement. Studies have also shown that cement with mineral additives offers enhanced durability and performance, meeting the demands of modern construction. This study aims to compare the effects of different percentages of limestone and slag on cement characteristics. The impact of these additions on consistency, bulk density, setting time, and compressive strength is examined to determine the best formulation for various applications [20-23].

2. Materials and Methods

2.1 Characteristics of the materials used for making concrete

The materials used come from the province of Msila in Algeria.

The sand is extracted from the Maitar River in Bousaada. The gravel used in the concrete production is obtained by crushing rock from a quarry located 25 km from Msila, on the way to B.B.A (COSIDER quarry), and the Artificial Portland Cement comes from the Lafarge plant in Hammam Dalaa, Algeria.

2.1.1 Fine sand from Bousaada (Maitar River)

This sand is classified as fine and slightly clayey; its properties being considered acceptable for standard-quality concrete where shrinkage is not a major concern.

Physical characteristics:

• Absolute density: 2.59 g/cm³ on average.

• Bulk density:  loose state 1.589 g/cm³ on average and compacted state: 1.75 g/cm³ on average.

• Porosity: 38.65% in the loose state and 32.43% in the compacted state.

• Compactness: 61.35% in the loose state and 67.57% in the compacted state.

• Void ratio: 0.630 in the loose state and 0.480 in the compacted state.

• Sand equivalent (SE): 73.78% (visual) and 68.85% with piston on average.

• Water content: 0.27% on average.

• Water absorption rate: 2.22% on average.

• Fineness modulus 1.74, classifying it as fine sand.

Chemical characteristics:

The chemical composition is determined by X-ray fluorescence and is as follows Table 1.

Table 1. Chemical composition of fine sand from Bousaada

Element (%)

CaO

SO3

Al2O3

Fe2O3

MgO

SO3

K2O

Na2O

10.72

0.07

0.86

0.89

0.21

0.07

0.23

0.02

2.1.2 Gravel

For the two gravel grain sizes (3/8) and (8/15), they are classified as "hard" according to the Los Angeles test. Physical and mechanical characteristics are boxed in Table 2.

Table 2. Physical and mechanical characteristics of gravel

Gravel

Absolute MV (g/cm³)

Apparent MV (g/cm³)

Porosity

Compactness

Void Index

Water Content

Absorption Degree %

Los Angeles %

3/8

2.61

1.35

47.51

52.49

0.90

0.53

1.29

22.98

8/15

2.63

1.30

47.53

52.47

0.90

0.46

1.66

20.99

2.1.3 Artificial Portland Cement (CPA)

Mechanical and Physical Characteristics:

• Absolute density: 3.09 g/cm³.

• Consistency:

The optimal amount of mixing water is determined by a standardized consistency test, where the needle insertion is 6 ± 2mm.

• Setting Times:

• Start of setting: 147 minutes.

• End of setting: 340 minutes.

• Blaine Specific Surface Area (BSA): 4300.

Chemical Characteristics: The chemical composition of CPA cement is presented below.

2.1.4 Mixing water

The mixing water used in this study was tap water obtained from the Civil Engineering and Hydraulics Department laboratory at the University of M'sila. A sample of this water underwent chemical analysis, and the results are presented in Table 3.

Table 3. Chemical analysis results of mixing water

Constituent

Concentration (mg/l)

SS

Suspended Solids

 

 

Dissolved Salts

1475

/

Sulfates (SO4-2)

414.06

Ls=2000

Chlorides (Cl)

294.2

/

pH

7.8

Li=4

Calcium (Ca+2)

35

/

Magnesium (Mg+2)

59

/

Bicarbonates (HCO-3)

26

/

Carbonates

3,4

/

Temperature

19

/

SS: Specification Standard (NFP 18-303)

The results obtained meet the requirements of standard NF P 18-303 relating to the concentration of suspended solids and dissolved salts.

2.2 Characterization of mineral waste

The chemical composition of slag was determined using X-ray fluorescence spectrometry at the Lafarge Hammam Dalaa cement plant laboratory. The analysis is performed on a finely ground sample to determine its chemical composition. The chemical composition of slag is shown in Table 4.

Table 4. Elemental analysis of slag

Element

CaO

SiO2

Al2O3

Fe2O3

MgO

SO3

%

42.70

39.90

7.25

2.30

5.20

1.25

Element

K2O

Na2O

CL

H2O

P.F

 

%

0.75

0.05

0.02

5.15

0.25

 

The chemical composition of limestone and pozzolan is presented in Table 5 and Table 6.

Table 5. Element analysis of limestone

Element

CaO

SiO2

Al2O3

Fe2O3

MgO

P.F

nH

%

50.00

3.15

1.50

0.90

1.70

42.15

1.00

Table 6. Chemical composition of pozzolan

Element

SiO2

Al2O3

Fe2O3

CaO

MgO

PAF

nH

%

41.08

14.58

10.83

11.88

4.22

12.88

15.18

where, Nh is the natural Humidity.

The experimental technique used to measure the specific mass of mineral additives is based on the Le Chatelier flask (Table 7).

Table 7. Specific mass of the mineral additives used

Addition

Limestone

Slag

Pozzolan

Ms (g/cm3)

2.72

2.87

2.71

2.3 Analysis of cementitious material properties

Hardened concrete tests were conducted on three different concrete mixtures with various percentages of mineral additives.

The following abbreviations were used:

B1: Concrete formulated with binary cement.

B2: Concrete formulated with ternary cement.

B3: Concrete formulated with quaternary cement.

Specimen preparation and curing. After a 24-hour curing period, the cubic specimens (10 × 10 × 10 cm) were demolded. Subsequently, they were submerged in tap water and maintained at a temperature of 20±2℃ and a relative humidity of 95±5% until the time of compressive strength testing.

Compressive strength test. Compressive strength tests were conducted using a compression testing machine as specified in standard NF-EN 196. Following demolding, specimens were immersed in water for 24 hours. Prior to testing, specimens were removed from the water and allowed to air-dry for 20 minutes to achieve a surface-dry condition.

The chemical composition of the different cements used (type of additives and their percentages) is detailed in Table 8.

Table 8. Chemical composition of the different cements used

Element (%)

SiO2

Fe2O3

Al2O3

CaO

MgO

SO3

K2O

Na2O

CPA

20.57

3.43

5.61

56.28

1.27

2.22

0.47

0.15

CPA+5%L

21.11

3.87

5.46

60.21

1.67

2.35

0.45

0.12

CPA+10%L

22.70

4.33

5.39

60.71

2.11

2.31

0.45

0.11

CPA+15%L

23.09

5.09

5.26

58.71

2.31

2.29

0.42

0.15

CPA+20%L

23.81

5.04

5.94

57.57

2.64

2.28

0.41

0.15

CPA+5%S

19.84

3.70

5.27

59.72

1.44

2.31

0.43

0.14

CPA+10%S

18.98

3.53

4.99

59.82

1.45

2.25

0.40

0.13

CPA+15%S

18.21

3.38

4.81

59.45

1.45

2.25

0.40

0.13

CPA+20%S

17.19

3.21

4.48

58.75

1.46

2.22

0.38

0.13

CPA+15%S+15%L

20.43

4.30

4.65

57.15

2.36

2.21

0.39

0.15

CPA+10S%+20%L

20.01

5.24

4.56

57.23

2.57

2.21

0.40

0.16

3. Results and Discussions

The measurements of cement specific mass, normal consistency, and setting times performed using the Vicat apparatus for all combinations of mixtures made with the three types of additives limestone, slag, and pozzolan at various percentages 5%, 10%, 15%, and 20% are presented in Table 9 for binary cement concrete and Table 10 for ternary and quaternary cement concrete.

Table 9. Specific mass, normal consistency, and setting times for binary cement concrete B1

Type of Cement

Specific Mass (g/cm3)

Normal Consistency %

Initial Setting (min)

Final Setting (min)

CPA

3.09

25.4

340

147

CPA+5%S

3.07

25.6

335

153

CPA+10%S

3.05

26.0

342

160

CPA+15%S

3.03

26.4

328

158

CPA+20%S

3.00

27.0

307

152

CPA+5%L

3.08

25.4

352

167

CPA+10%L

3.07

25.6

360

175

CPA+15%L

3.04

26.0

345

170

CPA+20%L

3.01

26.4

313

169

CPA+5%P

2.95

26.2

375

180

CPA+10%P

2.94

26.6

368

280

CPA+15%P

2.93

27.0

347

190

CPA+20%P

2.90

27.2

324

175

Table 10. Specific mass, normal consistency, and setting times for ternary and quaternary cement concrete

Type of Cement

Specific Mass (g/cm3)

Normal Consistency (%)

Initial Setting (min)

Final Setting (min)

CPA+22%P+8%S

2.89

27.4

360

173

CPA+15%S+15%L

3.01

26.0

375

133

CPA+25%P+5%S

2.98

 

 

 

CPA+20%L+10%S

3.05

25.4

400

203

CPA+25%L+10%P

3.29

 

 

 

CPA+20%L+10%P

3.02

 

 

 

CPA+10%L+10%P+8%S

3.05

26.4

422

195

CPA+15%L+10%P+5%S

3.03

 

 

 

Compressive strength testing was performed using a compression machine on 10 cm cubic concrete specimens made from cements with different types and percentages of additives (limestone and slag) at different curing ages (3, 14, and 28 days). The results of the compressive strength tests for binary cement concrete are shown in Table 11, and those for ternary and quaternary cement concrete are shown in Table 12.

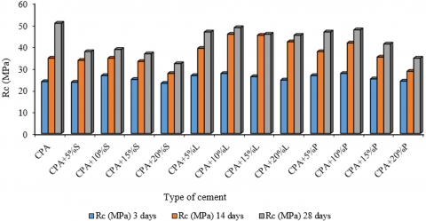
Table 11. Compressive strength for binary cement concrete

Type of Cement

Rc (MPa)

3 Days

14 Days

28 Days

CPA

23.75

34.5

50.5

CPA+5%S

23.5

33.5

37.5

CPA+10%S

26.5

34.5

38.5

CPA+15%S

24.75

33

36.5

CPA+20%S

23

27.5

32

CPA+5%L

26.5

39

46.5

CPA+10%L

27.5

45.5

48.5

CPA+15%L

26

45

45.5

CPA+20%L

24.5

42

45

CPA+5%P

26.5

37.5

46.5

CPA+10%P

27.5

41.5

47.5

CPA+15%P

25

35

41

CPA+20%P

24

28.5

34.5

Table 12. Compressive strength of ternary and quaternary cement concrete

Mixtures

Rc (MPa)

3 Days

14 Days

28 Days

CPA+22%P+8%S

18

29.5

34

CPA+25%P+5%S

10

15

20

CPA+15%S+15%L

23

38

40

CPA+10%S+20%L

11

18

22

CPA+25%L+5%P

12

24

28

CPA+20%L+10%P

14.5

24

29

CPA+10%L+10%P+8%S

12.5

21

26

CPA+15%L+10%P+5%S

12

21

27

3.1 Influence of additive type and dosage on cement specific mass

The incorporation of mineral additives reduces the bulk density of CPA cement depending on the additive percentage, due to the lower density of these materials. The specific gravity measurement results presented above confirm this observation. For example, the specific mass of CPA is 3.09 g/cm³, while the addition of 20% slag reduces it to 3.00 g/cm³. Similarly, with 20% limestone, the specific mass drops to 3.01 g/cm³. This decrease is directly related to the less dense nature of the additives compared to clinker.

The setting time of CPA cement is shortened with 10% additive, but lengthens with 15% and 20%, mainly due to the water absorption capacity of slag and limestone.

3.2 Influence of additive type and dosage on cement consistency

Normal consistency increases with the addition of these materials, due to their physical properties. The data show an increase in normal consistency with increasing percentages of additives. For example, the normal consistency of CPA is 25.4%, and it reaches 27.0% with 20% slag. Similarly, with 20% limestone, it reaches 26.4%. This increase in water demand is due to the finer particle size and higher specific surface area of the additives, which require more water to achieve a cement paste with the same workability.

3.3 Influence of additive type and dosage on setting time

The setting time of CPA cement is shortened with 10% additive, but lengthens with 15% and 20%, mainly due to the water absorption capacity of slag and limestone. By analyzing the data from tables, we can observe complex trends. For slag, the initial setting time of CPA is 340 min. With 10% slag, it is 342 min, representing a slight increase. However, at 15% and 20% slag, the initial setting times decrease to 328 min and 307 min respectively. For limestone, the initial setting time increases up to 10% (360 min), then decreases at 15% and 20% (345 min and 313 min). This behavior can be explained by the nucleation effect of additives at low percentages, promoting hydration, while at higher percentages, their water absorption capacity and inertness dilute the concentration of reactants, slowing down the initial hydration process.

3.4 Influence of additive type and dosage on compressive strength

The results indicate that CPA cement shows better long-term strength compared to cements containing slag and limestone. The addition of slag enhances mechanical strength due to its pozzolanic effect, while limestone tends to reduce strength due to its inert effect. At 10% additive, the strength increases at 3, 14, and 28 days, but decreases for higher percentages (15% and 20%).

Comparing tables, we observe similar trends. For binary cement, the compressive strength of CPA at 28 days is 50.5 MPa. With 10% slag (CPA+10%C), the strength at 28 days is 38.5 MPa. With 10% limestone (CPA+10%L), it is 48.5 MPa. This corroborates the idea that limestone, although inert, can act as a filler improving compactness and thus strength at optimal percentages. However, at 15% and 20% slag or limestone, the strength decreases compared to 10%. For example, with CPA+20%S, the strength at 28 days is 32 MPa, and with CPA+20%L, it is 45 MPa.

Cements containing slag show a notable improvement in compressive strength, particularly at 10%, where the pozzolanic effect of slag enhances mechanical performance. Conversely, limestone reduces compressive strength, especially at higher percentages (15% and 20%), due to its inert nature. Cements with additives generally have lower 28-day strengths than plain CPA.

However, it is important to note that for ternary and quaternary mixtures, the compressive strength is generally lower than that of pure CPA. For example, for CPA+15%S+15%L, the 28-day strength is 40 MPa. For CPA+10%S+20%L, the 28-day strength is 22 MPa. Nevertheless, the general trend is that the optimum is around 10% additive, and beyond that, the strength tends to decrease.

The compressive strength values as a function of the number of days (3, 14, and 28) of binary cement concrete are presented in Figure 1, while those of ternary and quaternary cement concretes are presented in Figure 2.

Figure 1. Concrete's 3, 14, and 28-day compressive strength for binary cement

Figure 2. Concrete's 3, 14, and 28-day compressive strength for ternary and quaternary cement concrete

4. Conclusion

The use of mineral additives (limestone, slag, pozzolan) in cement significantly influences its mechanical properties. Slag improves mechanical strength, especially in the long term, while consistency and setting times vary according to the type and quantity of additives. Beyond 10% additive, strength decreases.

The partial substitution of clinker with these additives optimizes cement performance and reduces environmental impact, encouraging future research in this field. Cements with mineral additives are increasingly used for ecological, economic, or performance reasons. This study compared two types of cements: one with limestone and the other with slag, at different percentages (5%, 10%, 15%, 20%) compared to CPA.

The results show that:

  • As the percentage of additives limestone/slag increases, normal consistency requires more water.
  • Setting times increase up to 10%, then decrease.
  • Compressive strength improves up to 10%, but decreases at 15%.
  • At 28 days, the strengths of cements with additives are lower than those of CPA.
  • An optimal additive dosage (10%) of limestone or slag ensures good strength and cost savings.

These results suggest that mineral additives can produce economical and high-performing cements.

Future Proposals: It would be beneficial to explore other types of mineral waste and analyze their potential for similar applications. Long-term studies on the durability of cements containing these additives are also recommended to assess their performance in real-world conditions. It would also be relevant to conduct in-depth analyses on the microstructure of modified cements to better understand the hydration mechanisms and interactions between additives and the cement matrix. Furthermore, more detailed environmental impact studies (Life Cycle Assessment) could quantify the actual benefits in terms of CO2 emissions reduction and energy consumption, thereby strengthening the argument for the use of these materials. Finally, exploring the integration of these additives into ultra-high performance cements or special concretes could open new perspectives for more demanding applications.

Nomenclature

CPA

Artificial Portland Cement

SM

Specific Mass

L

Limestone

S

Slag

P

Pozzolan

CN

Normal Consistency

MPa

Mega Pascal

NC

Normal Consistency

IS

Initial Setting

FS

Final Setting

  References

[1] Mohammed, N., Arun D, P. (2012). Utilization of industrial waste slag as aggregate in concrete applications by adopting Taguchi’s approach for optimization. Open Journal of Civil Engineering, 2(3): 96-105. https://doi.org/10.4236/ojce.2012.23015

[2] Abdelatif, Y., Gaber, A.A.M., Fouda, A.E.A.S., Alsoukarry, T. (2020). Evaluation of calcium oxide nanoparticles from industrial waste on the performance of hardened cement pastes: Physicochemical study. Processes, 8(4): 401. https://doi.org/10.3390/pr8040401

[3] Gedam, V.V., Labhasetwar, P.K., Engelsen, C.J. (2020). CCR characterization and valorization as mineral additives during cement production in India. International Journal of Coal Preparation and Utilization, 40(8): 524-538. https://doi.org/10.1080/19392699.2017.1365713

[4] Mun, K.J., So, S.Y., Soh, Y.S. (2007). The effect of slaked lime, anhydrous gypsum and limestone powder on properties of blast furnace slag cement mortar and concrete. Construction and Building Materials, 21(7): 1576-1582. https://doi.org/10.1016/j.conbuildmat.2005.09.010

[5] Naceri, A., Hamina, M.C. (2009). Use of waste brick as a partial replacement of cement in mortar. Waste Management, 29(8): 2378-2384. https://doi.org/10.1016/j.wasman.2009.03.026

[6] Bouglada, M.S., Naceri, A., Baheddi, M., Pereira-de-Oliveira, L. (2021). Characterization and modelling of the rheological behaviour of blended cements based on mineral additions. European Journal of Environmental and Civil Engineering, 25(4): 655-672. https://doi.org/10.1080/19648189.2018.1539675

[7] Ehikhuenmen, S.O., Igba, U.T., Balogun, O.O., Oyebisi, S.O. (2019). The influence of cement fineness on the structural characteristics of normal concrete. IOP Conference Series: Materials Science and Engineering, 640(1): 012043. https://doi.org/10.1088/1757-899X/640/1/012043

[8] Deboucha, W., Oudjit, M.N., Bouzid, A., Belagraa, L. (2015). Effect of incorporating blast furnace slag and natural pozzolana on compressive strength and capillary water absorption of concrete. Procedia Engineering, 108: 254-261. https://doi.org/10.1016/j.proeng.2015.06.145

[9] Naceri, A., Bouglada, M.S., Grosseau, P. (2009). Mineral activator and physical characteristics of slag cement at anhydrous and hydrated states. World Academy of Science, Engineering and Technology, 32: 137-139. http://scholar.waset.org/1307-6892/13147

[10] Shukla, A., Gupta, N., Gupta, A., Goel, R., Kumar, S. (2020). Natural pozzolans a comparative study: A review. IOP Conference Series: Materials Science and Engineering, 804(1): 012040. https://doi.org/10.1088/1757-899X/804/1/012040

[11] Hamidi, M., Kacimi, L., Cyr, M., Clastres, P. (2013). Evaluation and improvement of pozzolanic activity of andesite for its use in eco-efficient cement. Construction and Building Materials, 47: 1268-1277. https://doi.org/10.1016/j.conbuildmat.2013.06.013

[12] Senhadji, Y., Escadeillas, G., Khelafi, H., Mouli, M., Benosman, A.S. (2012). Evaluation of natural pozzolan for use as supplementary cementitious material. European Journal of Environmental and Civil Engineering, 16(1): 77-96. https://doi.org/10.1080/19648189.2012.667692

[13] Belaidi, A.S.E., Azzouz, L., Kadri, E., Kenai, S. (2012). Effect of natural pozzolana and marble powder on the properties of self-compacting concrete. Construction and Building Materials, 31: 251-257. https://doi.org/10.1016/j.conbuildmat.2011.12.109

[14] Ashraf, M., Khan, A.N., Ali, Q., Mirza, J., Goyal, A., Anwar, A.M. (2009). Physico-chemical, morphological and thermal analysis for the combined pozzolanic activities of minerals additives. Construction and Building Materials, 23(6): 2207-2213. https://doi.org/10.1016/j.conbuildmat.2008.12.008

[15] Sonebi, M. (2004). Medium strength self-compacting concrete containing fly ash: Modelling using factorial experimental plans. Cement and Concrete Research, 34(7): 1199-1208. https://doi.org/10.1016/j.cemconres.2003.12.022

[16] Rakhimova, N.R., Rakhimov, R.Z., Naumkina, N.I., Khuzin, A.F., Osin, Y.N. (2016). Influence of limestone content, fineness, and composition on the properties and microstructure of alkali-activated slag cement. Cement and Concrete Composites, 72: 268-274. https://doi.org/10.1016/j.cemconcomp.2016.06.015

[17] Tokpatayeva, R., Castillo, A., Yoon, J., Kaladharan, G., Jafari, K., et al. (2022). Comparative study of the reactivity and performance of different nontraditional and natural pozzolans in cementitious system. Advances in Civil Engineering Materials, 11(2): 670-693. https://doi.org/10.1520/ACEM20220021

[18] Nagrockienė, D., Girskas, G., Skripkiūnas, G. (2017). Properties of concrete modified with mineral additives. Construction and Building Materials, 135: 37-42. https://doi.org/10.1016/j.conbuildmat.2016.12.215

[19] Hadj-sadok, A., Kenai, S., Courard, L., Darimont, A. (2011). Microstructure and durability of mortars modified with medium active blast furnace slag. Construction and Building Materials, 25(2): 1018-1025. https://doi.org/10.1016/j.conbuildmat.2010.06.077

[20] Bederina, M., Makhloufi, Z., Bouziani, T. (2011). Effect of limestone fillers the physic-mechanical properties of limestone concrete. Physics Procedia, 21: 28-34. https://doi.org/10.1016/j.phpro.2011.10.005

[21] Souici, I., Zeghichi, L., Benouis, A. (2024). Optimizing physical and mechanical properties of recycled filler and fiber sand concrete: A full factorial design approach. Journal of Composite & Advanced Materials/Revue des Composites et des Matériaux Avancés, 34(1): 51. https://doi.org/10.18280/rcma.340107

[22] Makhloufi, Z., Chettih, M., Bederina, M., Kadri, E.H., Bouhicha, M. (2015). Effect of quaternary cementitious systems containing limestone, blast furnace slag and natural pozzolan on mechanical behavior of limestone mortars. Construction and Building Materials, 95: 647-657. https://doi.org/10.1016/j.conbuildmat.2015.07.050

[23] Mebrouki, A., Cyr, M., Belaribi, N.B. (2009). Enhancing value of local materials in developing countries: Case of an Algerian pozzolan. European Journal of Environmental and Civil Engineering, 13(10): 1263-1278. https://doi.org/10.1080/19648189.2009.9693188

[24] Bouzoubaâ, N., Lachemi, M. (2001). Self-compacting concrete incorporating high volumes of class F fly ash: Preliminary results. Cement and Concrete Research, 31(3): 413-420. https://doi.org/10.1016/S0008-8846(00)00504-4

[25] Zheng, J., Liu, G. (2020). The influence and application of slag, fly ash, and limestone flour on compressive strength of concrete based on the concrete compressive strength development over time (CCSDOT) model. Applied Sciences, 10(10): 3572. https://doi.org/10.3390/app10103572