Investigating the Optical Properties of PVA/PEG/CeO2 Nanocomposites for Optics Devices

Investigating the Optical Properties of PVA/PEG/CeO2 Nanocomposites for Optics Devices

Musaab Khudhur Mohammed Ahmed Hashim* Noor Hayder Majeed Ali Habeeb

College of Education for Pure Sciences, Department of Physics, University of Babylon, Babylon 51001, Iraq

Medical Physics Department, Al-Mustaqbal University College, Babylon 51001, Iraq

Corresponding Author Email: 
pure.ahmed.hashim@uobabylon.edu.iq
Page: 
393-400
|
DOI: 
https://doi.org/10.18280/rcma.340315
Received: 
15 January 2023
|
Revised: 
25 April 2024
|
Accepted: 
10 May 2024
|
Available online: 
22 June 2024
| Citation

© 2024 The authors. This article is published by IIETA and is licensed under the CC BY 4.0 license (http://creativecommons.org/licenses/by/4.0/).

OPEN ACCESS

Abstract: 

The purpose of this work is to fabricate of PVA/PEG/CeO2 nanocomposites and examining their optical characteristics used in different optical devices. The PVA/PEG/CeO2 nanocomposites were prepared by using casting method with different concentrations of PVA/PEG blend and CeO2 nanoparticles. The optical properties were tested at wavelengths range from 200nm to 800nm. The analysis showed that the CeO2 NPs content was increased, the absorption of PVA/PEG/CeO2 nanocomposites was enhanced whereas the transmittance was reduced. Whenever the CeO2 NPs content was increased, the band gap was reduced. With addition of CeO2 NPs, the other optical properties of PVA/PEG/CeO2 nanocomposites were enhanced. Lastly, the optical characteristics outcomes showed that the PVA/PEG/CeO2nanocomposites are being used in a variety of optical devices.

Keywords: 

PVA, PEG, optical properties, CeO2 NPs, nanocomposites

1. Introduction

Polymer nanocomposites, also known as PCs, are a recently popular class of materials that have gained attention due to their distinctive blend of nanostructures and polymeric substances. Their unique attributes arise from the interaction between the two entities, rather than being inherent in their initial properties [1-5]. The proliferation of polymer materials and their widespread use in technology have resulted in the development of polymeric composites. The relevance of polymers mostly stems from their reputation as cost-effective and readily manufacturable materials. The extensive utilization of polymer materials in various applications has resulted in the creation of composite materials designed for specific purposes. Recently, there has been growing interest in polymer matrix-ceramic additive composites because of their intriguing electrical and electronic properties. These composites have potential applications in various fields, including integrated decoupling capacitors, angular acceleration accelerometers, acoustic emission sensors, and electronic packaging. Organic polymers are known for their advantageous properties such as flexibility, toughness, formability, and low density. On the other hand, ceramics exhibit exceptional mechanical, thermal, and optical properties. Composite materials have emerged as one of the primary categories of high-performance engineering materials, alongside metals and alloys, ceramics, and polymers. The ultimate features of a composite material are determined by the distribution of reinforcement or filler in the medium and the adhesion phenomena between the filler and the medium. [6, 7]. Polyvinyl alcohol (PVA) is regarded as a water-soluble polymer material that is biocompatible, biodegradable, and non-toxic. This polymer substance is an exceptional adhesive, displaying remarkable resistance to organic solvents and greater resistance to the passage of oxygen compared to any other acknowledged polymer. It is a rare type of polymer that can dissolve in water and has exceptional properties at the boundary between different materials. It is widely utilized in the textile industry, packaging sector, and biomedical applications including contact lenses, pharmaceuticals, orthopedic materials, tissue engineering, and the production of artificial organs [8-10]. Polyvinyl alcohol is a polymer that is capable of undergoing biodegradation and is environmentally friendly [11]. PVA is a water-soluble polymer that exhibits favorable thermal and mechanical properties [12]. Producing thin films with oxide may occur spontaneously and serve a practical purpose [13]. The properties of polymers can be improved by combining two or more polymers and/or adding organic or inorganic additives for use in various industries such as marine, aviation, aerospace, etc. [14, 15]. Cerium oxide nanoparticles (CeO2NPs) are becoming increasingly popular due to their advantageous features such as a large surface area, high porosity volume, excellent stability, conductivity, and dielectric properties. These traits make them suitable for a wide range of applications [16-21]. Hybrid optical compounds composed of both organic and inorganic materials are exceedingly costly from a technical perspective. Combinations of hybrid materials with exceptional properties can be developed after the relationships between the properties of inorganic components and polymeric matrices are clarified. Nanocomposites consisting of polymeric matrices are a significant group within the field of applied materials science and technology due to their appealing properties. Polymeric composites (PC) possess several appealing optical properties, including a high/low refractive index, altered emission/absorption spectra, and enhanced optical nonlinearities. Hybrid compounds possess unique features that make them suitable for functional optoelectronic applications [22]. The nanocomposites have extensive applications in numerous fields, including piezoelectricity and sensors [23-29], energy storage [30-33], antimicrobial properties [34-36], and electronics [37, 38]. This study involves the fabrication of PVA/PEG/CeO2 films and the examination of their optical properties for potential usage in various optical applications.

2. Materials and Methods

Films of PVA/PEG/CeO2filmshave prepared with various ratios of cerium oxide nanoparticles (CeO2 NPs) and polymer blend. The polymer blend was prepared by dissolving 1gm of polymers in (30 ml) of distilled water with ratio (81%PVA/19%PEG). The CeO2 NPs were added to polymer blend with ratios (1.5%, 3% and 4.5%). using the casting method to prepare nanocomposites. The (UV-18000A-Shimadzu) spectrophotometer was used to test the optical characters of blend/CeO2 nanocomposites. Utilizing the given relation to get the absorption coefficient (α) [39]:

$\alpha=2.303(\mathrm{~A} / \mathrm{d})$       (1)

wherever: d is the thickness, A is the absorbance.

The energy gap (Eg) is assumed by [40]:

$(\alpha h v)=\mathrm{B}\left(\mathrm{h}-\mathrm{E}_g\right)^{\mathrm{m}}$     (2)

where, B is a constant, hυ represents the energy of a photon, Eg represents the band gap, and m can take the values 2 and 3 for allowed and forbidden transitions, respectively. The refractive index (n) is provided [41]:

$\mathrm{n}=\frac{1+R^{\frac{1}{2}}}{1-R^{\frac{1}{2}}}$     (3)

where, R is reflectance. The extinction coefficient (k) is defined by the relation [41]:

$k=\frac{\alpha \lambda}{4 \pi}$        (4)

wherever λ is wavelength. Dielectric constant of the real (ε1) and imaginary (ε2) is given by [42]:

$\varepsilon_1=\mathrm{n}^2-\mathrm{k}^2$         (5)

$\varepsilon_2=2 \mathrm{nk}$       (6)

The optical conductivity (σop) defines [43].

$\sigma_{o p}=\frac{\alpha \mathrm{nc}}{4 \pi}$       (7)

3. Results and Discussion

Utilizing the refractive index, which is indicated by the symbol n, enables one to calculate the speed at which an electromagnetic wave traveling through a medium is moving. The real part of the refractive index, which is indicated as n, stands for the actual velocity, while the complex part of the refractive index, which is denoted ask, is known as the extinction coefficient. The refractive index may be broken down into these two components. The extinction coefficient is a measure of how the oscillatory amplitude of the electric field decreases or is absorbed as a wave passes through a substance [44]. The refractive index, represented as n*, is controlled by the interaction between the electric field of the electromagnetic wave and the medium it is traversing [45]. The refractive index of a substance is an essential property that determines its optical characteristics. This statement describes the measurement of the change in the speed of light when it moves from a vacuum to a different material. The refractive index measures the extent of light bending or refraction that takes place when moving from one substance to another [46]. The deceleration of light occurs as it moves from a vacuum to another substance due to the interplay between the electromagnetic fields of light and the properties of the new medium. The refractive index of a vacuum is 1 because the speed of light is highest in a vacuum. Consequently, it serves as the standard for evaluating the refractive indices of other substances [47]. Because of their ability to hold electrical charge, dielectric materials can generate an electric field with little to no energy loss. Polymers are not only useful as insulators for cables and other electrical components, but they also exhibit dielectric properties. Mica and silicon dioxide are two examples of common inorganic components found in dielectric materials [48]. However, polymers are rapidly gaining ground as viable dielectric alternatives. As a result of their versatility, low production costs, and the ability to be molded into a variety of shapes and sizes, polymers can be used in a wide variety of settings. Their dielectric properties, in particular, make them highly resistant to chemical attack. A substance's dielectric constant is a dimensionless metric that assesses its polarization in response to an applied electric field. To get the dielectric constant, divide the electric field E0 from outside the dielectric by the electric field E [49].

Figure 1. Variation absorbance of PVA/PEG/CeO2 nanocomposites

Figure 1 shows the absorbance spectra of PVA/PEG/CeO2 films. It is show that the absorption spectra increases when the added CeO2 NPs content. This result because the rise charge carrier’s density which lead to improve the absorbance [50-52] hence the transmittance will decrease for all sample prepared as shown in Figure 2. As shown in Figures 1 and 2, the absorbance reduces and transmittance increases with increase in wavelength of photons. The PVA/PEG/CeO2 films included high value of absorbance at UV-spectra while the transmittance of PVA/PEG/CeO2 films included lower values at UV-spectra then increases with rising wavelength of photons.

Figure 2. Transmission varieties of PVA/PEG/CeO2 nanocomposites

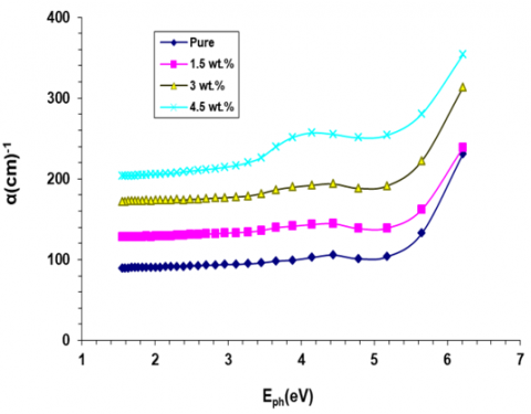
Figure 3 obtain the absorption coefficient of PVA/PEG/CeO2 nanocomposite. The α give the information on the nature of the transition. It is observed that the α>104 cm-1 therefore the happened indirect transition. The polymeric blend exhibited a low absorption coefficient, maybe attributed to its poor crystallinity [53, 54].

Figure 3. Absorption coefficient of PVA/PEG/CeO2 nanocomposites

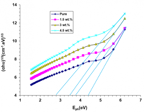
The value of allowed &forbidden energy gap of blend/CeO2 films is illustrate in Figures 4 and 5 respectively. Because formation of levels inside band gap and the local cross-linking thattake place inside the composites noncrystallinephase [55-62], the value of Eg reduce with increase of CeO2 NPs.

Figures 6 and 7 show the performances of n and k of blend/CeO2 nanocomposites. The n values reduce with rising photon wavelength. The k values reduce, then rise with rising photon wavelength. It is observed that the n and k of PVA/PEG/CeO2 nanocomposite reduce when additive CeO2 NPs ratio, which related to the increase density of films and α value [63-68].

Figure 4. Eg values of blend/CeO2 nanocomposites for allowed transition

Figure 5. Eg values of blend/CeO2 nanocomposites for forbidden transition

Figure 6. Performance of n for PVA/PEG/CeO2 nanocomposites

Figure 7. Extinction coefficient of PVA/PEG/CeO2 nanocomposites

The real and imaginary dielectrics constants of PVA/PEG/CeO2 films are shown in Figures 8 and 9. The real dielectric constant decrease with rising photon wavelength. The ε2 values reduce, then rise with rising photon wavelength. These figures obtain that the ε1 and ε2 reduce when increase in the CeO2 NPs which attribute to the increase in n and k [69-73].

Figure 8. ε1 of blend/CeO2 nanocomposites

Figure 9. ε2 of blend/CeO2 nanocomposites

Figure 10 shows that the effect of the optical conductivity of blend/CeOfilms. The σopvalues decrease with rising photon wavelength. Through rise in content in CeO2 NPs, the σop value will rises which due to the increase in absorbance and reduce the energy gap [74-80].

Figure 10. The σop of blend/CeO2 nanocomposites

4. Conclusions

This research explores the manufacturing of blend/CeO2nanocomposites and their optical characteristics used in different optical devices. The optical characterizations of PVA/PEG/CeO2 nanocomposites were examined at wavelengths range from 200 nm to 800nm. The analysis indicated that the rise in the CeO2NPs concentration causes to rise in the absorption of PVA/PEG while a transmittance is reduced. When the CeO2 NPs content is increased, the bandgap reduces. The adding of CeO2 NPs enhances the optical characteristics of PVA/PEG/CeO2 nanocomposites. The optical characters showed that the blend CeO2 films can be used in different optical devices.

  References

[1] Džunuzović, E., Jeremić, K., Nedeljković, J.M. (2007). In situ radical polymerization of methyl methacrylate in a solution of surface modified TiO2 and nanoparticles. European Polymer Journal, 43(9): 3719-3726. https://doi.org/10.1016/j.eurpolymj.2007.06.026

[2] Rozenberg, B.A., Tenne, R. (2008). Polymer-assisted fabrication of nanoparticles and nanocomposites. Progress in Polymer Science, 33(1): 40-112. https://doi.org/10.1016/j.progpolymsci.2007.07.004

[3] Hemalatha, K.S., Rukmani, K., Suriyamurthy, N., Nagabhushana, B.M. (2014). Synthesis, characterization and optical properties of hybrid PVA–ZnO nanocomposite: A composition dependent study. Materials Research Bulletin, 51: 438-446. https://doi.org/10.1016/j.materresbull.2013.12.055

[4] Hemalatha, K.S., Sriprakash, G., Ambika Prasad, M.V.N., Damle, R., Rukmani, K. (2015). Temperature dependent dielectric and conductivity studies of polyvinyl alcohol-ZnO nanocomposite films by impedance spectroscopy. Journal of Applied physics, 118(15): 154103. https://doi.org/10.1063/1.4933286

[5] Hassen, A.M.E.S., El Sayed, A.M., Morsi, W.M., El-Sayed, S. (2012). Influence of Cr2O3 nanoparticles on the physical properties of polyvinyl alcohol. Journal of Applied Physics, 112(9): 093525. https://doi.org/10.1063/1.4764864

[6] Abduljalil, H., Hashim, A., Jewad, A. (2011). The effect of addition titanium dioxide on electrical properties of poly-methyl methacrylate. European Journal of Scientific Research, 63(2): 231-235.

[7] Al-Ramadhan, Z., Algidsawi, A.J.K., Hashim, A., Aslan, M.H., Oral, A.Y., Ozer, M.C¸ aglar, S.L.H. (2011, December). The DC electrical properties of (PVC-Al2O3) composites. AIP Conference Proceedings-American Institute of Physics, 1400(1): 180. https://doi.org/10.1063/1.3663109

[8] Hashim, A., Abduljalil, H., Ahmed, H. (2020). Fabrication and characterization of (PVA-TiO2) 1-x/SiCx nanocomposites for biomedical applications. Egyptian Journal of Chemistry, 63(1): 71-83. https://doi.org/10.21608/EJCHEM.2019.10712.1695

[9] Hashim, A., Abduljalil, H., Ahmed, H. (2019). Analysis of optical, electronic and spectroscopic properties of (biopolymer-SiC) nanocomposites for electronics applications. Egyptian Journal of Chemistry, 62(9): 1659-1672. https://doi.org/10.21608/EJCHEM.2019.7154.1590 

[10] Hashim, A., Hamad, Z. (2020). Lower cost and higher UV-absorption of polyvinyl alcohol/silica nanocomposites for potential applications. Egyptian Journal of Chemistry, 63(2): 461-470. https://doi.org/10.21608/EJCHEM.2019.7264.1593

[11] Ahmed, H., Hashim, A. (2020). Design and characteristics of novel PVA/PEG/Y2O3 structure for optoelectronics devices. Journal of Molecular Modeling, 26(8): 210. https://doi.org/10.1007/s00894-020-04479-1

[12] Ahmed, H., Hashim, A. (2021). Geometry optimization, optical and electronic characteristics of novel PVA/PEO/SiC structure for electronics applications. Silicon, 13(8): 2639-2644. https://doi.org/10.1007/s12633-020-00620-0

[13] Ahmed, H., Hashim, A. (2021). Structure, optical, electronic and chemical characteristics of novel (PVA-CoO) structure doped with silicon carbide. Silicon, 13(12): 4331-4344. https://doi.org/10.1007/s12633-020-00723-8

[14] Ahmed, H., Hashim, A. (2022). Exploring the characteristics of new structure based on silicon doped organic blend for photonics and electronics applications. Silicon, 14(9): 4907-4914. https://doi.org/10.1007/s12633-021-01258-2

[15] Habbeb, M.A., Hashim, A., AbidAli, A.R.K. (2011). The dielectric properties for (PMMA-LiF) composites. European Journal of Scientific Research, 61(3): 367-371.

[16] Tok, A.I.Y., Luo, L.H., Boey, F.Y.C., Woodhead, J.L. (2006). Consolidation and properties of Gd0. 1Ce0. 9O1. 95 nanoparticles for solid-oxide fuel cell electrolytes. Journal of Materials Research, 21(1): 119-124. https://doi.org/10.1557/jmr.2006.0024

[17] Pushkarev, V.V., Kovalchuk, V.I., d'Itri, J.L. (2004). Probing defect sites on the CeO2 surface with dioxygen. The Journal of Physical Chemistry B, 108(17): 5341-5348. https://doi.org/10.1021/jp0311254

[18] Barreca, D., Gasparotto, A., Maccato, C., Maragno, C., Tondello, E., Comini, E., Sberveglieri, G. (2007). Columnar CeO2 nanostructures for sensor application. Nanotechnology, 18(12): 125502. https://doi.org/10.1088/0957-4484/18/12/125502

[19] Sohlberg, K., Pantelides, S.T., Pennycook, S.J. (2001). Interactions of hydrogen with CeO2. Journal of the American Chemical Society, 123(27): 6609-6611. https://doi.org/10.1021/ja004008k

[20] Hsieh, C.C., Roy, A., Rai, A., Chang, Y.F., Banerjee, S.K. (2015). Characteristics and mechanism study of cerium oxide based random access memories. Applied Physics Letters, 106(17): 173108. https://doi.org/10.1063/1.4919442

[21] Taguchi, M., Takami, S., Adschiri, T., Nakane, T., Sato, K., Naka, T. (2011). Supercritical hydrothermal synthesis of hydrophilic polymer-modified water-dispersible CeO2 nanoparticles. CrystEngComm, 13(8): 2841-2848. https://doi.org/10.1039/C0CE00467G

[22] El-Naggar, A.M., Heiba, Z.K., Kamal, A.M., Abd-Elkader, O.H., Mohamed, M.B. (2023). Impact of ZnS/Mn on the structure, optical, and electric properties of PVC polymer. Polymers, 15(9): 2091. https://doi.org/10.3390/polym15092091

[23] Hashim, A., Hadi, A. (2017). synthesis and characterization of novel piezoelectric and energy storage nanocomposites: Biodegradable materials–magnesium oxide nanoparticles. Ukrainian Journal of Physics, 62(12): 1050-1056. https://doi.org/10.15407/ujpe62.12.1050

[24] Hashim, A., Hadi, A. (2017). Synthesis and characterization of (MgO–Y2O3–CuO) nanocomposites for novel humidity sensor application. Sensor Letters, 15(10): 858-861. https://doi.org/10.1166/sl.2017.3900

[25] Ahmed, H., Abduljalil, H.M., Hashim, A. (2019). Analysis of structural, optical and electronic properties of polymeric nanocomposites/silicon carbide for humidity sensors. Transactions on Electrical and Electronic Materials, 20(3): 206-217. https://doi.org/10.1007/s42341-019-00100-2

[26] Hadi, A., Hashim, A. (2017). Development of a new humidity sensor based on (carboxymethyl cellulose–starch) blend with copper oxide nanoparticles. Ukrainian Journal of Physics, 62(12): 1044-1049. https://doi.org/10.15407/ujpe62.12.1044

[27] Hashim, A., Hamad, Z.S. (2019). Fabrication and characterization of polymer blend doped with metal carbide nanoparticles for humidity sensors. Journal of Nanostruct, 9(2): 340-348. https://doi.org/10.22052/JNS.2019.02.016

[28] Hashim, A., Hadi, Q. (2017). Novel of (niobium carbide/polymer blend) nanocomposites: Fabrication and characterization for pressure sensors. Sensor Letters, 15(11): 951-953. https://doi.org/10.1166/sl.2017.3892

[29] Hashim, A., Hadi, A. (2017). A novel piezoelectric material prepared from (carboxymethyl cellulose-starch) blend-metal oxide nanocomposites. Sensor Letters, 15(12): 1019-1022. https://doi.org/10.1166/sl.2017.3910 

[30] Rashid, F.L., Talib, S.M., Hadi, A., Hashim, A. (2018). Novel of thermal energy storage and release: water/(SnO2-TaC) and water/(SnO2–SiC) nanofluids for environmental applications. Materials Science and Engineering, 454(1): 012113. https://doi.org/10.1088/1757-899X/454/1/012113

[31] Hadi, A., Rashid, F.L., Hussein, H.Q., Hashim, A. (2019). Novel of water with (CeO2-WC) and (SiC-WC) nanoparticles systems for energy storage and release applications. Materials Science and Engineering, 518(3): 032059. https://doi.org/10.1088/1757-899X/518/3/032059

[32] Agool, I.R., Kadhim, K.J., Hashim, A. (2016). Preparation of (polyvinyl alcohol–polyethylene glycol–polyvinyl pyrrolidinone–titanium oxide nanoparticles) nanocomposites: Electrical properties for energy storage and release. International Journal of Plastics Technology, 20: 121-127. https://doi.org/10.1007/s12588-016-9144-5

[33] Al-Garah, N.H., Rashid, F.L., Hadi, A., Hashim, A. (2018). Synthesis and characterization of novel (organic–inorganic) nanofluids for antibacterial, antifungal and heat transfer applications. Journal of Bionanoscience, 12(3): 336-340. https://doi.org/10.1166/jbns.2018.1538

[34] Kadhim, K.J., Agool, I.R., Hashim, A. (2017). Effect of zirconium oxide nanoparticles on dielectric properties of (PVA-PEG-PVP) blend for medical application. Journal of Advanced Physics, 6(2): 187-190. https://doi.org/10.1166/jap.2017.1313

[35] Kadhim, K.J., Agool, I.R., Hashim, A. (2016). Synthesis of (PVA-PEG-PVP-TiO2) nanocomposites for antibacterial application. Materials Focus, 5(5): 436-439. https://doi.org/10.1166/mat.2016.1371

[36] Ahmed, H., Hashim, A., Abduljalil, H. (2019). Analysis of structural, electrical and electronic properties of (polymer nanocomposites/silicon carbide) for antibacterial application. Egyptian Journal of Chemistry, 62(4): 767-776. https://doi.org/10.21608/EJCHEM.2019.6241.1522

[37] Hazim, A., Abduljalil, H.M., Hashim, A. (2021). First principles calculations of electronic, structural and optical properties of (PMMA–ZrO2–au) and (PMMA–Al2O3–au) nanocomposites for optoelectronics applications. Transactions on Electrical and Electronic Materials, 22: 185-203. https://doi.org/10.1007/s42341-020-00224-w 

[38] Ahmed, H., Hashim, A. (2021). Structural, optical and electronic properties of silicon carbide doped PVA/NiO for low cost electronics applications. Silicon, 13(5): 1509-1518. https://doi.org/10.1007/s12633-020-00543-w

[39] Naik, G.V., Schroeder, J.L., Ni, X., Kildishev, A.V., Sands, T.D., Boltasseva, A. (2012). Titanium nitride as a plasmonic material for visible and near-infrared wavelengths. Optical Materials Express, 2(4): 478-489.

[40] Abdel-Baset, T., Elzayat, M., Mahrous, S. (2016). Characterization and optical and dielectric properties of polyvinyl chloride/silica nanocomposites films. International Journal of Polymer Science, 2016. https://doi.org/10.1155/2016/1707018

[41] Asogwa, P.U. (2011). Band gap shift and optical characterization of PVA-capped PbO thin films: Effect of thermal annealing. Chalcogenide Letters, 8(3): 163-170.

[42] Amin, P.O., Ketuly, K.A., Saeed, S.R., Muhammadsharif, F.F., Symes, M.D., Paul, A., Sulaiman, K. (2021). Synthesis, spectroscopic, electrochemical and photophysical properties of high band gap polymers for potential applications in semi-transparent solar cells. BMC Chemistry, 15: 1-15. https://doi.org/10.1186/s13065-021-00751-4

[43] Al-Shawabkeh, A.F., Elimat, Z.M., Abushgair, K.N. (2023). Effect of non-annealed and annealed ZnO on the optical properties of PVC/ZnO nanocomposite films. Journal of Thermoplastic Composite Materials, 36(3): 899-915. https://doi.org/10.1177/08927057211038631

[44] Tabone, M.D., Cregg, J.J., Beckman, E.J., Landis, A.E. (2010). Sustainability metrics: life cycle assessment and green design in polymers. Environmental Science & Technology, 44(21): 8264-8269. https://doi.org/10.1021/es101640n

[45] Taha, T.A., Hendawy, N., El-Rabaie, S., Esmat, A., El-Mansy, M.K. (2019). Effect of NiO NPs doping on the structure and optical properties of PVC polymer films. Polymer Bulletin, 76: 4769-4784. https://doi.org/10.1007/s00289-018-2633-2

[46] Abed, R.N., Sattar, M.A., Hameed, S.S., Ahmed, D.S., Al-Baidhani, M., Kadhom, M., Yousif, E. (2023). Optical and morphological properties of poly (vinyl chloride)-nano-chitosan composites doped with TiO2 and Cr2O3 nanoparticles and their potential for solar energy applications. Chemical Papers, 77(2): 757-769. https://doi.org/10.1007/s11696-022-02512-6

[47] Alshammari, A.H., Alshammari, M., Alshammari, K., Allam, N.K., Taha, T.A. (2023). PVC/PVP/SrTiO3 polymer blend nanocomposites as potential materials for optoelectronic applications. Results in Physics, 44: 106173. https://doi.org/10.1016/j.rinp.2022.106173 ‏

[48] Abed, R.N., Sattar, M.A., Hameed, S.S., Ahmed, D.S., Al-Baidhani, M., Kadhom, M., Yousif, E. (2023). Optical and morphological properties of poly (vinyl chloride)-nano-chitosan composites doped with TiO2 and Cr2O3 nanoparticles and their potential for solar energy applications. Chemical Papers, 77(2): 757-769. ‏ https://doi.org/10.1007/s11696-022-02512-6

[49] Soliman, T.S., Hessien, M.M., Elkalashy, S.I. (2022). Structural, thermal, and optical properties of polyvinyl alcohol films doped with La2ZnOx nanoparticles. Journal of Non-Crystalline Solids, 580: 121405. https://doi.org/10.1016/j.jnoncrysol.2022.121405

[50] Ali, R.S., Mohammed, M.K., Khadayeir, A.A., Abood, Z.M., Habubi, N.F., Chiad, S.S. (2020). Structural and Optical Characterization of Sprayed nanostructured Indium Doped Fe2O3 Thin Films. Journal of Physics, 1664(1): 012016. https://doi.org/10.1088/1742-6596/1664/1/012016

[51] Rashid, F.L., Hashim, A., Habeeb, M.A., Salman, S.R., Ahmed, H. (2013). Preparation of (PS-PMMA) copolymer and study the effect of Sodium Fluoride on its optical properties. Science & Technology, 4(2): 121-126.

[52] Hashim, A. (2021). Enhanced morphological, optical and electronic characteristics of WC NPs doped PVP/PEO for flexible and lightweight optoelectronics applications. Optical and Quantum Electronics, 53(8): 478. https://doi.org/10.1007/s11082-021-03100-w

[53] Jasim, F.A., Lafta, F., Hashim, A., Ali, M., Hadi, A.G. (2013). Characterization of palm fronds-polystyrene composites. Journal of Engineering and Applied Sciences, 8(5): 140-142.

[54] Jasim, F.A., Hashim, A., Hadi, A.G., Lafta, F., Salman, S.R., Ahmed, H. (2013). Preparation of (pomegranate peel-polystyrene) composites and study their optical properties. Research Journal of Applied Sciences, 8(9): 439-441.

[55] Hashim, A., Habeeb, M. A., Hadi, A., Jebur, Q. M., Hadi, W. (2017). Fabrication of novel (PVA-PEG-CMC-Fe3O4) magnetic nanocomposites for piezoelectric applications. Sensor Letters, 15(12): 998-1002. https://doi.org/10.1166/sl.2018.3935

[56] Hashim, A., Habeeb, M. A., Khalaf, A., Hadi, A. (2017). Fabrication of (PVA-PAA) blend-extracts of plants bio-composites and studying their structural, electrical and optical properties for humidity sensors applications. Sensor Letters, 15(7): 589-596. https://doi.org/10.1166/sl.2017.3856

[57] Jebur, Q. M., Hashim, A., Habeeb, M. A. (2019). Structural, electrical and optical properties for (polyvinyl alcohol–polyethylene oxide–magnesium oxide) nanocomposites for optoelectronics applications. Transactions on Electrical and Electronic Materials, 20(4): 334-343. https://doi.org/10.1007/s42341-019-00121-x

[58] Agool, I.R., Kadhim, K.J., Hashim, A. (2017). Fabrication of new nanocomposites:(PVA-PEG-PVP) blend-zirconium oxide nanoparticles) for humidity sensors. International Journal of Plastics Technology, 21, 397-403. https://doi.org/10.1007/s12588-017-9192-5 

[59] Hashim, A., Habeeb, M. A. (2019). Synthesis and characterization of polymer blend-CoFe2O4 nanoparticles as a humidity sensors for different temperatures. Transactions on Electrical and Electronic Materials, 20, 107-112. https://doi.org/10.1007/s42341-018-0081-1

[60] Hashim, A., Habeeb, M.A., Hadi, A. (2017). Synthesis of novel polyvinyl alcohol–starch-copper oxide nanocomposites for humidity sensors applications with different temperatures. Sensor Letters, 15(9): 758-761. https://doi.org/10.1166/sl.2017.3876

[61] Ahmed, H., Hashim, A. (2021). Lightweight, flexible and high energies absorption property of PbO2 doped polymer blend for various renewable approaches. Transactions on Electrical and Electronic Materials, 22: 335-345. https://doi.org/10.1007/s42341-020-00244-6

[62] Habeeb, M. A., Hashim, A., Hadi, A. (2017). Fabrication of new nanocomposites: CMC-PAA-PbO2 nanoparticles for piezoelectric sensors and gamma radiation shielding applications. Sensor Letters, 15(9): 785-790. https://doi.org/10.1166/sl.2017.3877

[63] Hashim, A., Jassim, A. (2017). Novel of (PVA-ST-PbO2) bio nanocomposites: Preparation and properties for humidity sensors and radiation shielding applications. Sensor Letters, 15(12): 1003-1009. https://doi.org/10.1166/sl.2018.3915

[64] Hashim, A., Jassim, A. (2018). Novel of biodegradable polymers-inorganic nanoparticles: Structural, optical and electrical properties as humidity sensors and gamma radiation shielding for biological applications. Journal of Bionanoscience, 12(2): 170-176. https://doi.org/10.1166/jbns.2018.1518 

[65] Ahmed, H., Hashim, A., Abduljalil, H.M. (2020). Determination of optical parameters of films of PVA/TiO2/SiC and PVA/MgO/SiC nanocomposites for optoelectronics and UV-detectors. Ukrainian Journal of Physics, 65(6): 533-533. https://doi.org/10.15407/ujpe65.6.533

[66] Hashim, A., Al-Attiyah, K.H.H., Obaid, S.F. (2019). Fabrication of novel (biopolymer blend-lead oxide nanoparticles) nanocomposites: Structural and optical properties for low-cost nuclear radiation shielding. Ukrainian Journal of Physics, 64(2): 157-157. https://doi.org/10.15407/ujpe64.2.157

[67] Hashim, A., Hadi, A., Al-Aaraji, N.A.H., Rashid, F.L. (2023). Fabrication and augmented structural, optical and electrical features of PVA/Fe2O3/SiC hybrid nanosystem for optics and nanoelectronics fields. Silicon, 15(13): 5725-5734. https://doi.org/10.1007/s12633-023-02471-x

[68] Upadhyay, V.S., Dubey, S.K., Singh, A., Tripathi, S. (2014). Structural, optical and morphological properties of PVA/Fe2O3 nanocomposite thin films. IJCPS, 3(4): 43-48.

[69] Rabee, B.H., Hashim, A. (2011). Synthesis and characterization of carbon nanotubes -polystyrene composites. European Journal of Scientific Research, 60(2): 247-254.

[70] Agool, I.R., Mohammed, F.S., Hashim, A. (2015). The effect of magnesium oxide nanoparticles on the optical and dielectric properties of (PVA-PAA-PVP) blend. Advances in Environmental Biology, 9(11): 1-11.

[71] Hadi, S., Hashim, A., Jewad, A. (2011). Optical properties of (PVA-LiF) composites. Australian Journal of Basic and Applied Sciences, 5(9): 2192-2195.

[72] Al-Ammar, K., Hashim, A., Husaien, M. (2013). Synthesis and study of optical properties of (PMMA-CrCl2) composites. Chemical and Materials Engineering, 1(3): 85-87. https://doi.org/10.13189/cme.2013.010304

[73] Jebur, Q., Hashim, A., Habeeb, M. (2020). Fabrication, structural and optical properties for (polyvinyl alcohol–polyethylene oxide–iron oxide) Nanocomposites. Egyptian Journal of Chemistry, 63(2): 611-623. https://doi.org/10.21608/EJCHEM.2019.10197.1669

[74] Hassan, D., Hashim, A. (2018). Preparation and studying the structural and optical properties of (Poly-Methyl Methacrylate–Lead Oxide) nanocomposites for bioenvironmental applications. Journal of Bionanoscience, 12(3): 346-349. https://doi.org/10.1166/jbns.2018.1537

[75] Hassan, D., Hashim, A. (2018). Structural and optical properties of (polystyrene–copper oxide) nanocomposites for biological applications. Journal of Bionanoscience, 12(3): 341-345. https://doi.org/10.1166/jbns.2018.1533

[76] Hashim, A., Hamad, Z.S. (2018). Novel of (niobium carbide-biopolymer blend) nanocomposites: Characterization for bioenvironmental applications. Journal of Bionanoscience, 12(4): 488-493. https://doi.org/10.1166/jbns.2018.1551

[77] Obaid, W.O., Hashim, A. (2022). Synthesis and augmented optical properties of PC/SiC/TaC hybrid nanostructures for potential and photonics fields. Silicon, 14(17): 11199-11207. https://doi.org/10.1007/s12633-022-01854-w

[78] Kadham, A.J., Hassan, D., Mohammad, N., Ah-yasari, A.H. (2018). Fabrication of (polymer blend-magnesium oxide) nanoparticle and studying their optical properties for optoelectronic applications. Bulletin of Electrical Engineering and Informatics, 7(1): 28-34. https://doi.org/10.11591/eei.v7i1.839

[79] Hashim, A., Hamad, Z.S. (2018). Synthesis, characterization and nanobiological application of (biodegradable polymers-titanium nitride) nanocomposites. Journal of Bionanoscience, 12(4): 504-507. https://doi.org/10.1166/jbns.2018.1561

[80] Atta, A., Abdelhamied, M.M., Abdelreheem, A.M., Berber, M.R. (2021). Flexible methyl cellulose/polyaniline/silver composite films with enhanced linear and nonlinear optical properties. Polymers, 13(8): 1225. https://doi.org/10.3390/polym13081225