Enhancing the Structural and Optical Properties of Poly (Vinyl Alcohol) Films Through the Incorporation of Ag2O: ZnO Nanoparticle

Enhancing the Structural and Optical Properties of Poly (Vinyl Alcohol) Films Through the Incorporation of Ag2O: ZnO Nanoparticle

Israa A. Hamzah Khudair* Saba A. Obaid AL-Shiaa Mohsin K. Al-khaykanee

Department of Physics, College of Science, University of Babylon, Babylon 51001, Iraq

Corresponding Author Email: 
israa.abbashamza1234@gmail.com
Page: 
349-355
|
DOI: 
https://doi.org/10.18280/rcma.340310
Received: 
27 January 2024
|
Revised: 
8 April 2024
|
Accepted: 
2 May 2024
|
Available online: 
22 June 2024
| Citation

© 2024 The authors. This article is published by IIETA and is licensed under the CC BY 4.0 license (http://creativecommons.org/licenses/by/4.0/).

OPEN ACCESS

Abstract: 

In this work, the casting method was utilized to prepare thin poly(vinyl alcohol) films with silver oxide (Ag2O) and zinc oxide (ZnO) nanoparticles with different percentage weights (1%, 2%, and 3%) were produced in this study. Were created Physical attributes such as X-ray diffraction (XRD) do not include structural features. The XRD measurements showed both the hexagonal crystalline structure of ZnO, the simple cubic structure of Ag2O and the amorphous structure of PVA film. UV-visible spectroscopy was used to examine the effects of ZnONPS and Ag2ONPS on PVA's optical characteristics, including absorption, transmission spectrum, absorption coefficient, extinction coefficient, and energy gap. The experimental results of the optical properties of PVA: Ag2O-ZnO nanocomposites showed that the absorption, absorption coefficient, refractive index, of dielectric constant and optical conductivity of PVA mixture increased with increasing concentrations of Ag2O and ZnONPs, while the transmittance and energy gap decrease with increasing concentration of Ag2O and ZnONPs. This work demonstrates how an increase in Ag2O and ZnONPs affects each of these variables.

Keywords: 

ZnO/Ag2O nanoparticle, thin film, UV-visible, XRD, and nanocomposite

1. Introduction

One of the critical areas of solid-state physics is the study of matter as thin films. And thin-film technology has made a great contribution to the study of semiconductors, and many of its physical and chemical properties have been identified in order to determine its use in various practical applications [1, 2]. The term thin film is used to describe one or more layers of atoms of matter, the thickness of which does not exceed one micron (1 µ) [3]. Thin-film technology has made a significant contribution to the study of semiconductors, in which interest began since the early nineteenth century [4].

Casting method was used in our research current research. A specific quantity of polymer material dissolved in an appropriate solvent, such as water, is needed to prepare a film for the casting process. To achieve a homogenous solution, the polymer solution must be placed on a horizontal rotating disc set at an appropriate temperature, slowing down the solvent evaporation rate and requiring a lengthy preparation period. and this method has been used in this study where all polymeric materials were casted in (9 cm) diameter petri dishes. Melts by gravity or another force flow into a mold during the casting process, solidifying into the mold cavity's shape. utilized a casting technique to produce PVA and ZnO nanocomposites. Zinc acetate dihydrate underwent thermal decomposition, resulting in the formation of ZnONPs with average diameters of 59, 82, and 150 nm with a hexagonal Wurtzite structure. Utilizing UV-visible absorption spectroscopy, one may ascertain the optical properties of nanocomposites. The near-band edge absorption values of all the samples were found to be about equal to the bulk value, according to the results.

Because of their many uses, Scientists and technological experts are interested in polymeric materials. It supports the development of innovative industrial, electrical, and medicinal applications due to its remarkable mechanical strength, lightweight nature, and optical qualities. The polymer matrix is an excellent foundation material for the inclusion of many nanoparticles. The structure and optical qualities of the polymer hosts are improved when a nanocomposite made of a polymer matrix forms, demonstrating excellent chemical and structural stability [5]. Metallic nanoparticles (NPs) have potential applications in a range of industrial settings due to their Distinct qualities compared to bulk metals in terms of their physical and chemical makeup (low melting point and elevated temperatures of the specific surface area, mechanical strength, unique optical properties, and specific magnetism) [6]. Abdul Nabi et.al. [7] created ZnO/polymer composites by growing ZnO nanoparticles in situ inside a poly(ethylene glycol) (PEG) matrix, resulting in stable luminescence peaks down to 465 nm (blue area). ZnO/poly(styrene–acrylic acid) diblock copolymer thin film. Because of its many uses ZnO has attracted the attention of scientists and technology experts. It supports the development of innovative industrial, medicinal, and electrical applications due to its remarkable mechanical strength, optical qualities, and lightweight nature optical qualities [7]. Zinc oxide (ZnO) has gained interest as a multifunctional inorganic nanoparticle due to its remarkable combination of its non-toxic, low-cost, long-term environmental stability, biocompatibility, and electrical, optical, physical, and biological properties [8]. Fuel cells are just one application for the well-known materials known as silver oxide (Ag2O) nanoparticles. The gadgets include biological probes for diagnostic purposes, photovoltaic cells [9], optical data storage systems, and all-optical switching devices. Using the casting process, Dhole et al. [10] produced Polystyrene (PS) thin films as fillers with different ZnONPs concentrations (1, 2, and 3 wt%). Using UV-Vis spectroscopy to analyze optical absorption spectra, the impact of ZnONPs on the optical properties of polystyrene, such as its imaginary and natural components of the dielectric constant, transmittance, absorbance, refractive index, extinction coefficient, and absorption coefficient, was examined. Chemical synthesis was used by Dhole et al. [10] to create a PANI-based nanocomposite loaded with ZnONPs. Aniline hydrochloride is combined with ammonium persulphate to act as an oxidant. The structure of the generated nanocomposite was examined using the XRD method. The XRD pattern validated the structure of the ZnONPs. UV-Vis spectra were used to study the behavior of the optical of the ZnO nanocomposite following ZnONPs doping in the matrix of polymers ZnO and PVA nanocomposites were made via a casting process, as reported by Bouropoulos et al. [11]. Using nanoparticles and the solution casting method, two different kinds of PEO-PVA-SrTiO3-NiO and PEO-PVA-SrTiO3-CoO nanocomposites were created with varying ratios of weight (0,1,2,3 and 4) wt%. PEO-PVA-SrTiO3-NiO and PEO-PVA-SrTiO3-CoO nanocomposites were tested, and the results indicated that as the concentrations of SrTiO3, NiO, and CoO NPs increased, so did the absorption, absorption coefficient, refractive index, extinction coefficient, real and imaginary parts of the dielectric constant, and optical conductivity of the PEO-PVA mixture. Concurrently, there was a reduction in both transmittance and the energy gap (permitted and prohibited).

According to Mahdi et al. [12], Zinc oxide nanoparticles (ZnONPs) with a hexagonal Wurtzite structure with an average diameter of 59, 82, and 150 nm were generated by thermal degradation of zinc acetate dihydrate. UV-visible absorption spectroscopy may be used to ascertain the optical characteristics of the nanocomposites. The findings showed that the near-band edge absorption values of the samples were in close proximity to the bulk value. Using room-temperature broadband dielectric spectroscopy, interfacial relaxation events are evaluated with respect to average particle size. Dielectric tests on the optical and structural features of the resultant PVA reveal that interfacial polarization moves to higher frequency values in all three nanocomposite films, and that its intensity decreases with decreasing average nanoparticle diameter Ag2O-ZnO content: Ag2O-ZnO nanocomposite systems were studied by means of X-ray diffraction (XRD) and UV-vis. Ultimately, the experimentally obtained UV–vis absorption spectra were utilized to calculate the optical band gap energy (Eg), which was subsequently employed to investigate the optical characteristics of the synthesized PVA: Ag2O–ZnO nanosystems. The band gap of a material, which is simply the energy difference between the valence and conduction bands, determines most of its properties, including optical transitions, electronic transitions, and intrinsic conductivity. In applied research, these material properties are crucial factors [13].

2. Experimental Work

Using a casting approach, polyvinyl alcohol (13.7 g) was dissolved in 160 mL of distilled water with a magnetic stirrer for 45 minutes at 60°C to create a more uniform solution. This resulted in films of zinc oxide, silver oxide, and polyvinyl alcohol. ZnO-Ag2O nanocomposites, zinc oxide and silver oxide nanoparticles were added to the polymer mixture to create PVA. To create PVA: ZnO-Ag2O nanocomposites, on the other hand, add zinc oxide and silver oxide in varying weight percentages (1, 2, and 3). PVA: ZnO-Ag2O polymer nanocomposites were created when the solution was dried for 24 hours at room temperature. The solution was then put into a petri dish and used for measurement. Samples with a thickness of about 100 nm ZnO-Ag2O NCs are PVA's structural and optical components.

3. Results and Discussion

3.1 Structural properties of PVA thin films

X-Ray diffraction analysis (XRD) the Ag2O: ZnO nanocomposite materials' XRD pattern for the PVA is shown in Figure 1. The observed reflection peaks are consistent with previous research [14]. The Ag2O-ZnO particle size was calculated using Debye-Sherrer's equation [15, 16], and the XRD peaks were indexed by a cubic structure as shown in (01-072-0607) from XRD:

$D=\frac{0.9~\lambda }{\beta ~\cos \theta }$

where, L is the crystal size of the particle B is the full width at half maximum (FWHM) Intensity expressed in radians and θ is the diffraction angle.

Specifically, Translational symmetry is disrupted in just one crystal direction (the surface normal of the 10 mm × 10 mm sample face), whereas the other crystal directions may maintain translational symmetry. No actual grain boundaries are visible. Additionally, only the strongest nanoparticles line (110). It was assessed because other lines in randomly oriented nanoparticles have an intensity that is more than one order of magnitude lower: the intensity of the subsequent intense (111) line is (31.061). Figure 1 (a) the PVA XRD pattern is displayed by the XRD diffraction of pure (PVA). Figure 1 (a) shows a broad, diffuse peak at approximately 2θ=19.4046. This illustrates the amorphous nature of PVA [17] and sheds light on how Ag2O: ZnO nanocomposites affect PVA's structure. In Figure 1 (b) displays the X-ray diffraction (XRD) results for pure PVA and PVA combined with Ag2O: ZnO nanocomposites. The maximum intensity diffraction peak of the pure PVA is observed at 2θ = (25.669), which corresponds to d spacing (3.467A0) and the reflection plane (110). Figure 1 (c) illustrates the presence of the usual semicrystalline structure of PVA, as demonstrated by another peak seen around 2θ = (31.061). In addition to the peaks 2θ (37.513) that correspond to the PVA polymer's reflection planes, these peaks were also found for the composite samples shown in Figure 1 (d) [18] (see Figure 1) and in line with those from the earlier report. Table 1 lists the polymer (PVA) and the concentrations at which it is combined with Ag2O: ZnO. These reflections suggest that the polymer's original structure is preserved in the Ag2O: ZnO nanocomposites [19, 20].

Table 1. Experimental XRD data for PVA films

Substrate Concentrations

(hkl)

2Ө (Deg.)

dhkl Exp (AO)

FWHM (rad)

Average FWHM (rad)

D (nm)

Average D (nm)

Sys.

Lattice Constant

No. of Card

PVA: Ag2O-ZnO 1 wt. %

(110)

25.669

3.467

0.987

0.40875

8.3

45.625

Cubic

a=b=c=4.904 α =β =γ =90

01-072-0607

(111)

31.574

2.831

0.187

46.1

(200)

36.619

2.452

0.371

23.1

(211)

45.257

2.002

0.09

105

PVA: Ag2O-ZnO 2 wt. %

(110)

21.460

3.365

0.402

0.2296

20.5

57.74

Cubic

a=b=c=4.600 α =β =γ =90

01.076-1489

(111)

31.061

2.748

0.297

28.5

(200)

35.768

2.380

0.087

105.7

(211)

45.706

1.943

0.267

33.3

(220)

49.983

1.682

0.095

100.7

PVA: Ag2O-ZnO 3 wt. %

(110)

18.210

3.467

0.138

0.13

61.9

75.433

Cubic

a=b=c=4.909

α=β =γ =90

01-072-0607

(111)

31.574

2.831

0.273

31.2

(200)

37.513

2.452

0.098

39.2

(211)

44.652

2.002

0.093

101.0

(220)

50.897

1.733

0.088

110

(221)

55.228

1.634

0.09

109.3

(a)

(b)

(c)

(d)

Figure 1. (a) X-ray diffraction of PVA thin film(pure) (b) X-ray diffraction of PVA: Ag2O-ZnO thin film for (1 wt%) (c) X-ray diffraction of PVA: Ag2O-ZnO thin film for (2 wt.%) (d) X-ray diffraction of PVA: Ag2O-ZnO thin film for (3 wt%)

3.2 PVA thin-film optical properties

The definition of absorbance is the ratio of the material's intensity of absorbed light (IA) to the incident light's intensity (I0) [20]:

$A=\frac{{{I}_{A}}}{{{I}_{0}}}$              (1)

Dividing the intensity of the rays transmitting from the film (IT) over the intensity of the incident rays on it (I0) is called transmittance (T) [21]:

$\text{T}={{\text{I}}_{\text{T}}}/{{\text{I}}_{0}}$              (2)

Based on the equation below, the coefficient of absorption (α) was determined from the optical absorption spectrum [22]:

$\alpha =2.303(\text{A}/\text{t})$              (3)

where, t is the film thickness in centimetres, and A is the absorbance.

It is possible to determine the extinction coefficient (k) [23] using the following equation:

$k=\frac{\lambda \alpha }{4\pi }$              (4)

where, the wavelength to the incident light is represented by λ, it is possible to compute the energy band gap using the equation below [24]:

$\alpha h v=B(h v-E g) x$              (5)

where, B is a constant value, ʋ is the frequency, Eg is the optical energy band gap between the conduction and valence bands, x is the power describing the transition process, and \is the absorption coefficient. In particular, x may take values 3/2, 1/2, 3, or 2 for the transitions designated as direct banned, direct allowed, indirect forbidden, and indirect allowed, respectively. To determine the band-gap value of optical energy, one way to achieve this is to plot ($\alpha hv$)1/x against $h v$, for example [25].

3.2.1 The absorbance (A)

Figure 2 shows the absorption spectra of (PVA: Ag2O-ZnO) nano-composites as a function of the wavelength of the incident light. According to the Figure 2, absorbance decreases with wavelength and is highest for all films at a wavelength that is near the fundamental absorption edge (300 nm). Typically, film absorbance is low in the visible spectrum. The following is a description of this trend: Because entering Since photons lack the energy to interact with atoms at high wavelengths, they will be transported there. The interaction between the incident photon and the substance decreases with wavelength, increases absorbance [26, 27]. Put another way, the unbound electrons absorb the incident light. As a result, as oxide silver and oxide zinc nanoparticle weight percentages grow, there is an increase in absorption, the results showed the maximum peak in the ultraviolet region is at (450 nm) for pure (PVA), but by adding concentration ratios (1%, 2% and 3%) this clear that there is Hight absorption. These findings concur with those of Neama and Najee [28].

Figure 2. Variation of the absorbance for (PVA: Ag2O-ZnO)

3.2.2 Transmittance spectra (T)

The transmittance spectra on the PVA: Ag2O-ZnO are displayed versus the incoming light's wavelength in Figure 3. In contrast to the absorbance trend, the transmittance of PVA: Ag2O-ZnO decreases when Ag2O and ZnO nanoparticle concentration rises. This suggests that the Ag2O and ZnO nanoparticles—hybrid materials—increase the absorbance of the PVA. This is because the PVA's polymer chains have spaces between them filled with nanoparticles [29]. In addition, the light incident on the samples was absorbed by the free electrons in the nanoparticles, which caused the electrons to migrate to a high energy level and occupy a free position in the energy band. This is demonstrated by the electrons crossing to a high energy level and emitting no radiation. The reduced transmittance could also be explained by the characteristics of the reflected and refracted light in the samples [30].

Figure 3. Variation of transmittance for (PVA: Ag2O-ZnO)

3.2.3 Absorption coefficient ($\alpha$)

PVA nanocomposites of Ag2O-ZnO are shown to have a wavelength-dependent absorption coefficient α (cm)-1 in Figure 4, the optical absorption coefficient ($\alpha$) for (PVA: Ag2O-ZnO) versus photon energies. The absorption coefficient increases with increasing the photon energy (hv) as well as Ag2O-ZnO concentration. It is shown that the absorption coefficient is lowest at high wavelength and low energy; this suggests that there is less chance of an electron transition since the power of the input photon is not significant enough to move an electron from the valence band to the conduction band (hv˂Eg). Because the incident photon's energy surpasses the forbidden energy gap and is sufficient to transport an electron from the valence band to the conduction band, there is a greater likelihood of electron transitions when absorption is good at high energies [31]. This illustrates how the type of electron transition can be inferred from the absorption coefficient: direct transitions, in which photons and electrons maintain their momentum and energy, are expected to happen at high energies when the absorption coefficient is significant ($\alpha$ >104) cm-1. When the absorption coefficient values are low ($\alpha$ <104) cm-1 at low energies, an indirect electron transition is anticipated to occur, and the phonon will help to sustain the electronic momentum [32]. Another discovery is that the absorbance coefficient for the (PVA: Ag2O-ZnO) nanocomposites is less than (104) cm-1, which explains the indirect nature of the electron transitions.

Figure 4. Variation of absorption coefficient for (PVA: Ag2O-ZnO)

3.2.4 Extinction coefficient (ko)

Figure 5 displays the extinction coefficient change of (PVA: Ag2O-ZnO) nanocomposites as a function of wavelength. It is evident that at low concentrations, (ko) is decreasing, but as the concentration of (Ag2O and ZnO) nanoparticles grows, it increases. This is explained by an increase in the absorption coefficient as the fraction of (Ag2O, ZnO) nanoparticles increases. This finding suggests that the host polymer's structure would be altered by the (Ag2O, ZnO) nanoparticle atoms, The longest wavelengths exhibit the most significant levels of extinction [33].

Figure 5. Variation of the extinction coefficient for (PVA: Ag2O-ZnO)

3.2.5 Optical energy gaps

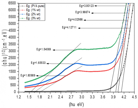
As seen in Figure 6, A straight line is drawn from the top of the curve and extended towards the (x) axis at ($\alpha$hv) to determine the energy gap of the permitted direct transition. 1/ 2 is equal to 0. This illustrates how photon energy affects the edge absorption ($\alpha$hv)1/2 of (PVA: Ag2O-ZnO) nanocomposites [34]. The observed decrease in energy gap values with an increase in the weight % of nanoparticles can be attributed to the creation of local levels in the prohibited energy gap [35]. In this instance, the transition occurs in two stages, with the electron moving from the valence band to the local levels to the conduction band due to increasing the weight ratio of nanoparticles [36].

Figure 6. Variation of ($\alpha$hv)1⁄2of (PVA: Ag2O- ZnO)

4. Conclusion

Were synthesized PVA: Ag2O-ZnO films by solvent cast technique. The following conclusions were made in light of the study's findings:

It was discovered that the absorbance of the membranes rose as the quantities of Ag2ONps and ZnONPs increased the best transmittance and absorption were observed at concentrations of 3% and 3%, respectively. As the concentrations grew, so did the absorption coefficient, which peaked at a ratio of 3%. The optical energy gap of the pure (PVA) film is 4.12711 eV, and it is just for direct transitions. This value decreases with increasing concentration ratios and reaches 3.80123 eV at a concentration ratio of 3%. According to the XRD analysis, the peaks for ZnONPs and Ag2ONPs either disappear or form the nanocomposite when these compounds are added to the system. Moreover, the fluctuations seen in the XRD spectrum suggest that NPS played a role in the microstructure disparity inside the polymer.

  References

[1] Chopra, K.L. (1969). Thin films phenomena. McGraw-Hill, New York.

[2] Smith, R.A. (1987). Semiconductors. 2nd.ed, Cambridge University Press, London.

[3] Lever, K.D. (1972). Thin Films, London.

[4] Ali, S.M. (1996). Theoretical study for the Heterojunction (n-amorphous/p crystalline Silicon). Ph.D. dissertation, College of Science, Al-Mustansiriya University, Baghdad, Iraq.

[5] Kadham, A.J., Hassan, D., Mohammad, N., Ah-yasari, A.H. (2018). Fabrication of (polymer blend-magnesium oxide) nanoparticle and studying their optical properties for optoelectronic applications. Bulletin of Electrical Engineering and Informatics, 7(1): 28-34. https://doi.org/10.11591/eei.v7i1.839

[6] Kasım, H. (2019). Electrical properties of graphene/natural rubber nanocomposites coated nylon 6.6 fabric under cyclic loading. Periodica Polytechnica Chemical Engineering, 63(1): 160-169. https://doi.org/10.3311/PPch.12122

[7] Abdul Nabi, M., Yusop, R.M., Yousif, E., Abdullah, B.M., Salimon, J., Salih, N., Zubairi, S. I. (2014). Effect of nano ZnO on the optical properties of poly (vinyl chloride) films. International Journal of Polymer Science, 2014: 697809. https://doi.org/10.1155/2014/697809

[8] Kumar, A., Malathi, S., Mythili, C., Jeyachandran, M. (2018). Structural, morphological and optical properties of zinc oxide nanoparticles by polymer capping. International Journal of ChemTech Research, 11: 48-57.

[9] Sangawar, V., Golchha, M. (2013). Evolution of the optical properties of polystyrene thin films filled with zinc oxide nanoparticles. International Journal of Scientific & Engineering Research, 4(6): 2700-2705.

[10] Dhole, S.G., Dake, S.A., Prajapati, T.A., Helambe, S.N. (2018). Effect of ZnO filler on structural and optical properties of polyaniline-ZnO nanocomposites. Procedia Manufacturing, 20: 127-134. https://doi.org/10.1016/j.promfg.2018.02.018

[11] Bouropoulos, N., Psarras, G.C., Moustakas, N., Chrissanthopoulos, A., Baskoutas, S. (2008). Optical and dielectric properties of ZnO-PVA nanocomposites. Physica Status Solidi (a), 205(8): 2033-2037. https://doi.org/10.1002/pssa.200778863

[12] Mahdi, S.M., Habeeb, M.A. (2022). Synthesis and augmented optical characteristics of PEO–PVA–SrTiO3–NiO hybrid nanocomposites for optoelectronics and antibacterial applications. Opt Quant Electron, 54: 854. https://doi.org/10.1007/s11082-022-04267-6.

[13] Rahchamani, S.Z., Dizaji, H.R., Ehsani, M.H. (2015). Study of structural and optical properties of ZnS zigzag nanostructured thin films. Applied Surface Science, 356: 1096-1104. https://doi.org/10.1016/j.apsusc.2015.08.224

[14] Mohammed, N.J., Rasheed, Z.S., Hassan, A.S. (2019). Improvement optical properties of PVA/TiO2 and PVA/ZnO nanocomposites. Al-Mustansiriyah Journal of Science, 29(3): 118-123.

[15] Islam, M.A., Hossain, M.S., Aliyu, M.M., Chelvanathan, P., Huda, Q., Karim, M.R., Amin, N. (2013). Comparison of structural and optical properties of CdS thin films grown by CSVT, CBD and sputtering techniques. Energy Procedia, 33: 203-213. https://doi.org/10.1016/j.egypro.2013.05.059

[16] Rajendra, B.V., Bhat, V., Kekuda, D. (2014). Optical properties of zinc oxide (ZnO) thin films prepared by spray pyrolysis method. Advanced Materials Research, 895: 226-230. https://doi.org/10.4028/www.scientific.net/AMR.895.226

[17] Roy, A.S., Gupta, S., Sindhu, S., Parveen, A., Ramamurthy, P.C. (2013). Dielectric properties of novel PVA/ZnO hybrid nanocomposite films. Composites Part B: Engineering, 47: 314-319. https://doi.org/10.1016/j.compositesb.2012.10.029

[18] Abdel-Galil, A., Ali, H.E., Balboul, M.R. (2015). Nano-ZnO doping induced changes in structure, mechanical and optical properties of PVA films. Arab Journal of Nuclear Science and Applications, 48(2): 77-89.

[19] Rahchamani, S.Z., Dizaji, H.R., Ehsani, M.H. (2015). Study of structural and optical properties of ZnS zigzag nanostructured thin films. Applied Surface Science, 356: 1096-1104. https://doi.org/10.1016/j.apsusc.2015.08.224

[20] Al-Attiyah, K.H., Hashim, A., Obaid, S.F. (2019). Fabrication of novel (carboxy methyl cellulose–polyvinylpyrrolidone–polyvinyl alcohol)/lead oxide nanoparticles: structural and optical properties for gamma rays shielding applications. International Journal of Plastics Technology, 23: 39-45. https://doi.org/10.1007/s12588-019-09228-5

[21] Rahchamani, S.Z., Dizaji, H.R., Ehsani, M.H. (2015). Study of structural and optical properties of ZnS zigzag nanostructured thin films. Applied Surface Science, 356: 1096-1104. https://doi.org/10.15407/UJPE62.12.1044

[22] Hadi, A., Hashim, A. (2017). Development of a new humidity sensor based on (carboxymethyl cellulose–starch) blend with copper oxide nanoparticles. Ukrainian Journal of Physics, 62(12): 1044-1049. https://doi.org/10.15407/UJPE62.12.1044

[23] Hashim, A., Hadi, A. (2017). Novel lead oxide polymer nanocomposites for nuclear radiation shielding applications. Ukrainian Journal of Physics, 62(11): 978-978. https://doi.org/10.15407/ujpe62.11.0978

[24] Agool, I.R., Kadhim, K.J., Hashim, A. (2017). Fabrication of new nanocomposites:(PVA-PEG-PVP) blend-zirconium oxide nanoparticles) for humidity sensors. International Journal of Plastics Technology, 21: 397-403. https://doi.org/10.1007/s12588-017-9192-5

[25] Al-Kadhemy, M.F.H., Rasheed, Z.S. (2013). Effect of Doping Ratio on optical properties of coumarin doped polystyrene films. International Journal of Application or Innovation in Engineering & Management, 2(8): 2319-4847.

[26] AL-humairi, M.H. (2013). Study the optical and electrical properties of (PVA-Ag) and (PVA-TiO2) Nanocomposites. Ph.D. dissertation, University of Babylon, College of Education for Pure Sciences, Baghdad, Iraq.

[27] Pervaiz, S., Kanwal, N., Hussain, S.A., Saleem, M., Khan, I.A. (2021). Study of structural, optical and dielectric properties of ZnO/PVDF-based flexible sheets. Journal of Polymer Research, 28: 1-13. https://doi.org/10.1007/s10965-021-02640-9

[28] Kan, C., Wang, C., Zhu, J., Li, H. (2010). Formation of gold and silver nanostructures within polyvinylpyrollidone (PVP) gel. Journal of Solid State Chemistry, 183(4): 858-865. https://doi.org/10.1016/j.jssc.2010.01.021

[29] Neama, H., Najee, A.L.N. (2014). The effect of ferrous chloride (FeCl2) on some optical properties of polystyrene. Academic research International, Iraq, 5(2): 161-166.

[30] Uddin, M.J., Chaudhuri, B., Pramanik, K., Middya, T.R., Chaudhuri, B. (2012). Black tea leaf extract derived Ag nanoparticle-PVA composite film: structural and dielectric properties. Materials Science and Engineering: B, 177(20): 1741-1747. https://doi.org/10.1016/j.mseb.2012.09.001.

[31] Abdali, K. (2022). Structural, morphological, and gamma ray shielding (GRS) characterization of HVCMC/PVP/PEG polymer blend encapsulated with silicon dioxide nanoparticles. Silicon, 14(14): 9111-9116. https://doi.org/10.1007/s12633-022-01678-8

[32] Uddin, M.J., Chaudhuri, B., Pramanik, K., Middya, T.R., Chaudhuri, B. (2012). Black tea leaf extract derived Ag nanoparticle-PVA composite film: structural and dielectric properties. Materials Science and Engineering: B, 177(20): 1741-1747. https://doi.org/10.1016/j.mseb.2012.09.001

[33] Streetman, B.G., Banerjee, S. (2006). Solid state electronic devices. Upper Saddle River, NJ: Pearson/Prentice Hall.

[34] Azarsa, P., Gupta, R. (2017). Electrical resistivity of concrete for durability evaluation: A review. Advances in Materials Science and Engineering, 2017: 8453095. https://doi.org/10.1155/2017/8453095

[35] Asogwa, P.U. (2011). Band gap shift and optical characterization of PVA-capped PbO thin films: effect of thermal annealing. Chalcogenide Letters, 8(3): 163-170.

[36] Kanchana, S.K., Vanitha, N., Basavaraj, R.B., Madivalappa, S. (2023). Structural and optical properties of polyvinyl alcohol/copper oxide (PVA/CuO) nanocomposites. Solid State Communications, 370: 115221. https://doi.org/10.1016/j.ssc.2023.115221