© 2025 The authors. This article is published by IIETA and is licensed under the CC BY 4.0 license (http://creativecommons.org/licenses/by/4.0/).
OPEN ACCESS
The search for environmentally suitable substitutes for traditional concrete ingredients has been driven by the growing demand for sustainable building materials. The potential of biopolymers—natural macromolecules made from renewable resources—to improve the durability and mechanical qualities of concrete while reducing its environmental effect is being investigated more and more. The purpose of this work is to provide an extensive bibliometric assessment of international research on the use of biopolymers in concrete, emphasizing how they affect durability, strength, and permeability. Data taken from the Scopus database and analyzed with the visualization of similarities (VOS) viewer were used in a bibliometric analysis. Co-authorship networks, publishing trends, keyword co-occurrence, and citation patterns were all examined. Findings show that research activity has increased significantly over the past 10 years, with biopolymers such as alginate, black gram pulse powder, cellulose, chitosan, Gracilaria sp., Moringa oleifera and honey (GMH) blend, Gum Arabic powder, and starch receiving particular attention. Emerging themes and unexplored areas are also highlighted in the review, especially the necessity of systematic performance evaluations and long-term durability research. This analysis concludes by summarizing the state of the field, highlighting the contribution of biopolymers to the development of sustainable concrete, and outlining important avenues for further research.
biopolymers, concrete, mechanical properties, durability, sustainable construction
1.1 Background
The United Nations' Sustainable Development Goals (SDGs) offer a universal framework for tackling urgent global issues, with Goals 9 and 11 being especially pertinent to contemporary civil engineering and urban development. Goal 9 underscores the necessity for robust infrastructure, sustainable industrial advancement, and innovation, which are essential for economic development and public welfare. Goal 11 aims to convert urban areas into inclusive, secure, resilient, and sustainable settings, tackling the issues of growing urbanization and the necessity for strategic development. Collectively, these objectives advocate for interdisciplinary methodologies, blending intelligent technologies, policy formulation, and community involvement to establish sustainable and habitable cities for future generations [1]. In this perspective, reducing the utilization of chemical admixtures in building aligns with SDG 12 Responsible Consumption and Production. This can be accomplished by employing alternative resources, refining mix designs, and implementing innovative green chemistry solutions, as depicted in Figure 1.
Thus as an eco-friendly alternative to chemical admixtures, biopolymers in concrete are being explored. By removing synthetic construction chemicals and their impact on the environment, biopolymer-based solutions support resilient infrastructure and sustainable urban growth. Integrating biopolymers into concrete technology improves technical performance and helps global sustainability goals.
Hence, in recent years, efforts to develop more environmentally friendly and durable concrete have intensified, leading to the exploration of various alternative additives and admixtures. Among these, biopolymers—naturally derived macromolecules—have garnered considerable attention for their potential to enhance concrete performance while supporting SDGs [2]. Biopolymers such as Alginate, black gram pulse powder, cellulose, chitosan, GMH blend, Gum Arabic powder and Starch are derived from renewable resources and possess unique physicochemical properties that influence hydration kinetics, rheology, porosity, and bonding characteristics in cementitious systems. When incorporated into concrete mixtures, these biopolymers can significantly improve mechanical properties, such as compressive, tensile, and flexural strength, and they also contribute to enhanced durability by reducing permeability, shrinkage, and chemical attack [3-5].
Figure 1. Biopolymer-based sustainable concrete [6]
Despite the growing interest in the use of biopolymers in concrete, research in this area remains scattered across multiple disciplines, with varying focus areas such as materials science, civil engineering, and environmental technology. To effectively map the research landscape, identify trends, knowledge gaps, and future directions, a bibliometric review offers a structured and quantitative approach. Bibliometric analysis enables the evaluation of scientific publications based on publishing patterns, co-authorship network, keywords co-occurrence network diagram, citation network, etc., thus providing insights into the development and trajectory of this emerging field.
1.2 Literature review
Various types of biopolymers have been explored for their potential to enhance the performance of concrete, each exhibiting unique chemical structures and functional properties that influence their interaction with cementitious matrices [7]. Commonly studied biopolymers include Alginate, black gram pulse powder, cellulose, chitosan, GMH blend (Gracilaria sp., Moringa oleifera, and honey), Gum Arabic powder, and Starch, among others. These materials are typically derived from natural sources such as plants, microbes, or agricultural waste, making them attractive for sustainable construction [8]. The methods of incorporation into concrete vary depending on the type and desired effect. Some biopolymers are directly added as powders or aqueous solutions during mixing, while others are pre-treated or modified to improve dispersion and reactivity.
Types of biopolymers used in concrete:
• Powder Biopolymers:
Chitin, chitosan, starch, xanthan gum, guar gum and other plant-based polymers can be added to the cement and water mixture.
• Liquid Biopolymers:
Certain biopolymers, like alginate, can be used as liquid admixtures.
• Biopolymer Fibers:
Certain biopolymers, like cellulose and banana fibers, can be added to concrete to act as reinforcing agents, enhancing flexural strength and durability.
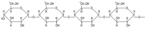
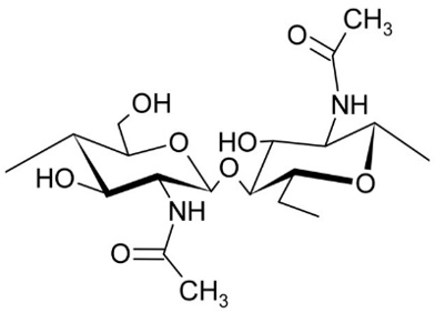
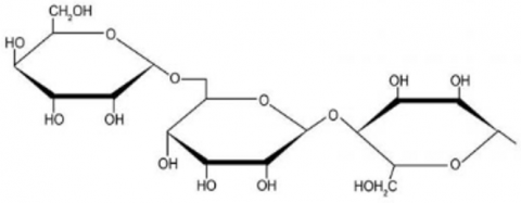
Figure 2. Biopolymers under study (a) to (h) and chemical structure of respective biopolymers (i) to (p) [8-15]
The impact of biopolymers on concrete performance is mostly determined by their chemical structure. Calcium-silicate-hydrate (C-S-H) gel formation and hydration kinetics are altered by interactions between cement hydration products, specifically calcium ions, and functional groups like hydroxyl, carboxyl, and amine found in biopolymers. While chemical changes like carboxymethylation improve water solubility and cement compatibility, high molecular weight and chain length help to increase viscosity, improve workability, and decrease bleeding. The level of hydrophilicity helps retain water, which is essential for reducing shrinkage and improving cure in arid environments. Furthermore, the concrete's endurance and mechanical qualities are influenced by the polymer's morphology, whether it be crosslinked, branching, or linear. Despite being environmentally benign and biodegradable, biopolymers' long-term stability inside the concrete matrix must be taken into account for structural applications [8].
A few types of biopolymers which are commonly studied are shown below with their chemical structure in Figure 2.
Methods of Incorporation of biopolymers in concrete:
Currently, the use of biopolymers in concrete for engineering purposes shows significant potential for promoting sustainable construction practices. Several researchers have explored the application of various biopolymers in concrete through their published studies. The urgent need for sustainable construction materials has led to a growing interest in biopolymers as environmentally friendly alternatives in concrete technology [16]. Research has shown that biopolymer-based materials, such as xanthan gum, guar gum, Gum Arabic, and various starches, can significantly enhance the mechanical, durability, and rheological properties of cementitious composites [14, 17]. Injection grouting using xanthan gum has demonstrated potential for controlling seepage and groundwater by reducing hydraulic conductivity in soil media [18] Similarly, biopolymer-based viscosity-modifying admixtures (BVMAs) have improved rheology and compressive strength in cement pastes when combined with superplasticizers, highlighting their application in advanced concrete formulations [8]. Studies have explored the utilization of starch as a sustainable binder, notably in the development of StarCrete for extraterrestrial construction, achieving compressive strengths superior to traditional concrete [19]. Bio-polymer-modified concretes incorporating natural sources like Gracilaria sp., Moringa oleifera, and honey have shown excellent retrofitting performance in marine environments, improving compressive strength and durability [13]. Additionally, biopolymers such as guar gum, sodium alginate, and Kathira have been found to reduce shrinkage and enhance scouring resistance in concrete [20]. The combination of xanthan gum and cassava starch has produced bio-admixtures that decrease porosity and improve bonding properties in mortar matrices [21]. Research on cassava and maize starch admixtures has revealed enhancements in strength, sorptivity, and oxygen permeability over long-term curing periods [22]. Biocomposites utilizing biopolymers, cement, and geopolymers promote circular economy principles by reducing the building industry's environmental impact [23]. Bibliometric analyses reflect a global surge in biopolymer research in construction, with significant contributions from countries such as China, India, and the United Kingdom [24]. Additionally, efforts to produce biodegradable plastics from potato starch and the reuse of industrial waste materials like waste glass, marble powder, and food waste ashes further illustrate the drive towards sustainability [25].
Despite several studies examining the influence of biopolymers such as alginate, cellulose, chitosan, and starch on concrete characteristics, the current literature is fragmented and predominantly experimental. The majority of studies are confined to small-scale laboratory experiments, characterized by variable testing methodologies and an absence of long-term durability evaluations. Moreover, comparative analyses among various classes of biopolymers are limited, and there is less agreement on standardized mix design methodologies or performance criteria. Significantly, bibliometric analyses of this study topic are nearly nonexistent, hindering the identification of overall trends, essential publications, or emerging themes. This review employs a systematic bibliometric analysis to address existing gaps by mapping global research activity, identifying prominent contributors, and emphasizing underexplored areas, particularly the necessity for long-term performance evaluation and scalable applications of biopolymer-modified concrete.
This review uses a technique that combines bibliometric and qualitative methodologies to provide a thorough evaluation of research on biopolymer-modified concrete. A bibliometric search was conducted utilizing the Scopus database with the search term ("Biopolymer" AND "Concrete") OR ("Biopolymer" AND "Cement"), resulting in an initial output of 194 documents. Considering that all retrieved documents pertained to the investigation, the entire dataset was utilized for bibliometric analysis.
Bibliometric mapping and visualization were performed utilizing VOSviewer (version 1.6.20). The investigation utilized a minimum citation threshold of 5, used a full counting approach, implemented a modularity-based clustering algorithm, and applied association strength normalization. These parameter configurations enabled a thorough and transparent representation of the research landscape. A scientometric analysis was conducted to extract and assess metadata, including author contributions, keywords, country affiliations, and publishing trends, resulting in outputs such as co-authorship networks, keyword co-occurrence maps, and citation networks. The qualitative analysis included selection criteria that emphasized studies outlining the types and impacts of biopolymers, as well as offering comparative insights into enhancements in mechanical properties and durability. Figure 3 presents the adopted methodological framework, which illustrates the sequence of bibliometric search, scientometric analysis, qualitative assessment, and synthesis.
Figure 3. Flowchart of the adopted review methodology
For the bibliometric analysis, the authors selected the keywords “biopolymer,” “concrete,” and “cement,” to specifically focus on the role of biopolymers as admixtures in concrete and their influence on key performance properties. The search was conducted for documents published in the last few years. A total of 194 documents met the initial restrictions. A further filtering step was carried out by reading the abstracts of the selected articles. The authors considered the following topics: (1) evaluation of biopolymer properties as concrete admixtures; (2) enhancement of concrete properties with biopolymers, including compressive strength; and (3) development of new biopolymer-based materials for concrete. Finally, 194 articles met all the restrictions. It is recommended to generate maps with at least 100 items to ensure the reliability of the analysis. Bibliometric analysis serves as a valuable tool for gaining a comprehensive understanding of the research trends, influential publications, and key contributors in the field of biopolymer-modified concrete. By quantitatively analyzing the existing literature, this method helps identify research gaps, collaboration networks, and the evolution of scientific interest over time, thereby providing strategic insights for future investigations into the impact of biopolymers on concrete properties. The publication trend from 1970 to 2021 (Figure 4) shows a significant rise in research interest, especially after 2010, with a sharp increase in the number of publications in recent years.
Figure 4. Annual trend of biopolymer cement composites- related publications
Table 1. Year wise number of publications on the use of biopolymers in concrete
|
Year |
No. of Publications |
|
1966 |
1 |
|
1976 |
1 |
|
1992 |
4 |
|
1993 |
1 |
|
1997 |
3 |
|
1998 |
2 |
|
1999 |
1 |
|
2002 |
2 |
|
2004 |
2 |
|
2005 |
2 |
|
2006 |
4 |
|
2007 |
1 |
|
2008 |
1 |
|
2009 |
3 |
|
2010 |
5 |
|
2011 |
4 |
|
2012 |
2 |
|
2013 |
8 |
|
2014 |
7 |
|
2016 |
13 |
|
2017 |
13 |
|
2018 |
11 |
|
2019 |
8 |
|
2020 |
13 |
|
2021 |
20 |
|
2022 |
14 |
|
2023 |
18 |
|
2024 |
29 |
The year-wise publication data related to the use of biopolymers in concrete (Table 1) shows a gradual increase from the 1960s, with a notable surge after 2010. A significant rise is observed from 2016 onward, peaking in 2024 with 29 publications, indicating growing research interest in this field.
Table 2. Statistical analysis of journal in the Biopolymer cement composite research
|
Journal Source |
No. of Articles |
Citations Total |
Total Link Strength |
Average Citations |
Average Normalized Citations |
|
Renewable and Sustainable Energy Reviews |
1 |
306 |
17.49 |
306 |
1 |
|
Bioresource Technology |
2 |
271 |
16.46 |
135.5 |
0.886 |
|
Construction and Building Materials |
9 |
238 |
15.43 |
26.44 |
0.778 |
|
Ecological Engineering |
1 |
235 |
15.33 |
235 |
0.768 |
|
Applied Microbiology and Biotechnology |
1 |
234 |
15.3 |
234 |
0.765 |
|
Marine Chemistry |
1 |
219 |
14.8 |
219 |
0.716 |
|
Materials Science and Engineering: R: Reports |
1 |
169 |
13 |
169 |
0.552 |
|
Biopolymers and Biotech Admixtures for Eco-Efficient Construction Materials |
5 |
155 |
12.45 |
31 |
0.507 |
|
Waste Management |
2 |
136 |
11.66 |
68 |
0.444 |
|
Polymers for Advanced Technologies |
2 |
132 |
11.49 |
66 |
0.431 |
As shown in Table 2, the majority of impactful publications on biopolymers in concrete have appeared in journals such as Renewable and Sustainable Energy Reviews (306 citations) and Bioresource Technology (271 citations). Construction and Building Materials had the highest number of articles (9), with a total of 238 citations. This indicates both the volume and the influence of key journals contributing to this research domain. Figure 5 shows the journal wise citation data.
Figure 5. Journal wise citation data
Figure 6 visualizes the co-authorship network in biopolymer-based concrete research. Each node represents an author, with the size of the node corresponding to the number of publications. Links between nodes indicate co-authorship relationships. Three main clusters are identified, showing groups of researchers who frequently collaborate. The network highlights the major research groups and collaboration patterns within this field.
Figure 6. Co-authorship network diagram
Figure 7 shows the keyword co-occurrence network in biopolymer-based concrete research using VOSviewer. Node size reflects keyword frequency, and links represent thematic relationships. Three main clusters emerge: the red cluster highlights “concrete,” “durability,” and “compressive strength,” focusing on material performance and longevity; the green cluster emphasizes “biopolymers,” “biomolecules,” and “mechanical properties,” showcasing bio-based materials for strength and sustainability; and the blue cluster centers on “concrete mixtures” and “cement,” relating to mix design and optimization. This mapping outlines key research directions and interconnections in biopolymer-concrete studies.
Figure 7. Co-occurrence of keywords network diagram
The citation network maps the intellectual structure of biopolymer-based concrete research. Node size represents citation frequency, while directed edges indicate citation relationships. The network reveals citation pathways and the major contributions shaping the field. Figure 8 shows the citation network for documents created using VOSviewer.
Figure 8. Citation network for documents
The citation network illustrates the intellectual structure of the authors contributing to biopolymer-based concrete research depicts in Figure 9. Node size corresponds to citation frequency, while directed edges depict citation relationships among authors. The network highlights the progression of ideas and the major citation pathways that have shaped the field's evolution.
Figure 9. Citation network for authors
The citation network visualizes the structural development of biopolymer-based concrete research. Node size is proportional to citation frequency, and directed edges represent citation relationships. The network (Figure 10) indicates a multi-centered, evolving knowledge structure with strong interdisciplinary links.
Figure 10. Bibliometric coupling network for documents
The co-citation network of cited references delineates the intellectual structure of biopolymer-based concrete research shown in Figure 11. The network exhibits dense intra-cluster and inter-cluster linkages, indicating both specialization and interdisciplinary cross-pollination. Additionally, the strong citation persistence of early seminal works alongside the emergence of recent studies suggests a balance between foundational continuity and thematic evolution within the field.
Figure 11. Co-citation network diagram for cited reference
The co-citation network of cited authors delineates key intellectual domains underpinning biopolymer-based concrete research shown in Figure 12. The clustering reveals three primary scholarly concentrations: (1) sustainability and life-cycle performance frameworks; (2) biopolymer modification and mechanical enhancement; and (3) bio-cementation and soil stabilization techniques. Strong intra-cluster co-citation patterns and limited but strategic inter-cluster linkages indicate thematic consolidation within distinct research frontiers. The network topology reflects both specialization and the progressive cross-linking of foundational concepts across subfields.
Figure 12. Co-citation network diagram for cited authors
This section presents a comparative analysis of the effects of different biopolymers when added to concrete mixtures, focusing on key performance indicators such as workability compressive strength, permeability, and durability.
4.1 Workability of concrete
A significant feature of concrete is workability, which directly affects durability, mixing, and placement. Biopolymers influence workability primarily through water retention and rheology. For instance, alginate, particularly from damp marine algae, increases workability and achieves optimal slump at 0.4% dosage, although higher amounts may reduce workability in self-consolidating concrete [26]. In contrast, chitosan reduces slump by increasing viscosity and water demand [27], However, cellulose nanofibers (CNFs), which need to be properly dispersed, can marginally reduce workability because of their increased surface area and water absorption [28]. Tamarind kernel powder (TKP) up to 1% preserves compaction and mobility without adverse effects [29]. Starch also enhances flow through lubricating and water retention effects, with wheat starch (0.4%) and potato starch (0.3%) showing the most improvement, whereas cornstarch is less effective at higher dosages due to lump formation [7, 8, 30]. Lignin-based admixtures can improve concrete workability, albeit their effects are contingent upon their composition. Pure lignin enhances the flexibility of the mixture; however, it diminishes the overall strength of the concrete. In contrast, silica–lignin composites enhance fluidity effectively. Research indicates that a precise 1:5 ratio of silica (SiO)2 to lignin provides optimal balance, resulting in a spread of 20.5 cm during testing [31]. Overall, lignin-based admixtures, TKP, alginate, and starch improve workability, whereas chitosan and CNFs decrease it, highlighting the importance of appropriate combinations and dosages to optimize rheological properties.
4.2 Compressive strength of concrete
Concrete's compressive strength is a crucial performance metric, and biopolymers influence it by altering bonding, hydration, and pore structure. For example, alginate enhances Strength can reach an ideal dosage of 8% (approximately a 20% gain), but it may decrease at higher amounts because of increased porosity [26]. In the same way, CNFs in ultra-high-performance concrete (UHPC) maintain high strength (127.21 MPa) by making the material denser instead Chitosan improves compressive strength by refining the matrix and enhancing bonding [28]. Starches, such as cassava and maize, at dosages of 0.5–1.0% increased strength by about 3.8% after a year, with wheat starch providing the greatest benefit [22]. GMH mixes achieve up to 92% strength gain through strong binding and hydration retention [13], while TKP combined with waste glass powder (0.6%) improves strength by refining microstructure and filling voids [20]. In hemp concrete, Gum Arabic (3–5%) enhances binder cohesiveness and increases compressive strength by 25–60%, and smaller dosages of Gum Arabic (0.75%) and guar gum (0.5%) also optimize strength alongside workability [14, 32]. Figure 13 shows that GMH biopolymer exhibits the highest improvement in compressive strength, followed by Gum Arabic, CNF, and TKP with glass powder, while cassava and maize starch show only marginal improvement. Overall, although excessive dosages may reduce performance, biopolymers generally enhance compressive strength by reducing porosity and densifying the matrix.
Figure 13. Compressive strength improvement of concrete with different biopolymers
4.3 Tensile strength of concrete
Concrete's low tensile strength restricts crack resistance, making the role of biopolymers in enhancing this property particularly important. Chitosan reduced micro-cracking and enhanced fiber–matrix adhesion [28, 33], and when combined with steel fibers, tensile strength gains reached 58.3% at 7 days and 54.5% at 28 days [32]. Among them, CNFs significantly improved tensile behavior, with aligned fibers achieving strain-hardening and a strength of about 10.77 MPa compared to 6.17 MPa for poorly aligned fibers [27], while cellulose nanocrystals (0.05%) further increased splitting tensile strength by 29.5%, 23.0%, and 35.8% at 1, 7, and 28 days, respectively [34]. Similarly, banana-based additives showed positive effects, with banana fibers improving fracture resistance by about 12% at 1% dosage and banana peel and skin powders raising tensile strength by 52.5% [35]. Gum Arabic also contributed improvements, increasing tensile and flexural strength by about 7% when added at 0.7% dosage [36]. Figure 14 illustrates the enhancement in tensile strength of the concrete achieved through the incorporation of various biopolymers. Overall, by enhancing matrix cohesion, fiber bonding, and crack resistance, these biopolymers - CNFs, chitosan, banana derivatives, and Gum Arabic—demonstrate their effectiveness in improving tensile performance, with fiber orientation and optimum dosage emerging as critical influencing factors.
Figure 14. Tensile strength improvement of concrete with different biopolymers
4.4 Permeability of concrete
Permeability, which controls the ingress of water and harmful ions, strongly influences the durability of concrete. Biopolymers play a crucial role in enhancing durability by limiting microcracks and refining the pore structure, thereby reducing permeability. For instance, CNFs at 0.15% improved flexural strength, promoted self-healing, and enhanced resistance to chloride and water penetration in UHPC [28]. Similarly, a combination of caragana nanofiber (CKF) and chitosan, at an optimum ratio of 0.2 g CKFs per 2 g chitosan, effectively reduced permeability and increased underwater strength [17]. In hemp-lime composites, Gum Arabic decreased water absorptivity by 6.6% and 10.4% at 3% and 5% dosages, respectively [14], while an ideal 0.9% dosage of Gum Arabic reduced concrete permeability by 16% [36]. Overall, CNFs, chitosan, and Gum Arabic have been shown to enhance concrete durability by lowering permeability; however, careful optimization of biopolymer dosage is essential to achieve the best performance.
4.5 Durability of concrete
Biopolymers enhance concrete durability—a key aspect of sustainable construction—through mechanisms such as pore refinement, water retention, and film formation. Calcium alginate complexes effectively reduce carbonation depth, water absorption, and chloride ion transport in concrete. [26], while cellulose nanofibers (CNFs) limit chloride infiltration and promote crack self-sealing, achieving up to 100% initial crack sealing (ICS) [27]. Chitosan improves matrix density, thereby lowering permeability and water absorption [28]. Starches from cassava and maize (0.5–1.0%) decrease sorptivity and oxygen permeability, with 1.0% cassava starch yielding the best long-term performance [24]. Biopolymers such as guar gum, xanthan gum (0.2–0.5%), and TKP (0.6%) effectively reduce permeability and improve sulfate resistance, while the GMH biopolymer enhances resilience against tidal flooding and repeated wetting-drying cycles [13, 20]. Overall, alginate, CNFs, chitosan, starches, and various gums collectively improve concrete durability by limiting water and ion ingress and enhancing resistance to chemical and environmental degradation. Figure 15 shows the estimated improvements in concrete durability when different biopolymers are used.
Figure 15. Improvement in durability with different biopolymers
4.6 Other properties and summary of effect of biopolymers on properties of concrete
The study demonstrated that incorporating biopolymers into concrete increased its density and reduced porosity, leading to a significant decrease in water absorption. The incorporation of Xanthan gum powder at values between 0.1% and 0.5% indicates that an increase in xanthan gum results in a decrease in water absorption [5]. The crosslinking characteristics of xanthan gum and guar gum (in conjunction with boric acid) inside the mortar matrix enhance the compressive strength of the mortar by up to 30% and reduce the cumulative leaching of heavy metals to below 0.001 mg/L [16].
The gel-like structure of starch likely immobilizes toxic ions, reducing their mobility. Overall, starch not only enhanced concrete durability by refining pores and lowering water absorption but also promoted environmental safety by minimizing the release of hazardous leachates.
Table 3 consolidates study data on several biopolymers—including cellulose nanofibers, chitosan, gum Arabic, alginate, and starch—and their impact on concrete performance. Each biopolymer has unique advantages: increased strength, diminished permeability, and enhanced durability. Optimal doses differ among investigations, significantly influencing fracture resistance, microstructural densification, and decreased chloride or water infiltration, so highlighting the potential of biopolymers in sustainable concrete advancement.
Table 3. Summary of biopolymer types, dosages, and their effects on the mechanical and durability properties of concrete
|
Biopolymer |
Dosage |
Mechanical Properties |
Durability Properties |
Other Observations |
Reference |
|
Cellulose Nanofibers (CNFs) |
0.15% |
↑ Tensile & flexural strength |
↓ Chloride penetration, ↑ self-healing |
Improved crack resistance |
[27, 28] |
|
Chitosan |
0.2 g per 2 g cement |
↑ Compressive & flexural strength |
↓ Permeability, ↓ water absorption |
Dense microstructure |
[17, 28] |
|
Gum Arabic |
3–5% |
Slight ↑ compressive strength |
↓ Water absorptivity |
Best at 5% dosage |
[14] |
|
Alginate |
1–2% |
Moderate ↑ strength |
↓ Carbonation depth, ↓ water absorption, ↓ chloride transport |
Calcium alginate complexes enhance durability |
[26] |
|
Cassava/Maize Starch |
0.5–1% |
Slight ↑ strength |
↓ Sorptivity, ↓ oxygen permeability |
Best results with 1% cassava starch |
[24] |
|
Guar Gum / Xanthan Gum |
0.2–0.5% |
Slight ↑ strength |
↓ Permeability, ↑ sulfate resistance |
Improves chemical resistance |
[20] |
|
TKP |
0.60% |
Slight ↑ strength |
↓ Permeability, ↑ sulfate resistance |
Enhances durability |
[20] |
|
GMH Biopolymer |
- |
Moderate ↑ strength |
↑ Resistance to tidal flooding & wetting-drying cycles |
Suitable for coastal conditions |
[13] |
4.7 Scanning electron microscope
Scanning electron microscope (SEM) has been widely used to investigate the microstructural effects of biopolymers in concrete. These microstructural improvements contribute to enhanced mechanical properties, including increased compressive and tensile strength, as well as improved durability by reducing permeability and mitigating crack propagation. The reviewed study examined the effects of cassava and maize starch on microstructure and durability characteristics in concrete mixes with varying doses (1%, 2%, and 3% by weight of cement) [37]. The microstructural images in Figures 16(a) and 16(b) present the SEM morphology of cassava and maize starch incorporated in concrete. The results of the experiments indicated that the mixes that had been changed with starch performed better in terms of reduced porosity, improved microstructural density, and durability. Based on these results, starches may improve the durability and lower the permeability of concrete by smoothing out its pores and filling any capillary spaces. The granular, somewhat aggregated microstructure seen in Figure 16(c) suggests limited fibrous reinforcement but good potential for filling voids and modifying surface interactions. SEM analysis demonstrated that incorporating biopolymers into concrete enhances its microstructure by reducing porosity, densifying the matrix, and improving interfacial bonding. These modifications contribute to higher compressive and tensile strength, lower permeability, and improved durability.
Figure 16. a) Scanning electron microscope images of cassava starch [37], b) Maize starch [37], c) Chitosan biopolymer [38]
By altering rheology and improving layer adhesion, biopolymers make 3D printed concrete (3DPC) more sustainable, buildable, and printable. Printability was enhanced by corn starch, methylcellulose, and xanthan gum; however, strength growth was postponed by larger MC and XG dosages [39]. Thermo-reversible binders, such as κ-carrageenan and animal gelatin, enhanced yield stress when cooled, facilitating environmentally friendly, temperature-controlled 3D printing [40]. Cement was completely replaced by a bio-mortar made of 80% gelatin solution, allowing for effective free-form construction and overhangs of up to 80° [41]. Printability, strength, and resistance to weathering were enhanced by waste-based slurries that contained xanthan gum, lignocellulosic fibers, and bio-plasticizers and were optimized with vermiculite and Ca2+ [42]. In general, xanthan gum, methylcellulose, alginate, and gelatin improve 3DPC rheology, sustainability, and green strength, providing environmentally suitable substitutes for traditional cementitious mixtures.
The comprehensive bibliometric and qualitative review confirms that the global research landscape is growing rapidly, with prominent contributions from countries like China, India, and the UK. Citation and co-authorship networks highlight core authors and influential publications, emphasizing a fragmented yet collaborative research community.
Biopolymers play a significant role in enhancing the mechanical, durability, and sustainability characteristics of concrete. Natural biopolymers such as xanthan gum, guar gum, starches, chitosan, cellulose nanofibers, and TKP, when incorporated appropriately, lead to substantial improvements in compressive strength, tensile behavior, workability, permeability resistance, and overall durability.
Biopolymers like cassava and maize starch, gum Arabic, and cellulose nanofibers contributed to improving compressive and tensile strength by refining pore structures, enhancing hydration, and bridging microcracks.
Several biopolymers reduced permeability, water absorption, and chloride ion ingress, with some blends showing resilience under aggressive conditions such as tidal flooding and sulfate attack.
While certain biopolymers such as cellulose and TKP enhanced flow characteristics, others like starches showed reduced workability at higher dosages, necessitating dosage optimization.
The use of biopolymers aligns with circular economy principles by reducing reliance on synthetic admixtures and enabling the reuse of agricultural and industrial by-products, thereby lowering the carbon footprint of concrete.
Biopolymers significantly improve the strength, durability, and sustainability of concrete. For engineers, this means practical opportunities to design greener, more durable structures.
This review establishes that biopolymers offer a promising pathway for the development of sustainable concrete composites. However, challenges such as long-term performance validation, standardization of biopolymer quality, and scalability of production remain.
Future scope: Future investigations into biopolymer-modified concrete must prioritize extensive long-term durability evaluations across diverse environmental conditions to enhance comprehension of its performance in practical applications. Moreover, investigating the synergistic interactions of various biopolymers alongside industrial by-products or waste materials could further improve both the mechanical properties and sustainability of the material. It is equally essential to implement standardized testing protocols to guarantee the consistency and comparability of outcomes across various investigations. Ultimately, extensive field trials are crucial to confirm laboratory results and assess the practical application, functionality, and lifespan performance of biopolymer-modified concrete in real-world construction settings.
Pratima Kalokhe: Conceptualization, Methodology, Literature Review, Writing – original draft; Mugdha Kshirsagar: Correction & supervision.
[1] Shivaprasad, K.N., Yang, H.M., Singh, J.K. (2024). A path to carbon neutrality in construction: An overview of recent progress in recycled cement usage. Journal of CO2 Utilization, 83: 102816. https://doi.org/10.1016/j.jcou.2024.102816
[2] de J. Cano-Barrita, P.F., León-Martínez, F.M. (2016). Biopolymers with viscosity-enhancing properties for concrete. In Biopolymers and Biotech Admixtures for eco-Efficient Construction Materials, pp. 221-252. https://doi.org/10.1016/B978-0-08-100214-8.00011-7
[3] Salami, B.A., Bahraq, A.A., ul Haq, M.M., Ojelade, O.A., Taiwo, R., Wahab, S., Adewumi, A.A., Ibrahim, M. (2024). Polymer-enhanced concrete: A comprehensive review of innovations and pathways for resilient and sustainable materials. Next Materials, 4: 100225. https://doi.org/10.1016/j.nxmate.2024.100225
[4] Patel, R., Babaei-Ghazvini, A., Dunlop, M.J., Acharya, B. (2024). Biomaterials-based concrete composites: A review on biochar, cellulose and lignin. Carbon Capture Science & Technology, 12: 100232. https://doi.org/10.1016/j.ccst.2024.100232
[5] Mitikie, B.B., Geleta, D.G. (2025). Enhancement of concrete performance with xanthan gum: Potential of natural biopolymer. Discover Civil Engineering, 2: 41. https://doi.org/10.1007/s44290-025-00203-1
[6] United Nations. (2015). Sustainable development goals (SDGs). United Nations. https://sdgs.un.org/goals.
[7] Boutouam, Y., Hayek, M., Bouarab, K., Yahia, A. (2024). A comprehensive review of plant-based biopolymers as viscosity-modifying admixtures in cement-based materials. Applied Sciences, 14(10): 4307. https://doi.org/10.3390/app14104307
[8] González-Aviña, J.V., Hosseinpoor, M., Yahia, A., Durán-Herrera, A. (2024). New biopolymers as viscosity-modifying admixtures to improve the rheological properties of cement-based materials. Cement and Concrete Composites, 146: 105409. https://doi.org/10.1016/j.cemconcomp.2023.105409
[9] National Center for Biotechnology Information. (2025). PubChem Compound Summary for CID 91666324, Alginate. Retrieved November 11, 2025, from https://pubchem.ncbi.nlm.nih.gov/compound/Alginate.
[10] Shahidi, F., Ambigaipalan, P. (2015). Phenolics and polyphenolics in foods, beverages and spices: Antioxidant activity and health effects–A review. Journal of functional foods, 18: 820-897. https://doi.org/10.1016/j.jff.2015.06.018
[11] Guo, A., Sun, Z., Sathitsuksanoh, N., Feng, H. (2020). A review on the application of nanocellulose in cementitious materials. Nanomaterials, 10(12): 2476. https://doi.org/10.3390/nano10122476
[12] Teixeira-Costa, B.E., Andrade, C.T. (2021). Chitosan as a valuable biomolecule from seafood industry waste in the design of green food packaging. Biomolecules, 11(11): 1599. https://doi.org/10.3390/biom11111599
[13] Susilorini, R.M.I.R., Iskandar, I., Santosa, B. (2022). Long-term durability of bio-polymer modified concrete in tidal flooding prone area: A challenge of sustainable concrete materials. Sustainability, 14(3): 1565. https://doi.org/10.3390/su14031565
[14] Brzyski, P. (2021). The influence of gum Arabic admixture on the mechanical properties of lime-metakaolin paste used as binder in hemp concrete. Materials, 14(22): 6775. https://doi.org/10.3390/ma14226775
[15] Oni, D., Mwero, J., Kabubo, C. (2020). The effect of cassava starch on the durability characteristics of concrete. The Open Civil Engineering Journal, 14(1): 289-301. https://doi.org/10.2174/1874149502014010289
[16] Olivia, M., Jingga, H., Toni, N., Wibisono, G. (2018). Biopolymers to improve physical properties and leaching characteristics of mortar and concrete: A review. IOP Conference Series: Materials Science and Engineering, 345(1): 012028. https://doi.org/10.1088/1757-899X/345/1/012028
[17] Luo, N., Ge, H., Liu, X., He, Q., Wang, W., Ma, W., Guo, F. (2024). Assembly of chitosan/caragana fibers to construct an underwater superelastic 2D layer-supported 3D architecture for rapid Congo red removal. Nanomaterials, 14(18): 1510. https://doi.org/10.3390/nano14181510
[18] Lee, M., Im, J., Chang, I., Cho, G. (2021). Evaluation of injection capabilities of a biopolymer based grout material. Geomechanics and Engineering, 25(1): 31-40. https://doi.org/10.12989/gae.2021.25.1.031
[19] Roberts, A.D., Scrutton, N.S. (2023). StarCrete: A starch-based biocomposite for off-world construction. Open Engineering, 13(1): 1-8. https://doi.org/10.1515/eng-2022-0390
[20] Christ, J., Perrot, A., Ottosen, L.M., Koss, H. (2024). Rheological characterization of temperature-sensitive biopolymer-bound 3D printing concrete. Construction and Building Materials, 411: 134337. https://doi.org/10.1016/j.conbuildmat.2023.134337
[21] Selvakumar, P., Kumarasamy, V. (2024). Investigation on microstructural and compressive strength characteristics of a novel bio-admixture comprising cassava starch-xanthan gum with cement mortar for building application. Revista Materia, 29(1). https://doi.org/10.1590/1517-7076-RMAT-2023-0331
[22] Akindahunsi, A.A., Uzoegbo, H.C. (2015). Strength and durability properties of concrete with starch admixture. International Journal of Concrete Structures and Materials, 9(3): 323-335. https://doi.org/10.1007/s40069-015-0103-x
[23] Ahmad, W., McCormack, S.J., Byrne, A. (2025). Biocomposites for sustainable construction: A review of material properties, applications, research gaps, and contribution to circular economy. Journal of Building Engineering, 105: 112525. https://doi.org/10.1016/j.jobe.2025.112525
[24] Jaramillo, H.Y., Vasco-Echeverri, O.H., Moreno-Pacheco, L.A., García-León, R.A. (2023). Biomaterials in concrete for engineering applications: A bibliometric review. Infrastructures, 8(11): 161. https://doi.org/10.3390/infrastructures8110161
[25] Qayyum, A., Javed, M.F., Asghar, R., Iqtidar, A., Alabduljabbar, H., Khan, M.A., Ali, M. (2024). Promoting the sustainable construction: A scientometric review on the utilization of waste glass in concrete. Reviews on Advanced Materials Science, 63(1): 20240036. https://doi.org/10.1515/rams-2024-0036
[26] Murugappan, V., Muthadhi, A. (2022). Studies on the influence of alginate as a natural polymer in mechanical and long-lasting properties of concrete – A review. Materials Today: Proceedings, 65: 839-845. https://doi.org/10.1016/j.matpr.2022.03.424
[27] Cuenca, E., Postolachi, V., Ferrara, L. (2023). Cellulose nanofibers to improve the mechanical and durability performance of self-healing ultra-high performance concretes exposed to aggressive waters. Construction and Building Materials, 374: 130785. https://doi.org/10.1016/j.conbuildmat.2023.130785
[28] Yehia, S., Ibrahim, A.M., Ahmed, D.F. (2023). The impact of using natural waste biopolymer cement on the properties of traditional/fibrous concrete. Innovative Infrastructure Solutions, 8(11): 287. https://doi.org/10.1007/s41062-023-01253-z
[29] Venkatraman, S., Ramasamy, V. (2021). Study on strength parameters of plain cement concrete added with tamarind kernel powder. Structural Concrete, 22(S1): E843-E850. https://doi.org/10.1002/suco.201900578
[30] Ortiz-Álvarez, N., Lizarazo-Marriaga, J., Brandão, P.F.B., Santos-Panqueva, Y., Carrillo, J. (2021). Rheological properties of cement-based materials using a biopolymer viscosity modifying admixture (BVMA) under different dispersion conditions. Cement and Concrete Composites, 124: 104224. https://doi.org/10.1016/j.cemconcomp.2021.104224
[31] Ślosarczyk, A., Klapiszewska, I., Jędrzejczak, P., Klapiszewski, Ł., Jesionowski, T. (2020). Biopolymer-based hybrids as effective admixtures for cement composites. Polymers, 12(5): 1180. https://doi.org/10.3390/polym12051180
[32] Venkatraman, S., Ramasamy, V. (2019). Hydration effect of gum Arabic and guar gum powder on strength parameters of concrete. Caribbean Journal of Science, 53(2): 124-133.
[33] Huston, D., Dewoolkar, M. M., Gregory, D., Abdul Qader, M., Yeboah, B. (2025). Chitosan shrinking fibers for curing-initiated stressing to enhance concrete durability. Materials, 18(7): 1574. https://doi.org/10.3390/ma18071574
[34] Feng, H., Su, Y., Guo, A., Yu, Z., Guo, Z. (2024). Mechanical properties of cellulose nanocrystal modified cement/fly ash pastes under various water/binder ratios. Construction and Building Materials, 447: 138213. https://doi.org/10.1016/j.conbuildmat.2024.138213
[35] Kilani, A., Olubambi, A., Ikotun, B., Adeleke, O., Adetayo, O. (2022). Structural performance of concrete reinforced with banana and orange peel fibers – A review. Journal of Sustainable Construction Materials and Technologies, 7(4): 339-357. https://doi.org/10.47481/jscmt.1144427
[36] Mohamed, A.M., Osman, M.H., Smaoui, H., Ariffin, M.A.M. (2017). Permeability and tensile strength of concrete with Arabic gum biopolymer. Advances in Civil Engineering, 2017(1): 4703841. https://doi.org/10.1155/2017/4703841
[37] Akindahunsi, A.A., Uzoegbo, H.C. (2015b). Strength and durability properties of concrete with starch admixture. International Journal of Concrete Structures and Materials, 9(3): 323-335. https://doi.org/10.1007/s40069-015-0103-x
[38] Baykara, H., Riofrio, A., Garcia-Troncoso, N., Cornejo, M., Tello-Ayala, K., Flores Rada, J., Caceres, J. (2024). Chitosan-cement composite mortars: Exploring interactions, structural evolution, environmental footprint and mechanical performance. ACS Omega, 9(23): 24978-24986. https://doi.org/10.1021/acsomega.4c02040
[39] Zafar, M.S., Shahid, A., Sedghi, R., Hojati, M. (2025). Optimization of biopolymer additives for 3D printable cementitious systems: A design of experiment approach. Case Studies in Construction Materials, 22: e04515. https://doi.org/10.1016/j.cscm.2025.e04515
[40] Christ, J., Engelsen, T., Thybring, E.E., Ottosen, L.M., Koss, H. (2024). Screening of natural polymers as binder in concrete composites. Construction and Building Materials, 441: 137405. https://doi.org/10.1016/j.conbuildmat.2024.137405
[41] Christ, J., Leusink, S., Koss, H. (2023). Multi-axial 3D printing of biopolymer-based concrete composites in construction. Materials and Design, 235: 112410. https://doi.org/10.1016/j.matdes.2023.112410
[42] Rech, A., Chiujdea, R., Colmo, C., Rossi, G., Nicholas, P., Tamke, M., Thomsen, M.R., Daugaard, A.E. (2022). Waste-based biopolymer slurry for 3D printing targeting construction elements. Materials Today Communications, 33: 104963. https://doi.org/10.1016/j.mtcomm.2022.104963