Preparation and Tuning the Structural and Optical Properties of PVA/CuO-In2O3 Nanocomposites for Optoelectronic and Antibacterial Applications

Preparation and Tuning the Structural and Optical Properties of PVA/CuO-In2O3 Nanocomposites for Optoelectronic and Antibacterial Applications

Rusul A. Ghazi Dhay A. Sabur Zainab H. Mousa Majeed A. Habeeb* Shaymaa A. Alkarosh

Department of Physics, College of Science, University of Babylon, Babylon 51001, Iraq

Department of Physics, College of Education for Pure Sciences, University of Babylon, Babylon 51001, Iraq

Directorate of Education Babylon, Ministry of Education, Babylon 51001, Iraq

Department of Medical Laboratory Techniques, College of Health and Medical Technique, University of Al-Mustaqbal, Babylon 51001, Iraq

Corresponding Author Email: 
pure.majeed.ali@uobabylon.edu.iq
Page: 
791-801
|
DOI: 
https://doi.org/10.18280/rcma.350501
Received: 
13 August 2025
|
Revised: 
16 September 2025
|
Accepted: 
26 October 2025
|
Available online: 
31 October 2025
| Citation

© 2025 The authors. This article is published by IIETA and is licensed under the CC BY 4.0 license (http://creativecommons.org/licenses/by/4.0/).

OPEN ACCESS

Abstract: 

This research presents the fabrication and characterization of a multifunctional nanocomposite film by incorporating CuO and In2O3 nanostructures within a polyvinyl alcohol (PVA) matrix. Unlike conventional single-component composites, this work features a unique formulation that integrates the synergistic effect of CuO and In2O3 particles within the polymer, simultaneously enhancing the optical and antibacterial properties, targeting effective and low-cost applications in the medical and optoelectronic fields. The structure and surface are analyzed using optical microscopy and scanning electron microscopy. Optical studies, in the spectral range (260-860 nm), show a significant improvement in the absorbance and optical conductivity with increasing nanoparticle content. The incorporation of 3 wt.% CuO-In2Oincreases the absorbance by about 55% and the optical conductivity by about 35%, with the optical energy gap, decreasing from 4.394 eV (for the pure polymer) to 1.824 electron volt (eV), and this indicates improved light absorption efficiency. The antibacterial activity also shows a proportional improvement with increasing nanoparticle concentration, highlighting the dual functionality of the composite. Compared with the PVA-based nanocomposite materials reported in the previous literature, the developed CuO-In₂O₃ system offers superior multifunctionality and provides a more efficient and scalable route for the design of antibacterial materials with superior optical performance in the future.

Keywords: 

CuO-In2O3 nanoparticles, antibacterial activity, refractive index, copper oxide, polyvinyl alcohol

1. Introduction

In the twenty-first century, nanotechnologies are a rapidly developing focus. Nanoparticles have unique structural, optical, electrical, magnetized, and mechanical characteristics due to their nanoscale dimensions of 1 to 100 nm in contrast with their larger bulk counterparts [1, 2]. Metal oxide nanoparticles have increased in interest because of their wide application as catalysts in manufacturing processes, antimicrobial substances in medical applications, additives, chemical detectors, disinfectants, semiconductors, catalysts, and significant contributions to the advancement of cosmetics and microelectronics [3, 4]. Indium trioxide nanocrystals (In2O3), as individual n-type semiconductors, have garnered attention as superior semiconductor photocatalysts due to their outstanding electrical and physical properties [5, 6]. Their band gap of 3.71 eV and high exciton binding energy are what really set them apart [7, 8]. A wide range of applications are possible with these nanocrystals due to their strong oxidizing power and remarkable UV emission capabilities [9, 10]. These include photovoltaic, electronic devices, photo catalysts, sensors, laser diodes, and ultraviolet photo detectors [11, 12]. The wide range of biological applications that In2O3 nanoparticles could serve is further enhanced by their biocompatibility and lack of toxicity [13]. Their luminosity at ambient temperature and extraordinary stability make them attractive for a variety of applications. In2O3 has a cubic crystal structure, more precisely a bixbyite structure [14, 15]. Eight indium atoms occupy the cube’s corner positions, while six oxygen atoms are situated on its faces. Each indium atom is coordinated by six oxygen atoms in an octahedral arrangement. The lattice constant, corresponding to the cube’s maximum edge length, is about 10.12 Å. Indium trioxide belongs to the Ia-3 space group, whose symmetry elements include a threefold rotation axis and inversion centers situated at the midpoint of each cube face [16, 17]. CuO is widely used a (p-type) semiconductor material with a narrow band gap of 1.2-1.9 eV, allowing electrons to quickly jump from the valence band to the conducting level [18, 19]. CuO nanopowder has many applications, e.g., wastewater treatment catalysts, sensitive gas sensors, super capacitors, and nanofluid applications [20, 21]. Polyvinyl alcohol is available in the form of white to cream-colored brittle powder or beads. It can also dissolve in water to form a colorless solution that is widely used in the electronic device industry due to its exceptional insulation qualities and high dielectric permittivity value [22, 23]. Its molecular formula is (C2H4O)x, its density varies between 1.190 to 1.310 g/cm3, and its melting point is 230 degrees Celsius [24, 25]. Recent studies have examined the integration of metal oxides such as CuO or In₂O₃ individually into polymeric matrices. However, the simultaneous integration of these two distinct species within a PVA matrix remains partially unexplored. This unique product offers a significant synergistic target between the strong antibacterial activity of CuO and the excellent optical and electronic properties of In₂O₃, resulting in a versatile material. The emerging PVA matrix is characterized by its stability, light compatibility, limited distribution, film formation, and solubility. Compared with previous work, using individual oxides or different host polymers, the CuO-In₂O₃/PVA system exhibits a superior optical performance, high energy efficiency, and significantly improved antibacterial efficacy. That makes it highly promising for the next generation of optical and medical devices.

2. Materials and Method

PVA/CuO-In₂O₃ nanocomposite films are fabricated using a solution casting technique. Initially, 1 g of polyvinyl alcohol (PVA) is dissolved in distilled water using a magnetic stirrer for continuous stirring. CuO-In₂O₃ nanoparticles are then added to the polymer solution at concentrations of 1%, 2%, and 3% by weight. The mixture is stirred for 15 minutes at 70℃ to ensure complete homogeneity. It is left to settle to eliminate air bubbles and to further stabilize the solution. The homogeneous solution is then poured into a 5 cm diameter Petri dish and left to dry at room temperature for 3 to 7 days. After complete drying, the formed films are carefully separated from the mould. Their thickness is measured using a micrometre. The structural, optical, and morphological properties of the composite nanofilms are analyzed using scanning electron microscopy (SEM), Fourier transform infrared spectroscopy (FTIR), and ultraviolet-visible (UV-Vis) spectroscopy. The optical properties are measured in the spectral range of 200-1100 nm using a Shimadzu UV-18000A dual-beam spectrometer.

Figure 1. Schematic diagram of the process of preparation (PVA/CuO-In₂O₃) nanocomposites

The solution casting technique used in this study is an efficient low-cost method that is suitable for producing homogeneous nanofilms. Figure 1 illustrates the preparation steps, including the simultaneous distribution and incorporation of CuO-In2O3 particles within the PVA matrix during the preparation process. The solution casting method used to prepare PVA/CuO-In₂O₃ composites is simple and low-cost and can be easily scaled up for industrial production of large-area films. However, potential challenges on a large scale may include controlling nanoparticle aggregation. These challenges can affect homogeneity and optical performance, and can ensure a long-term stability of the composites under environmental conditions such as humidity, temperature changes, and UV exposure. These issues can be addressed by modifying the nanoparticle surface, adding stabilizers, and improving storage conditions.

The absorption coefficient (α) is defined as the following equation [25, 26].

$\alpha=2.3030 \mathrm{~A} / \mathrm{t}$               (1)

where, A represents absorbance, t represents the thickness of the sample.

Amorphous semiconductors utilize the indirect transition model [27, 28].

$\alpha h \nu=B(h \nu-$ Egopt $) r$               (2)

B: constant;

: photon energy;

E.g., band gap energy;

r = 2 for the allowed indirect transition; 

r = 3 for the forbidden indirect transition.

The coefficient of extinction (k) is calculated using the following equation [29, 30].

$k=\frac{\alpha \lambda}{4 \pi z}$               (3)

The refractive index (n) is given by [31].

$n=\sqrt{1+R} / \sqrt{1-R}$              (4)

where, R is the reflectance.

3. Results and Discussion

Figure 2 presents typical SEM images of (PVA/CuO-In2O3) nanocomposites without and with varying concentrations of (CuO-In2O3) nanoparticles. Figure 2(a) illustrates that the polymers are soft, homogeneous, and coherent. Introducing (CuO-In2O3) nanoparticles into the (PVA/CuO-In2O3) nanocomposites modifies the agglomerates of these systems, as shown in images A, B, C, and D. The surface morphology of the (PVA/CuO-In2O3) nanocomposites reveals numerous aggregates or chunks distributed randomly across the top surface [32]. Image (D) indicates an increase in the number of black dots on the surface as the concentration of (CuO-In2O3) nanoparticles rises. These findings are consistent with those of previous researchers [33, 34].

(A) pure
(B) with 1 wt.% (CuO-In2O3) NPs
(C) with 2 wt.% (CuO-In2O3) NPs
(D) with 3 wt.% (CuO-In2O3)
Figure2. SEM images of (PVA/CuO-In₂O₃) nanocomposite

Figure 3. FTIR spectra for (PVA/CuO-In2O3) nanocomposites: (A) for (PVA) Polymer (B) for 1 wt.% (CuO-In2O3) NPs, (C) for 2 wt.% (CuO-In2O3) NPs, (D) for 3 wt.% (CuO-In2O3) NPs

The FTIR analysis is performed to detect the functional groups in the nanocomposite samples. FTIR is commonly used to verify the correct co-polymer blend ratio or quantify the amounts of a mixture of release agents, UV stabilizers, and other additives. It is a valuable tool for proper, qualitative and quantitative analyses of polymer constituents [35, 36]. Its primary application is quickly and definitively identifying materials such as compounded plastics, blends, fillers, rubbers, coatings, and adhesives. Figure 3 depicts PVA and the prepared (PVA/CuO-In2O3) nanocomposites with varying weight percentages of the (CuO-In2O3) nanoparticle, and Table 1 summarizes the results. A comparison of observed wavenumbers for PVA, CuO, and In2O3 has also been performed [37, 38]. Table 1 shows the functional groups present in (PVA/CuO-In2O3) nanocomposites.

Table 1. Details of functional groups present in (PVA/CuO-In2O3) nanocomposite

Observed Wavenumber for PVA

Observed Wavenumber

for CuO

Observed Wavenumber for In2O3

Observed Wavenumber for (PVA/CuO-In2O3) Nanocomposites

3223-due to O-H stretching Table size

-

-

3265

2913-due to CH asymmetric stretching

-

-

2091

1721-due to C-O carbonyl stretch

-

-

1706

1422-due to C-H bending

-

-

1411

1085-due to C-H deformation vibration

-

-

1084

835-due to C-O stretching

530-due to Cu-O stretching bands

689-due to In-O stretching bands

833

The change in absorbance (A) of (PVA/CuO-In2O3) nanocomposites with respect to the incident light wavelength (λ) is shown in Figure 4. The figures demonstrate that the absorbance of all the nanocomposites that have been made improves when the concentration of In2O3-CuO nanoparticles increases. This is because a higher concentration of nanoparticles provides better charge carriers [39, 40]. The absorbance of the nanocomposites is increased by almost 57% at λ = 660 nm when the concentration of nanoparticles is 3%. Optical, photo catalytic, and solar cell technologies all benefit from these behaviors. In general, the absorbance of all prepared nanocomposites decreases with increasing wavelength. This means that the incident photon is unable to excite the electron and move it from a lower energy level to a higher energy level, because its energy is less than the energy gap value of the nanocomposites [41, 42]. At these energies, donor-level electrons are excited to the conduction band, giving all nanocomposites a high UV absorbance. Photons have enough energy to interact with atoms, producing high ultraviolet absorbance. The UV absorption spectrum of PVA polymer is limited, but it is enhanced by adding In2O3-CuO nanoparticles due to the blend's high energy gap. The graphs of (PVA/CuO-In2O3) nanocomposites with high levels of nanoparticles show a clear peak in the UV region and less absorption in the visible range. The peak maximum absorption appears at around 300 nm, owing to nanoparticle absorption caused by increased charge carriers. All nanocomposite samples show a wavelength-dependent decrease in absorbance in the visible and near-infrared spectrum. Because incident photons do not have enough energy to interact with atoms, photon transmission occurs [43, 44]. The (PVA/CuO-In2O3) nanocomposites with 3% concentration of CuO-In2O3 NPs have the most outstanding absorbance because of the high diffusivity of (CuO-In2O3) nanoparticles in the polymer [45, 46].

Figure 4. (PVA/CuO-In2O3) nanocomposites absorbance spectrum as a function of wavelength

Figure 5 shows how (PVA/CuO-In2O3) nanocomposites' transmittance (T) varies with incident light wavelength (λ). This Figure shows that excellent excitation leads to a sharp electron that moves from the valence to the conduction band. Interestingly, adding (CuO-In2O3) NPs to polyvinyl alcohol, a polymer causes a gradual and nonlinear reduction in transmission in the visible region [47, 48]. Our results show that increasing the concentration of (CuO-In2O3) NPs wt.% reduces the optical transmission of (PVA/CuO-In2O3) nanocomposites to 65% at 660 nm. The lack of transparency can be attributed to dispersion by NPs within the matrix of polymers. This occurs when the size of the particle is smaller than the wavelength. Or, it could be caused by electron shifts between the polymer and (CuO-In2O3) nanoparticles. The transmittance of the polymer and nanocomposites reduces more in the UV region than in the visible region due to the addition of nanoparticles, which significantly reduces transmittance [49, 50].

Figure 5. Transmission versus wavelength of (PVA/CuO-In2O3) nanocomposites at room temperature

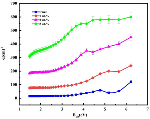
The absorption coefficient α for (PVA/CuO-In2O3) nanocomposites is shown in Figure 6 as a function of wavelength. Because the energy of the incident photon is too low to transfer an electron from the valence band to the conduction band, the absorption coefficient is the lowest at long wavelengths and low energy, ruling out the possibility of electron transfer. An increase in energy makes absorption better, which means there are more electron transitions. Consequently, an electron can move from the valence band to the conduction band by means of the incident photon's energy [51, 52]. At lower energies, when the absorbent coefficient is low (104 cm-1), electrons are predicted to transition indirectly with the phonon maintaining their electronic momentum [53, 54].

Figure 6. The absorption coefficient spectra as a function of wavelength for (PVA/CuO-In₂O₃) nanocomposites at room temperature

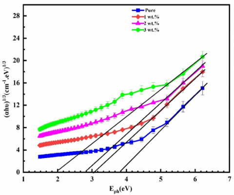
Figure 7 illustrates the energy gaps for the allowed indirect transitions in (PVA/CuO-In2O3) nanocomposites, whereas Figure 8 depicts the energy gaps for the forbidden indirect transitions in the same nanocomposites. The obtained values are shown in Table 2. The values of both allowed and forbidden indirect energy gaps in all prepared nanocomposites decrease as the concentration of (CuO-In2O3) nanoparticles increases. At 3% concentration and λ = 660 nm, the energy gap of (PVA/CuO-In2O3) nanocomposites are decreased to approximately 57% for allowed indirect transitions and 77% for forbidden indirect transitions. This behavior makes nanocomposites ideal for lightweight, low-cost electronics and optical devices [55, 56]. The progressive reduction in energy gap values as nanoparticle concentration increases can be explained by the creation of localized states within the energy gap. In this mechanism, electrons transition in two stages: first from the valence band to localized states within the energy gap, and from these states to the conduction band [57, 58].

Figure 7. Photon energy affects (αhυ)1/2 for (PVA/CuO-In2O3) nanocomposites

Figure 8. Variation of (αhυ)1/3 for (PVA/CuO-In2O3) nanocomposites with photon energy

Table 2. Energy gap values various with (CuO-In2O3) concentration

Sample

Concentrations of (CuO-In2O3) NPs wt.%

Eg (eV) (Allowed)

Eg (eV) (Forbidden)

PVA polymer

0

4.394

3.837

(PVA/CuO-In2O3) nanocomposites

1

2.958

3.05

(PVA/CuO-In2O3) nanocomposites

2

2.287

2.817

(PVA/CuO-In2O3) nanocomposites

3

1.824

1.997

The optical energy gap of the (PVA/CuO-In₂O₃) nanocomposites decreases with the increase of the nanoparticle concentration. Additionally, charge transfer interactions between the PVA matrix and metal oxide nanoparticles may result in the formation of localized states at the band edges, leading to bandgap narrowing. These changes are consistent with the morphological observations from SEM images, which showed improved dispersion and interfacial interactions at higher nanoparticle content [59, 60]. Such structural modifications directly influence the electronic structure and consequently the optical response of the nanocomposites.

Figure 9. Refractive index of (PVA/CuO-In2O3) nanocomposites variation with wavelength

Figure 9 presents the refraction index of (PVA/CuO-In2O3) nanocomposites as a function of wavelength. The findings show that as the weight proportion of the percentage of (CuO-In2O3) nanoparticles rises, so does the refractive index. The noticed rise in refractive index is thought to result from increased nanocomposites' density. Nanocomposites are made denser by adding nanoparticles to a polymer matrix. With a higher density, there are more atoms and molecules per unit volume, which in turn raises the refractive index [61, 62]. The refractive index rises as incoming light interacts with substances that are highly UV-refractive. Finding a correlation between CuO-In2O3 nanoparticle concentration and refractive index has important implications for developing new nanocomposite materials [63, 64].

Figure 10 illustrates how the extinction coefficient of nanocomposites (PVA/CuO-In2O3) varies with the wavelength (λ). These figures demonstrate that as the wavelength of light that enters the UV region rises, so does the extinction coefficient of (PVA/CuO-In2O3) nanocomposites, which are highly absorbent in these regions. The practically constant absorption coefficient of the nanocomposites in the visible and near-infrared regions also explains why their extinction coefficient increases in these areas [65-67]. As a result, the extinction coefficient varies with the wavelength. The extinction coefficient of (PVA/CuO-In2O3) nanocomposites is directly proportional to the concentration of (CuO-In2O3) nanoparticles, which increases with higher concentrations. This is owing to the higher absorption coefficient of the nanocomposites [68-70]. The rise in extinction coefficient for (PVA/CuO-In2O3) nanocomposites is 53%.

Figure 10. Variation of the extinction coefficient of (PVA/CuO-In2O3) nanocomposite with wavelength

Figure 11. The optical conductivity of (PVA/CuO-In2O3) nanocomposites varies with wavelength

The optical conductivity of (PVA/CuO-In2O3) nanocomposites varies with wavelength, as shown in Figure 11. All of the prepared nanocomposites exhibit an increase in optical conductivity as the proportion of CuO-In2O3 nanoparticles grows. This is because the concentrations of nanoparticles increase, the average density of concentrated levels in the energy gap rises, which in turn raises the absorption coefficient and ultimately the optical conductivity of the nanocomposites (Table 3) [71, 72].

Table 3. Band gap energy and inhibition zone diameter for different PVA-based nanocomposites

Type of Nanocomposite

Band Gap (eV)

Maximum Diameter of Inhibition Zone (mm)

PVA/CuO-In2O3

1.887

24 current study

PVA/ZnO

-

24 [71]

PVA-CMC-SiO2-Cr2O3

2.9

20 [27]

Figures 12-14 demonstrate that (PVA/CuO-In2O3) nanocomposites possess antibacterial properties against Streptococcus and Staphylococcus aureus. A higher concentration of (CuO-In2O3) nanoparticles results in a larger inhibitory zone. Their antibacterial action may be better understood if charge-negative bacteria are attracted to positively charged nanoparticles in nanocomposites by means of electromagnetic fields. Bacterial cells become oxidized and die instantly because of this process [73-75]. The release of electron-hole pairs from (CuO-In2O3) nanoparticles upon exposure to visible or ultraviolet light is another potential mechanism by which the nanocomposites exert their antibacterial activity [12, 76, 77]. The generation of reactive oxygen species (ROS) is a well-known and effective mechanism for the antibacterial effect of metal oxide-based nanomaterials. Although the mechanism proposed in this work is supported by previous results, direct experimental verification remains necessary to strengthen this hypothesis. Future studies suggest using specialized ROS detection assays, such as the DCFH-DA fluorescence assay, electron paramagnetic resonance (ESR), or chemical inhibitor tests, to directly confirm the generation of these reactive species.

Figure 12. Inhibition zone diameter varying with (CuO-In₂O₃) nanoparticle concentrations against Staphylococcus for (PVA/CuO-In₂O₃) nanocomposites

Figure 13. Inhibition zone diameter varying with concentrations of (CuO-In₂O₃) nanoparticles against Streptococcus for (PVA/CuO-In₂O₃) nanocomposites

Figure 14. Antibacterial activity of (PVA/CuO-In2O3) nanocomposite. Zone of inhibition of (PVA/CuO-In2O3) nanocomposite against A: Staphylococcus, B: Streptococcus

Previous studies [9, 75] have demonstrated the effectiveness of such tests in confirming the ROS-based mechanism in similar nano systems. Therefore, the inclusion of these analytical techniques in future research will contribute to supporting the current results and clarifying the true role of reactive oxygen species in the antibacterial effect.

Interactions between these electron-hole pairs and water molecules can result in the formation of hydroxide (OH-) and hydrogen (+H) ions. Upon exposure to oxygen, nanocomposites generate peroxide anions (O₂⁻), which combine with hydrogen ions (H⁺) to form hydroperoxide (HO₂). This intermediate can further react with additional hydrogen ions (H⁺) and electrons (e⁻) to yield hydrogen peroxide (H₂O₂). The concentration of H₂O₂ molecules increases proportionally with the surface area of the nanoparticles [78, 79]. Bacterial cell walls may be permeable to these reactive oxygen species (ROS), which may cause damage and eventual death. The technique by which these nanocomposites are formed is called ROS generation by (PVA/CuO-In2O3) [80, 81]:

NCs + hυ → eˉ + h+

H2O + h + →OH· + H+

eˉ+O2 →O·ˉ2

O·-2 +H+ →OH·

2OH + H+ + eˉ →H2O2

Only hydrogen peroxide (H2O2) can cross bacterial membranes and destroy them. The fact that the membrane has negative charges makes it impossible for superoxide anions (O·ˉ2) and hydroxyl radicals (OH) to get through and stay on its surface. Nevertheless, oxidative stress is produced when light interacts with free radicals, which in turn inhibits the multiplication of bacteria.

4. Conclusions

This work includes synthesizing (PVA/CuO-In2O3) nanocomposites and investigating structural, optical and antibacterial activity. The scanning electron microscope reveals uniform and compact aggregates or clusters on the surface. FTIR analysis indicates that the surface structure of the pure polymer is uniform, without any signs of agglomeration or porosity. The observed reduction in peak intensity in the FTIR spectrum after the additive incorporation suggests an increase in the number of PVA polymer chains within the film structure. This implies that the polymers, after the addition, may have formed interconnected chain networks in the polymer nanocomposites. These structural changes are reflected in both the optical and electrical properties. Optical coefficients of PVA polymer (absorption and extinction coefficient) are increased with the increase of (CuO-In2O3) nanoparticle concentration. Absorbance, optical conductivity, and refraction of PVA polymer increase with the increase of (CuO-In2O3) nanoparticle concentration; the highest values are observed at 3% of (CuO-In2O3). At a concentration of 3%, the energy band gap of the nanocomposites reduces from 4.934 eV to 1.824 eV for (CuO-In2O3) nanoparticles. The synthesized (PVA/CuO-In2O3) nanocomposites demonstrated successful antibacterial activity against two distinct pathogenic bacterial strains, which could benefit the food, pharmaceutical, and beauty industries. The large optical bandgap decreases (from 4.934 to 1.824 eV) and high photoconductivity (~ 35%), making PVA/CuO-In₂O₃ nanocomposites promising applications in UV detectors and flexible optical sensors. Their antibacterial activity, with an inhibition zone diameter of up to 24 mm against Staphylococcus aureus and Streptococcus, qualifies them for use in medical coatings, dressings, and food packaging. The combination of optical and antibacterial properties gives them a competitive advantage over similar materials. This study gives to the presentation of the low-cost and easy synthesis process by PVA/CuO-In₂O₃ nanocomposites compare with other materials (such as PVA/ZnO).

  References

[1] Koodali, R.T., Klabunde, K.J. (2012). Nanotechnology: Fundamental principles and applications. In Handbook of Industrial Chemistry and Biotechnology. Boston, MA: Springer US, pp. 249-263. 

[2] Mahal, R.K., Taha, A., Sabur, D.A., Hachim, S.K., Abdullaha, S.A.H., Kadhim, M.M., Rheima, A.M. (2023). A density functional study on adrucil drug sensing based on the Rh-decorated gallium nitride nanotube. Journal of Electronic Materials, 52(5): 3156-3164. https://doi.org/10.1007/s11664-023-10216-0 

[3] Praveen, H., Girish Chandran, V. (2025). Investigation on material characterization, dielectric behaviour and electrical conductivity of ZnO-poly (O-toluidine) nanocomposites. Polymer Bulletin, 82(10): 4755-4773. https://doi.org/10.1007/s00289-025-05724-4

[4] Al-Sharifi, N.K., Mohammed, A.A., Habeeb, M.A. (2023). Fabrication and exploring the structural, dielectric and optical features of PVA/SnO2/Cr2O3 nanostructures for optoelectronic applications. Optical and Quantum Electronics, 55(11): 1016. https://doi.org/10.1007/s11082-023-05261-2

[5] Hezil, N., Bouras, D., Mamoun, F., Hamadi, F., Bouchareb, N., Laouini, S.E., Larios, A.P., Aleksei, O., Habeeb, M.A., El-Hiti, G.A. (2024). Microstructural and photocatalytic properties of nanostructured near-β Ti-Nb-Zr alloy for total hip prosthesis use. Kuwait Journal of Science, 51: 100276. https://doi.org/10.1016/j.kjs.2024.100276  

[6] Kadhim, W.K., Habeeb, M.A. (2024). Ameliorating and tailoring the morphological, structural, and dielectric characteristics of Sio2 /Nio futuristic nanocomposites doped PVA-peg for nanoelectronic and energy storage applications. Silicon, 16(16): 5817-5832. https://doi.org/10.1007/s12633-024-03121-6 

[7] Al-Issawe, J.M., Oreibi, I. (2024). DFT calculations of trilayer heterostructures from MoSe2, PtS2 Monolayers in different orders with promising optoelectronic properties. Journal of the Turkish Chemical Society Section A: Chemistry, 11(2): 405-414. https://doi.org/10.18596/jotcsa.1295960 

[8] Al-Mamoori, A.Y., Hadi, N.M., Al-Nesrawy, S.H., Al-Issue, J.M., Al-Maamori, M.H. (2020). Preparation of polymer nano-composite materials to sensing and absorption harmful waves. IOP Conference Series: Materials Science and Engineering, 928(7): 072106. https://doi.org/10.1088/1757-899X/928/7/072106

[9] Alshahrie, A., Saini, S., Hasan, P., Al-Ghamdi, A., Quraishi, A., Alsulami, A., Alvi, P. (2023). Biocompatible Poly (Vinyl Alcohol)-copper oxide-graphene oxide (PVA-CuO-GO) nanocomposites: Synthesis, structural and optical properties. Science of Advanced Materials, 15(3): 412-422. https://doi.org/10.1166/sam.2023.4432

[10] Obaid, H.N., Habeeb, M.A., Rashid, F.L., Hashim, A. (2013). Thermal energy storage by nanofluids. Journal of Engineering and Applied Sciences, 8(5): 143. https://doi.org/10.36478/jeasci.2013.143.145

[11] Hamza, R.S.A., Oreibi, I., Habeeb, M.A., Sabur, D.A. (2024). Fabrication and evaluation the optical and dielectric characteristics of Promising PVA-ZrC-SiO2 nanocompsites films. Silicon, 16(7): 2839-2851. https://doi.org/10.1007/s12633-024-02903-2 

[12] Mahdi, S.M., Habeeb, M.A. (2023). Influence of ZrC nanofiler on the structural, dielectric and optical features of the PVA-PVP blend for electronic and optical nanodevices. Optical and Quantum Electronics, 55(12): 1076. https://doi.org/10.1007/s11082-023-05426-z

[13] Oreibi, I., Habeeb, M.A., Abdul Hamza, R.S. (2023). Polymer nanocomposites comprising PVA matrix and Ag-BaTiO3 nanofillers: A comparative study of structural, dielectric and optical characteristics for optics and quantum nanoelectronic applications. Optical and Quantum Electronics, 56(1): 119. https://doi.org/10.1007/s11082-023-05685-w

[14] Hussein, F.H., Abdulrazzak, F.H., Aljeboree, A.M., Altimari, U.S., Sabur, D.A., Dawood, A.H., Alkaim, A.F. (2023). Synthesis and application of TiO2/SWCNTs/Pt nanocomposites as a good photocatalyst for hydrogen production. Journal of Nanostructures, 13(1): 266-273. https://doi.org/10.22052/JNS.2023.01.027

[15] Sabur, D.A., Habeeb, M.A., Hashim, A. (2023). Fabrication and investigating the structural and dielectric characteristics of In2O3-GO/PMMA-PC nanostructures for electronics nanodevices. Revue des Composites et des Matériaux Avancés, 33: 53-57. https://doi.org/10.18280/rcma.330108 

[16] SK, K., N, V., RB, B., Madivalappa, S. (2023). Structural and optical properties of polyvinyl alcohol/copper oxide (PVA/CuO) nanocomposites. Solid State Communications, 370: 115221. https://doi.org/10.1016/j.ssc.2023.115221  

[17] Abdulkhudher, B.A., Kadhim, W.K., Mamoun, F., Habeeb, M.A. (2025). Fabrication and adapting the morphological, structural, optical and dielectric performance of PS-ZrC-SiO2 nanocomposite films for optoelectronic and energy storage applications. Silicon, 17(2): 391-409. https://doi.org/10.1007/s12633-024-03206-2

[18] Praveen, H., Chandran, V.G. (2023). Effects of doping nickel oxide in dilelectric property and electrical conductivity of poly (O-toluidine). Journal of Materials Science: Materials in Electronics, 34(18): 1446. https://doi.org/10.1007/s10854-023-10884-y

[19] Hashim, A., Hayder, N., Habeeb, M.A., (2019). Structural and optical properties of novel (PS-Cr2O3/ ZnCoFe2O4) nanocomposites for UV and microwave shielding. Egyptian Journal of Chemistry, 62(Special Issue 2): 697-708. https://doi.org/10.21608/ejchem.2019.12439.1774

[20] Hayder, N., Habeeb, M.A., Hashim, A. (2020) Fabrication of (PS-Cr2O3/ZnCoFe2O4) nanocomposites and studying their dielectric and fluorescence properties for IR sensors. Egyptian Journal of Chemistry, 63: 709-717. 

[21] Kadhim, W.K., Habeeb, M.A. (2024). Synthesis and tuning the structural, optical and electrical behavior of PVA-SiC-BaTiO3 polymer nanostructures for photonics and electronics nanodevices. Journal of Inorganic and Organometallic Polymers and Materials, 34(3): 1403-1416. https://doi.org/10.1007/s10904-023-02900-9

[22] Zhang, Y., Li, X., Chen, J., Wang, Y., et al. (2023). Porous spherical Cu2O supported by wood-based biochar skeleton for the adsorption-photocatalytic degradation of methyl orange. Applied Surface Science, 611: 155744. https://doi.org/10.1016/j.apsusc.2022.155744

[23] Oreibi, I., Habeeb, M.A., Hamza, R.S.A. (2024). Tailoring the structural and optical features of PVA/SiO2-CuO polymeric nanocomposite for optical and gamma ray shielding applications. Silicon, 16(4): 1407-1419. https://doi.org/10.1007/s12633-023-02769-w 

[24] Mahdy, M.A., El Zawawi, I.K., Mounir Ahmad, M. (2024). Structure, optical and magnetic properties of PVA/CuO/CoFe2O4 nanocomposite films for flexible magneto-electronic applications. Materials Science and Engineering: B, 299: 117028. https://doi.org/10.1016/j.mseb.2023.117028

[25] Hamza, R.S.A., Habeeb, M.A. (2024). Fabrication and exploring the morphological, structural and optical characteristics of polyvinyl ALCHOL-carboxymethyl cellulose-silicon dioxide-tin dioxide nanostructures for optoelectronics and antibacterial applications. Silicon, 16(3): 1043-1056. https://doi.org/10.1007/s12633-023-02735-6  

[26] Bouknaitir, I., Panniello, A., Teixeira, S.S., Kreit, L., et al. (2019). Optical and dielectric properties of PMMA (poly (methyl methacrylate))/carbon dots composites. Polymer Composites, 40(S2): E1312-E1319. https://doi.org/10.1002/pc.24977

[27] Hamza, R.S.A., Habeeb, M.A. (2024). Reinforcement of morphological, structural, optical, and antibacterial characteristics of PVA/CMC bioblend filled with SiO2/Cr2O3 hybrid nanoparticles for optical nanodevices and food packing industries. Polymer Bulletin, 81(5): 4427-4448. https://doi.org/10.1007/s00289-023-04913-3

[28] Sabur, D.A., Habeeb, M.A., Hashim, A. (2024). Preparation and structural properties of IN2O3-Go doped PMMA-PC blend for antibacterial applications. Journal of Nanostructures, 14(2): 638-645. https://doi.org/10.22052/JNS.2024.02.024 

[29] Kadhim, W.K., Habeeb, M.A. (2024). Fabrication and tuning the morphological, structural and dielectric characteristics of PVA-PEG-SiO2-Co2O3 nanocomposite films for nanoelectronics and energy storage devices. Silicon, 16(10): 4241-4251. https://doi.org/10.1007/s12633-024-02998-7

[30] Yempally, S., Bonthula, S., Ponnamma, D. (2024). Triboelectric power generation performance of polyvinyl alcohol using ZnO-CuO-AgO trimetallic nanoparticles. Materials for Renewable and Sustainable Energy, 13(2): 265-277. https://doi.org/10.1007/s40243-024-00264-9

[31] Hamza, R.A., Habeeb, M.A. (2024). Synthesis, Characterization and Application of PVA-CMC/SiO2-Cr2O3 Nanostructures. Nanosistemi Nanomateriali Nanotehnologii, 22(1): 107-118. https://doi.org/10.15407/nnn.22.01.107

[32] Zaidi, B., Smida, N., Althobaiti, M.G., Aldajani, A.G., Almdhaibri, S.D. (2022). Polymer/carbon nanotube-based nanocomposites for photovoltaic application: Functionalization, structural, and optical properties. Polymers, 14(6): 1093. https://doi.org/10.3390/polym14061093

[33] Oreibi, I., Habeeb, M.A., Hamza, R.S.A. (2025). Synthesis and boosting the morphological, structural, dielectric, and linear/nonlinear optical features of PVA-Fe2O3/SiO2 hybrid nanostructures for promising nanoelectronic and radiation attenuation applications. Journal of Electronic Materials, 54: 8018-8033 https://doi.org/10.1007/s11664-025-12039-7. 

[34] Abd El-Ghany, W.A., Ismail, A.M., Khattari, Z.Y., Teleb, N.H. (2024). Optimization of the structural, optical and electrical properties of PVA/V2O5 for shielding applications. Radiation Physics and Chemistry, 219: 111656. https://doi.org/10.1016/j.radphyschem.2024.111656 

[35] Mohammed, A.A., Habeeb, M.A. (2023). Effect of Si3N4/TaC nanomaterials on the structural and electrical characteristics of poly methyl methacrylate for electrical and electronics applications. East European Journal of Physics, (2): 157-164. https://doi.org/10.26565/2312-4334-2023-2-15

[36] Taha, T.A., Saleh, A. (2018). Dynamic mechanical and optical characterization of PVC/fGO polymer nanocomposites. Applied Physics A, 124(9): 600. https://doi.org/10.1007/s00339-018-2026-2

[37] Jaber, Z.S., Habeeb, M.A., Radi, W.H. (2023). Synthesis and characterization of (PVA-CoO-ZrO2) Nanostructures for Nanooptoelectronic Fields. East European Journal of Physics, (2): 228-233. https://doi.org/10.26565/2312-4334-2023-2-25  

[38] Abou Hussein, E.M., Abdel Maksoud, M.I.A., Fahim, R.A., Awed, A.S. (2021). Unveiling the gamma irradiation effects on linear and nonlinear optical properties of CeO2-Na2O-SrO-B2O3 glass. Optical Materials, 114: 111007. https://doi.org/10.1016/j.optmat.2021.111007

[39] Algidsawi, A., Hashim, A., Hadi, A., Habeeb, M.A. (2021). Exploring the characteristics of SnO2 nanoparticles doped organic blend for low cost nanoelectronics applications. Semiconductor Physics, Quantum Electronics and Optoelectronics, 24: 472-477. https://doi.org/10.15407/spqeo24.03.472

[40] Qashou, S.I., El-Zaidia, E.F.M., Darwish, A.A.A., Hanafy, T.A. (2019). Methylsilicon phthalocyanine hydroxide doped PVA films for optoelectronic applications: FTIR spectroscopy, electrical conductivity, linear and nonlinear optical studies. Physica B: Condensed Matter, 571: 93-100. https://doi.org/10.1016/j.physb.2019.06.063

[41] Al-Issawe, J.M., Habeeb, M.A., Abdulridha, A.R. (2025). Preparation and modulation of the morphological, structural, electrical, dielectric and linear/nonlinear optical characteristics of PVA-PVP/SiC-Bi2O3 nancomposites for energy storage devices and radiation attenuation. Silicon, 17: 3279-3308. https://doi.org/10.1007/s12633-025-03414-4 

[42] Oreibi, I., Hamza, R.S.A., Habeeb, M.A. (2025). Fabrication and development morphological, structural, dielectric, linear and nonlinear optical properties of PS/BaTiO3-SiC nanocomposites for optoelectronic and energy storage applications. Emergent Materials, 8: 3671-3689. https://doi.org/10.1007/s42247-025-01049-0 

[43] Elbasiony, A.M., Sharshir, A.I., Ghobashy, M.M., Alshangiti, D.M., et al. (2024). Tailoring the linear and nonlinear optical properties of PVC/PE blend polymer by insertion the spindle copper nanoparticles. Optical Materials, 148: 114811. https://doi.org/10.1016/j.optmat.2023.114811

[44] Algidsawi, A.J.K., Hashim, A., Hadi, A., Habeeb, M.A., Abed, H.H. (2022). Influence of MnO2 nanoparticles addition on structural, optical and dielectric characteristics of PVA/PVP for Pressure Sensors. Physics and Chemistry of Solid State, 23(2): 353-360. https://doi.org/10.15330/pcss.23.2.353-360

[45] Deshmukh, S.P., Dhodamani, A.G., Patil, S.M., Mullani, S.B., More, K.V., Delekar, S.D. (2020). Interfacially interactive ternary silver-supported polyaniline/multiwalled carbon nanotube nanocomposites for catalytic and antibacterial activity. ACS Omega, 5(1): 219-227. https://doi.org/10.1021/acsomega.9b02526

[46] Kadhim, W.K., Habeeb, M.A. (2024). Synthesis and tailoring the morphological, structural and optical characteristics of SiO2-CO2O3 nanomaterials doped PVA-PEG for optoelectronic and food packing applications. Optical and Quantum Electronics, 56(8): 1346. https://doi.org/10.1007/s11082-024-07275-w

[47] Beshkar, F., Sabur, D.A., Albahadly, W.K.Y., Lafta, H.A., Kubaisy, M.M.R.A., Salavati-Niasari, M. (2022). Novel FeVO4/CuS heterojunction nanocomposite as a high-performance visible-light-active photocatalyst for ibuprofen degradation in aquatic media. International Journal of Hydrogen Energy, 47(94): 39841-39852. https://doi.org/10.1016/j.ijhydene.2022.09.137

[48] Habeeb, M.A., Oreibi, I., Hamza, R.S.A., Mamoun, F. (2024). Fabrication and unraveling the morphological, structural, optical and dielectric features of PMMA-SiO2/CuO promising ternary nanostructures for nanoelectronic and photonic applications. Silicon, 16(16): 5947-5960. https://doi.org/10.1007/s12633-024-03131-4 

[49] Merino, D., Gutiérrez, T.J., Mansilla, A.Y., Casalongué, C.A., Alvarez, V.A. (2018). Critical evaluation of starch-based antibacterial nanocomposites as agricultural mulch films: Study on their interactions with water and light. ACS Sustainable Chemistry & Engineering, 6(11): 15662-15672. https://doi.org/10.1021/acssuschemeng.8b04162

[50] Mahdi, S.M., Habeeb, M.A. (2025). A comprehensive study on morphological, structural, optical, dielectric, and piezoelectric properties of polyvinyl alcohol/tantalum carbide-silicon dioxide nanocomposites for flexible energy storage devices. Journal of Materials Science: Materials in Electronics, 36(5): 351. https://doi.org/10.1007/s10854-025-14431-9 

[51] Alfehaid, F.A., Charguia, R., Hcini, S., Khirouni, K., Bouazizi, M.L. (2024). Comprehensive structural analysis, magnetic, elastic, and optical properties of Cu-Ni-Co spinel and its potential applications. Optical Materials, 154: 115642. https://doi.org/10.1016/j.optmat.2024.115642

[52] Kadhim, W.K., Habeeb, M.A. (2025). Fabrication and exploring the morphological, structural, dielectric and linear / nonlinear optical characteristics of PMMA/ Fe2O3-SiO2 nanocomposites for promising optoelectronics and radiation attenuation applications. Materials Chemistry and Physics, 339: 130812. https://doi.org/10.1016/j.matchemphys.2025.130812

[53] Kadajji, V.G., Betageri, G.V. (2011). Water soluble polymers for pharmaceutical applications. Polymers, 3(4): 1972-2009. https://doi.org/10.3390/polym3041972

[54] Abdel-Amir, A.H., Habeeb, M.A. (2024). Modification and development of the structural, morphological and dielectric characteristics of polyvinyl alcohol incorporated with cerium dioxide / silicon carbide nanoparticles for nanodielectric and nanoelectronic applications. Silicon, 16(8): 3473-3483. https://doi.org/10.1007/s12633-024-02931-y

[55] Abdul Hamza, R.S., Oreibi, I., Habee, M.A. (2024). Enhancement structural properties and optical energy gap of PVA-ZrO 2-CuO nanostructures for optical nanodevices. Nanosistemi, Nanomateriali, Nanotehnologii, 22(2). https://doi.org/10.15407/nnn.22.02.379 

[56] Zidan, H.M., El-Ghamaz, N.A., Abdelghany, A.M., Lotfy, A. (2016). Structural and electrical properties of PVA/PVP blend doped with methylene blue dye. International Journal of Electrochemical Science, 11(11): 9041-9056. https://doi.org/10.20964/2016.11.08

[57] Abdul Hamza, R.S., Habeeb, M.A. (2024). Structural and dielectric parameters of PVA/CMC blend reinforced with SiO2/SnO2 nanoparticles for nanoelectronics applications. Transactions on Electrical and Electronic Materials, 25(1): 77-88. https://doi.org/10.1007/s42341-023-00486-0

[58] Georgekutty, R., Seery, M.K., Pillai, S.C. (2008). A highly efficient Ag-ZnO photocatalyst: Synthesis, properties, and mechanism. The Journal of Physical Chemistry C, 112(35): 13563-13570. https://doi.org/10.1021/jp802729a  

[59] Hamza, R.S.A., Habeeb, M.A., Oreibi, I. (2025). Boosting the morphological, structural, optical, and dielectric characteristics of MgO-SiC nanomaterials merged with organic polymer for high-performance energy storage devices. Journal of Materials Science: Materials in Electronics, 36(6): 390. https://doi.org/10.1007/s10854-025-14475-x

[60] Gong, X., Tang, C.Y., Pan, L., Hao, Z., Tsui, C.P. (2014). Characterization of poly (vinyl alcohol) (PVA)/ZnO nanocomposites prepared by a one-pot method. Composites Part B: Engineering, 60: 144-149. https://doi.org/10.1016/j.compositesb.2013.12.045

[61] Alshammari, A.H. (2024). Structural, optical, and thermal properties of PVA/SrTiO3/CNT polymer nanocomposites. Polymers, 16(10): 1392. https://doi.org/10.3390/polym16101392

[62] Saini, I., Sharma, A., Dhiman, R., Chandak, N., Aggarwal, S., Sharma, P.K. (2017). Functionalized SiC nanocrystals for tuning of optical, thermal, mechanical and electrical properties of polyvinyl alcohol. Thin Solid Films, 628: 176-183. https://doi.org/10.1016/j.tsf.2017.02.061

[63] Abdel-Amir, A.H., Habeeb, M.A. (2024). Fast and simple fabrication of ternary PVA/CeO2/SiC nanocomposites for optoelectronic and antimicrobial applications. Silicon, 16(6): 2703-2717. https://doi.org/10.1007/s12633-024-02874-4

[64] Al-Mamoori, A.Y., Awad, N.M., Al-Nesraway, S.H., Al-Issawe, J.M., Hamza, E.R., Al-Maamori, M.H. (2020). Preparation of polymer nano-composite materials for microwave sensor application. Indian Journal of Forensic Medicine Toxicology, 14(3): 1477-1484.

[65] Al-Sharifi, N.K., Mohammed, A.A., Habeeb, M.A., Oreibi, I., Abdul Hamza, R.S. (2024). Synthesized polymeric nanocomposites with enhanced optical and electrical characteristics based on SiO2 nanoparticles for multifunctional technological applications. Journal of Electronic Materials, 53(10): 6498-6507. https://doi.org/10.1007/s11664-024-11298-0

[66] Naveen Kumar, K., Rao, J.L., Ratnakaram, Y.C. (2015). Optical, magnetic and electrical properties of multifunctional Cr3+: Polyethylene oxide (PEO) + polyinylpyrrolidone (PVP) polymer composites. Journal of Molecular Structure, 1100: 546-554. https://doi.org/10.1016/j.molstruc.2015.07.066 

[67] Mamoun, F., Habeeb, M.A., Mahdi, S.M. (2024). Boosting of structural, optical, and dielectric characteristics of PVA polymer using CoO-SiO2 nanoparticles for advanced optoelectronic applications. Silicon, 16(9): 3917-3928. https://doi.org/10.1007/s12633-024-02970-5

[68] Alruwaili, A., El Sayed, A.M. (2024). Characterization and the physical properties of nano-sized Bi2O3/polymer for energy and high-refractive index applications. Results in Physics, 61: 107746. https://doi.org/10.1016/j.rinp.2024.107746

[69] Abdelaziz, M., Abdelrazek, E.M. (2007). Effect of dopant mixture on structural, optical and electron spin resonance properties of polyvinyl alcohol. Physica B: Condensed Matter, 390(1): 1-9. https://doi.org/10.1016/j.physb.2006.07.067

[70] Abdul Hamza, R.S., Habeeb, M.A. (2024). Effect of SiO2-SnO2 nanofiller on the characteristics of biopolymer blend and its application as gamma-ray shielding. Nanosistemi, Nanomateriali, Nanotehnologii, 22(2): 367-378. https://doi.org/10.15407/nnn.22.02.367 

[71] Mohammed, M.K., Sabur, D.A., Hashim, A., Hadi, A., Habeeb, M.A., Rabee, B.H. (2023). Enhancement of optical properties in In2O3-doped PVA/PEG nanostructured films for optoelectronic applications. Revue des Composites et des Matériaux Avancés, 33(6): 411-417. https://doi.org/10.18280/rcma.330608  

[72] Abebe, B., Murthy, H.C.A., Zereffa, E.A., Adimasu, Y. (2021). Synthesis and characterization of ZnO/PVA nanocomposites for antibacterial and electrochemical applications. Inorganic and Nano-Metal Chemistry, 51(8): 1127-1138. https://doi.org/10.1080/24701556.2020.1814338

[73] Matysiak, W., Tański, T., Zaborowska, M. (2016). Analysis of the optical properties of PVP/ZnO composite nanofibers. In Properties and Characterization of Modern Materials, pp. 43-49. https://doi.org/10.1007/978-981-10-1602-8_4 

[74] Kumar, S.S., Venkateswarlu, P., Rao, V.R., Rao, G.N. (2013). Synthesis, characterization and optical properties of zinc oxide nanoparticles. International Nano Letters, 3(1): 30. https://doi.org/10.1186/2228-5326-3-30 

[75] Hadi, A.H., Habeeb, M.A., Sabur, D.A. (2024). Enhancement of structural and dielectric properties of PVA-BaTiO3-CuO nanostructures for electronic and electrical applications. Nanosistemi, Nanomateriali, Nanotehnologii, 22(4): 903-913. https://doi.org/10.15407/nnn.22.04.903  

[76] Hashim, A., Kadham, A.J., Hadi, A., Habeeb, M.A. (2021). Determination of optical parameters of polymer blend/nanoceramics for electronics applications. Nanosistemi, Nanomateriali, Nanotehnologii, 19(2): 0327-0336. https://doi.org/10.15407/nnn.19.02.327

[77] Mamoun, F., Habeeb, M.A., Oreibi, I., Hamza, R.S.A. (2025). Synthesis and tuning the morphological, structural, optical and dielectric features of SiO2/CuO futuristic nanocomposites doped PVA-PEG for optoelectronic and energy storage applications. Journal of Inorganic and Organometallic Polymers and Materials, 35(4): 2391-2405. https://doi.org/10.1007/s10904-024-03334-7

[78] Nazir Kayani, Z., Chaudhry, W., Sagheer, R., Riaz, S., Naseem, S. (2022). Effect of Ce doping on crystallite size, band gap, dielectric and antibacterial properties of photocatalyst copper oxide Nano-structured thin films. Materials Science and Engineering: B, 283: 115799. https://doi.org/10.1016/j.mseb.2022.115799

[79] Bouras, D., Aouar, L., Barille, R., Mamoun, F., El-Hiti, G.A., Habeeb, M.A. (2024). Structural and antibacterial activity of developed nano-bioceramic DD3/ZrO2/ZnO/CuO powders. Journal of the Korean Ceramic Society, 61: 837-853. https://doi.org/10.1007/s43207-024-00398-6 

[80] Alrowaili, Z.A., Taha, T.A., El-Nasser, K.S., Donya, H. (2021). Significant enhanced optical parameters of PVA-Y2O3 polymer nanocomposite films. Journal of Inorganic and Organometallic Polymers and Materials, 31(7): 3101-3110. https://doi.org/10.1007/s10904-021-01995-2

[81] Zyoud, S.H., Al Abdulaal, T.H., Almoadi, A., Alqahtani, M.S., et al. (2023). Linear/nonlinear optical characteristics of ZnO-Doped PVA/PVP polymeric films for electronic and optical limiting applications. Crystals, 13(4): 608. https://doi.org/10.3390/cryst13040608