Analytical, Experimental and Computational Analysis of Heat Released from a Hot Mug of Tea Coupled with Convection, Conduction, and Radiation Thermal Energy Modes

Analytical, Experimental and Computational Analysis of Heat Released from a Hot Mug of Tea Coupled with Convection, Conduction, and Radiation Thermal Energy Modes

Muhammad Suleman Piotr Gas*

Department of Mathematics, Riphah Institute of Computing & Applied Sciences (RICAS), Riphah International University, Lahore 54000, Pakistan

Department of Electrical and Power Engineering, Faculty of Electrical Engineering, Automatics, Computer Science and Biomedical Engineering, AGH University of Krakow, Krakow 30059, Poland

Corresponding Author Email: 
piotr.gas@agh.edu.pl
Page: 
359-372
|
DOI: 
https://doi.org/10.18280/ijht.420201
Received: 
10 February 2024
|
Revised: 
21 March 2024
|
Accepted: 
28 March 2024
|
Available online: 
30 April 2024
| Citation

© 2024 The authors. This article is published by IIETA and is licensed under the CC BY 4.0 license (http://creativecommons.org/licenses/by/4.0/).

OPEN ACCESS

Abstract: 

Abundant, affordable, reliable, and safe energy is the need of nowadays since much heat is wasted due to lack of innovation for converting it into useful purposes. Computational studies are helpful in analyzing physical phenomena releasing heat and saving costs and time that subjected to experimentations. This study is orchestrated to investigate the thermal analysis of heat emitted from the hot mug of tea into open atmosphere through convection, conduction, and radiation phenomena. There were analysed tea mugs made from different materials like glass, plastic, porcelain, and stainless steel. The mathematical models of the thermal energies modes associated with analyzed mugs were explored, coupled and simulated in FEM-based software to obtain productive conclusions. Simulation results showed that change of mesh type impacts on solution of the temperature versus time and space coordinate. Moreover, the influence of different parameters like surface radiosity, total heat flux, mean thermal diffusivity, radiative heat flux, internal total energy flux, and total energy were computed. Finally, the analytical time-varying cooling curves were validated with an experimental study and analytical solutions in good agreement for different mug materials used. On the bases of this study, we suggest that heat released from a warm mug of tea may be very useful if it employed to charge mobile battery through heating pads kept under hot mug of tea.

Keywords: 

heat energy, convection, conduction, radiation, numerical simulation, finite element method, temperature measurements, analytical temperature solution

1. Introduction

Tea has been one of the most liked beverages since ancient times, the brewing and drinking of which has a cultural and social dimension in many countries [1]. A tea ceremony was originally transmitted from China and India to Japan and then went to Britain, other European countries and then to American Colonies [2, 3]. A tea consumption possesses many benefits; being healthy, it supplied nutrients that are needed for daily work, being antioxidants, it kills the free radicals generated from exposure to sun light and pollution [4]. Some research shows that tea may reduce bad cholesterol and blood pressure levels as well as risk of neurodegenerative diseases, such as Alzheimer’s and Parkinson’s diseases [5]. Historically, tea is termed as Camellia thea or Camellia sinesis, which is decedent of the Theaceae plant family and was explored in Southwest China nearly 5000 years ago [6]. About 2737 B.C., Shen Nung, the 2nd emperor of China, is believed to have discovered tea when the leaf of the plant of Camellia sinensis fell into his cup of hot water [7]. Portuguese Jesuit missionary Father Jasper de Cruz was the first European to encounter tea and write about it was the in 1560. Around 1650, Dutch introduced several teas and tea traditions to New Amsterdam (which later became New York). The first tea sold as a health beverage was in London, England, at Garway’s Coffee House in 1657. In 1826, John Horniman introduced the first retail tea in sealed, lead-lined packages. In 1870, the British company Twinings of England began to blend different kinds of tea for uniformity. In 1904, the English man Richard Blechynden created iced tea during a heat wave at the St. Louis World Fair. Next, Thomas Sullivan, the New York tea importer inadvertently invented tea bags in 1908 when he sent tea to clients in small silk bags and they mistakenly steeped the whole bags. Finally, the world’s first instant tea was developed in 1930s and introduced as commercial product in 1946. Nowadays, black tea is consumed principally in Europe, North America, and North Africa, whereas green tea is taken throughout Asia [7]. The most famous varieties of Camellia thea are Camellia sinensis var. sinesis (L.) O. Kuntze (Chinese tea) and Camelia sinesis var. assamica (Assam tea or Indian tea), which differ in sizes of bushes and leaves and occurrence region [8, 9]. Tea plants are generally grown in rain fed areas and depends on weather conditions for its best production [10]. China, Vietnam and Japan are the major producers of green tea, while India, Kenya, China, Turkey and Sri Lanka are the major producing countries of black tea [11]. In 2021, the largest tea producers in the world are China (47.45%), India (20.81%), Kenya (8.33%), Sri Lanka (4.63%) and Turkey (4.37%) [12]. Therefore, a tea culture provides people not only socialize, relax, and enjoy a tasty drink, but also is an important part of tea tourism [13] and tea industry [14].

Heat transfer, related to the transfer of energy between two systems with different temperatures, is generally categorized into three modes: conduction, convection, and radiation [15-17]. The heat conduction is caused by actual movements (collisions and diffusion) of the molecules in liquids and gasses. It is exchange of kinetic energy of microscopic particles within one body or bodies staying in direct contact. The thermal conduction causes transfer of energy either from free electrons migration or phonons (vibration energy quantum of lattice) i.e. due to lattice vibrational waves. The conduction of heat is based on driving force (driving potential) in the form of temperature difference. The heat convection is caused due to mass movement of the heated molecules. It generally occurs when bulk flow carries heat along with the flow of matter within the fluid. Convection takes place following the coupled advection and diffusion effects. Due to complexity of convection, the convection heat transfer rate is proved to be proportional to the temperature difference and is termed as Newton’s law of cooling. Radiation is the heat transfer due to electromagnetic waves because of the changes in the electronic configurations of each atom or molecule of body with given temperature. Radiation heat transfer occurs most efficiently in vacuum, thus no medium is required to be present between the bodies, whereas both convection and conduction phenomena need a material medium to be present.

The significant studies helpful in heat transfer analysis of warm cup of tea cooling include the following literature. Vollmer [18] dealt with Newton’s law of cooling for typical cooling objects. He is of the opinion that heat is released from hot objects not only following conduction and convection effects but also from radiation phenomenon. He stated that the radiation mode does not varies linearly with time. But he focused on the conditions on which all these three modes of heating follow the linear behavior during the time. Rees and Viney [19] investigated the factors that impact on rate of cooling of hot coffee and tea. This was a theoretical study along with experimental analysis that was performed using domestic apparatus. The result showed that under the same conditions, the black coffee cools earlier than white coffee. Arslan and Togrul [20] fitted diversity of mathematical models to the water sorption isotherms of tea. The tea was kept in a chamber where the humidity and temperature were controlled. They concluded that Henderson, Peleg, and Smith equations were good to fitting the sorption behavior of the tea. Moreover, they stated that the total enthalpy decreases with increasing moisture content. Condoret [21] analyzed heat and mass transfer in the cooling cup of coffee through heat loss occurs by free convection, radiation and evaporation resulting from the vaporization of hot water. The considered model is analogic to the case of solid cooling, where the Biot number (Bi << 1), defining the ratio between conductive heat transfer inside the object and convective heat transfer outside it, plays an important role, but in this case Bi number is equal to 0.8. Comparison the numerical model with the experiment resulted in satisfactory agreement. Sidebotham [22] describes the concepts of heat transfer in the cooling mug of coffee based on lumped capacity and overall heat transfer coefficients. In the first approach, it was assumed that the liquid, as a mixture of warmer and cooler places, could be divided into a finite number of volume elements with a fixed average temperature, which are assigned specific values of lumped capacity. The second approach based on the heat transfer coefficient describes the classic heat transfer caused by the temperature difference between the mug of coffee and the surroundings. These two approaches were integrated into one theoretical model and compared with the measurements. Reddy et al. [23] created a 3D numerical model of cup filled with coffee to estimate its transient thermal behavior. The convective heat transfer between the coffee, the coffee mug and the surrounding air was numerically established based on Fourier law of conduction process using finite element method. The model compared various ceramic materials (ceramic, fly ash, siliceous sand and clay) with low thermal conductivity. The results showed that cups made of clay and fly ash had better temperature profiles compared to other considered materials. Noor et al. [24] investigated cooling of coffee using two models solved by the first-order linear ordinary differential equations (ODEs). The models were solved analytically based on Euler and Heun methods and then verified with the experimental results. The authors showed that Heun approach provides better solution than Euler one.

Heat analysis is an important phenomenon while dealing with problems in industry [25-28], technology [29-31] and biomedical applications [32, 33]. It usually takes about 20-30 minutes to place a mug of hot tea on the table for cooling. The temperature decreases generally from about 85℃ to reach room temperature. The question is why we cannot use this heat loss during the tea cooling time for some useful work. For example, simple micro devices for charging of mobile phones due to heating pads kept under the hot mug of tea can be developed. For some lighting purpose, simple soft blanketed battery charging placed around the tea cup can be designed. To use thermal energy losses motivated us to perform this study. Therefore, presented paper is so important to perform thermal analysis from the heat loss released from tea-cooling.

The heat transfer models related to radiation, convection, conduction, based on thermal energy formulations and Fourier’s law of heat conduction, would be employed in the current study. We will use these basic models and extend them according to the problem statement in the current study under the influence of internal and external heat transfer processes subject to initial and boundary conditions. The present study is novel since the following ways: 1) A theoretical, computational and experimental analysis of the heat released from a cooling mug of tea has been performed. 2) This heat analysis is carrying the coupling of convection, conduction, and radiation phenomena. 3) The finite element method (FEM) is used to solve the corresponding physics of the models. This method is superior over other used numerical methods like the finite difference method (FDM), finite volume method (FVM), and boundary element method (BEM) due to model geometry flexibility while processing irregular shapes. 4) Such computational studies like those in the current paper are not existing in literature but only some prominent mathematical models dealing with heat analysis of cooling objects limited to one or two main thermal processes exist. 5) The real time experiment is performed to investigate the cooling curve of tea in the ceramic mug. 6) The theoretical numerical results have been validated with experimental results in good agreement. 7) This research gives some useful recommendations to develop new useful devices helpful in thermal energy harvesting. To the best of the authors' knowledge, the presented comprehensive study of the tea cooling process in cups made of various materials is not available in the literature on the subject.

2. Materials and Methods

The heat from hot mug of tea is released through the following modes: convection, conduction, and radiation. This heat loss can be used for mobile phones charging or power supplying of LED (Light Emitted Diode) lighting during night. The objective of this study is to analyze this thermal loss through mathematical modelling and numerical simulation approaches. Through the computational and experimental approaches, the results would be analyzed, quantitatively.

Graphical representation of the problem is shown in Figure 1. Our solution strategy is to first perform an experiment and temperature of the hot tea mug should be measured with time. Later, the mathematical modelling framework containing the convection, conduction, and radiation modes will be developed and all the coupled models will be solved using COMSOL Multiphysics software.

2.1 Governing equations

Governing equations coupled with convection, conduction, and radiation thermal energy modes during hot mug of tea cooling are presented in the following sections.

2.1.1 Radiative heating modelling

The rates of radiative thermal energy, namely radiated power Prad (W) and emissive power E (W/m2), at which tea surface emits radiative thermal energy (heat Q) to the room is given by the following equations resulted from the Stefan Boltzmann law of radiation [34, 35]:

$P_{\mathrm{rad}}=\frac{\mathrm{d} Q_{\text {tea }}}{\mathrm{d} t}=\varepsilon \sigma A_{\mathrm{s}} T_{\text {tea }}^4$              (1)

$E=p_{\mathrm{rad}}=\frac{P_{\mathrm{rad}}}{A_{\mathrm{s}}}=\varepsilon \sigma T_{\text {tea }}^4$              (2)

where, σ=5.67×10–8 W/(m2‧K4) is Stefan Boltzmann constant and Ttea (K) is the absolute temperature of the tea surface, which is set at 356.15 K (83℃) in the current study. Moreover, ɛ is the emissivity that ranges from ɛ = 0 for perfect thermal mirror to ɛ = 1 for black body, As = π Rtea2 = 44.18 cm2 is the area of radiation surface of tea in the mug, and Rtea = 3.75 cm is the radius of radiation surface.

The thermal energy may also absorbed from room to the tea and is called irradiation G (W/m2). The rate of irradiation energy, which is absorbed by the tea, is represented by:

$P_{\text {absorb }}=\frac{\mathrm{d} Q_{\text {room }}}{\mathrm{d} t}=\alpha \sigma A_{\mathrm{s}} T_{\text {room }}^4$              (3)

$G=p_{\text {absorb }}=\frac{P_{\text {absorb }}}{A_{\mathrm{s}}}=\alpha \sigma T_{\text {room }}^4$              (4)

where, α is absorptivity as well as emissivity also ranges from 0 ≤ α ≤ 1. Troom is the absolute temperature of room.

The rate of radiation energy, which is reflected by the tea surface, is given by:

$P_{\text {ref }}=\frac{\mathrm{d} Q_{\mathrm{ref}}}{\mathrm{d} t}=\rho \sigma A_{\mathrm{s}} T_{\mathrm{room}}^4$             (5)

$G_{\text {ref }}=p_{\text {ref }}=\frac{P_{\text {ref }}}{A_{\mathrm{s}}}=\rho \sigma T_{\text {room }}^4$             (6)

where, ρ is reflectivity that as well as absorptivity also ranges from 0 ≤ ρ ≤ 1, and α + ρ = 1.

Another important parameters are: surface radiosity J (W/m2), that is all radiative energy leaving the tea surface, and net radiative heat flux q (W/m2) from the tea surface, defined as [15, 36]:

$J=E+G_{\mathrm{ref}}=E+\rho G$             (7)

$q=J-G=E-(1-\rho) G=E-\alpha G$             (8)

Therefore, the net rate of radiative thermal energy transferred from tea surface to the room is governed by:

$P_{\text {net }}=q A_{\mathrm{s}}=\varepsilon \sigma A_{\mathrm{s}} T_{\text {tea }}^4-\alpha \sigma A_{\mathrm{s}} T_{\text {room }}^4$             (9)

Figure 1. The heat released from hot mug of tea to surroundings – the problem statement, solution and validation strategy

$p_{\text {net }}=q=\varepsilon \sigma T_{\text {tea }}^4-\alpha \sigma T_{\text {room }}^4$                   (10)

In the state of thermodynamic equilibrium (ɛ = α = 1 – ρ), the boundary surface is called a grey body surface and the above equations form [15, 31]:

$P_{\text {net }}=\varepsilon \sigma A_{\mathrm{s}}\left(T_{\text {tea }}^4-T_{\text {room }}^4\right)$                  (11)

$p_{\text {net }}=\varepsilon \sigma\left(T_{\text {tea }}^4-T_{\text {room }}^4\right)$                  (12)

2.1.2 Convective heating modelling

The convective thermal energy transferred between hot tea and surrounding air is defined by [16, 21]:

$P_{\text {conv }}=\frac{\mathrm{d} Q_{\mathrm{conv}}}{\mathrm{d} t}=h_{\mathrm{air}} A_{\mathrm{s}}\left(T_{\text {tea }}-T_{\text {room }}\right)$                  (13)

$p_{\text {conv }}=\frac{P_{\text {conv }}}{A_{\mathrm{s}}}=h_{\text {air }}\left(T_{\text {tea }}-T_{\text {room }}\right)$                  (14)

where, hair = 10 W/(m2∙K) [37] is convective heat transfer coefficient of the air.

2.1.3 Conductive heating modelling

The conductive thermal energy emitted from a mug of tea to the outer room space is modeled through the Fourier’s law of heat conduction as [38, 39]:

$P_{\text {cond }}=\frac{\mathrm{d} Q_{\text {cond }}}{\mathrm{d} t}=-\frac{k_{\mathrm{mug}} A_{\mathrm{s}}}{d}\left(T_{\text {tea }}-T_{\text {room }}\right)$                  (15)

$p_{\text {cond }}=\frac{P_{\text {cond }}}{A_{\mathrm{s}}}=-\frac{k_{\text {mug }}}{d}\left(T_{\text {tea }}-T_{\text {room }}\right)$                  (16)

where, dQ/dt means the heat transfer rate, kmug = 1.5 W/(m∙K) [40] is the thermal conductivity of porcelain mug, and d = 0.3 cm (see Figure 2(a)) is the thickness of the tea mug.

On the other hand, the heat conduction of tea is modelled by the specific heat using the formula resulted from energy balance [17, 36, 41]:

$Q_{\text {cond }}=C_{\text {tea }} m_{\text {tea }}\left(T_{\text {tea }}-T_{\text {room }}\right)$                 (17)

where, Ctea = 4183 J/(kg‧K) is the specific heat of tea (water), mtea = 280 g is the mass of tea in the mug, and ΔT = TteaTroom = (83–19)℃ = 64℃ is the temperature difference between initial temperature of a hot tea and the final tea temperature, which is room temperature.

Substituting Eq. (17) into Eq. (15) we have:

$C_{\text {tea }} m_{\text {tea }} \frac{\mathrm{d}\left(T_{\text {tea }}-T_{\text {room }}\right)}{\mathrm{d} t}=-\frac{k_{\text {mug }} A_s}{d}\left(T_{\text {tea }}-T_{\text {room }}\right)$                 (18)

By using simple technique separating the variables and integration, we get the following analytical solution for tea temperature, which complete derivation is given in Appendix section, namely:

$T_{\text {tea }(t)}=T_{\text {room }}(t)+\left[T_{\text {tea }}(0)-T_{\text {room }}(0)\right] \mathrm{e}^{-\frac{k_{\text {mug}} A_{\mathrm{s}}}{C_{\text {tea }} m_{\text {tea }} d} t}$                 (19)

2.1.4 Heat transfer modelling inside the tea

Heat transfer (conduction and convection) in liquids (e.g. tea) is described by the Fourier-Kirchhoff equation, also called the heat equation [42, 43]:

$\begin{gathered}\rho_{\mathrm{m}_{\mathrm{tea}}} C_{\mathrm{tea}} \frac{\partial T_{\text {tea }}}{\partial t}+\rho_{\mathrm{m}_{\mathrm{tea}}} C_{\text {tea }} \mathrm{u} \cdot \nabla T_{\text {tea }} +\nabla \cdot\left(-k_{\text {tea }} \nabla T_{\text {tea }}\right)=Q_{\mathrm{ext}}\end{gathered}$                 (20)

where, u (m/s) means a fluid velocity vector, ∇ is a nabla operator, and Qext (W/m3) contains all external heat sources forced in the model. Moreover, the term in the brackets stands for the heat flux vector q = –kTtea (W/m2) according to the Biot-Fourier’s law of heat conduction.

For uniform, isotropic and linear material properties with constant parameters and dividing both sides of above equation by the volumetric heat capacity ρm_teaCtea (J/(m3‧K)) we get:

$\frac{\partial T_{\text {tea }}}{\partial t}+\mathrm{u} \cdot \nabla T_{\text {tea }}-\alpha_{\text {t_tea }} \nabla^2 T_{\text {tea }}=\frac{Q_{\text {tea }}}{\rho_{\mathrm{m}_{-} \text {tea }} C_{\text {tea }}}$                 (21)

$\alpha_{\mathrm{t}_{\text {_tea }}}=\frac{k_{\text {tea }}}{\rho_{\mathrm{m} \text { tea }} C_{\text {tea }}}$                 (22)

where, αt_tea (m2/s) is thermal diffusivity of tea and depends on material properties.

For the values of tea (water) parameters [40, 41]: ktea = 0.606 W/(m∙K), ρm_tea = 1000 kg/m3, Ctea = 4183 J/(kg∙K), the diffusivity becomes a value αt_tea = 0.145 mm2/s. The term Qtea (W/m3) is a heat source related to hot tea, which value is calculated in COMSOL according to the Eq. (17) as: Qtea = Cteamtea (TteaTroom) = 75 kW/m3. The remaining para-meters has their usual meanings.

2.1.5 Initial and boundary conditions

Convective heat flux at the outer boundary of computational domain is defined as:

$-\mathbf{n} \cdot k \nabla T=h_{\text {air }}\left(T_{\text {room }}-T\right)$                (23)

Thermal insulation on a tea-mug boundary surfaces is defined as:

$-\mathbf{n} \cdot k_{\text {mug }} \nabla T=0$                (24)

where, n is a unit vector normal to the given boundary surface.

According to the Eqs. (7)-(10), the net radiative heat from tea surface is modelled using formula [42]:

$q=E_{\text {tea }}-\alpha G_{\text {room }}=\varepsilon \sigma T_{\text {tea }}^4-\alpha \sigma T_{\text {room }}^4$                (25)

where, Etea (W/m2) is emissive power emitted by the teas surface and Groom (W/m2) is the ambient irradiation from the surrounding room. Considered model omits the mutual irradiation, coming from other boundaries of the model, and irradiation from external radiation sources, which are not considered in this study.

Initial velocity vector is taken as zero vector, namely:

$\mathrm{u}=\left(u_x \mathrm{e}_x, u_y \mathrm{e}_y, u_z \mathrm{e}_z\right)=(0,0,0) \mathrm{m} / \mathrm{s}$                (26)

where, ex, ey, ez are unit vectors in the direction of the axes of the Cartesian system.

2.2 Model definition

To implement the considered problem on COMSOL Multiphysics software [42], firstly, all governing Eqs. (1)-(26) were added to the model in the physics section. Next, temperature dependent study was added for transient thermal analysis. Three materials were added to the model, namely: air, water for tea and porcelain for tea mug. They are modelled as isotropic, homogeneous and linear media with constant parameters as indicated in Table 1. The geometry of the model was constructed using simple objects like cylinders, blocks, and doughnut as shown in Figure 2(a). The inner radius of the mug was Rint = 3.75 cm and outer radius was Rout = 4.05 cm, height was Hmug = 9.5 cm, and the height of tea in the mug was Htea = 6 cm. Thickness of the mug was d = RoutRint = (4.05 – 3.75) cm = 0.30 cm. The mug handle with diameter of Hring = 7.2 cm was formed a half ring with radius Rring = 3.6 cm. The volume of tea is Vtea = π × Rtea2 × Htea = 265.05 cm3. Outer block that acts as open space air domain has dimensions of 16 cm × 16 cm × 16 cm. As illustrated in Figure 2(b), the entire computational area is divided into 4 areas, including air (1), mug (2) and tea (1) domains. All used boundary conditions are illustrated in Figure 2(c).

2.3 Mesh analysis

After constructing the model geometry, the mesh of the model was generated in sample mesh mode. Next, the model is meshed into different mesh types as shown in Figure 3. The quantitative analysis of the elements used in each mesh mode is presented in Figure 4. The exact element numbers are summarized in Table 2.

Steady state temperature versus x-coordinate curves along the line path lying between points (–4,0,5) cm and (4,0,5) cm for finer, fine, normal, and coarser meshes is presented in Figure 5(a). The obtained results show that all mesh densities achieve the same temperature of 83℃ in the steady state. The differences between mesh modes were observed in the transient temperature state. The temperature increases the fastest for finer mesh and the least for coarser mesh mode. Taking into account the accuracy and calculation time, the finer mesh mode was selected for further analysis. Figure 5(b) shows that at the outer edges of the geometry, mesh elements have larger sizes, whereas in the middle of the geometry, elements of small sizes have been used. This is typical behavior aimed at optimizing the elements number during meshing of the model.

(a)

(b)

(c)

Figure 2. Simulation model of tea mug: a) model dimensions, b) transparent view of the mug enclosed in air domain, c) thermal boundary conditions. All dimensions are given in cm

Table 1. Properties of materials used in the simulation [40, 41, 44-47]

Materials

Mass Density ρm (kg/m3)

Heat Capacity C (J/kg/K)

Thermal Conductivity k (W/m/K)

Thermal Diffusivity αt (mm2/s)

Air

1

1004

0.030

29.88

Mug (glass)

2700

840

0.780

0.344

Mug (plastic)

1350

1250

0.300

0.178

Mug (porcelain)

2400

1050

1.500

0.595

Mug (steel)

7817

460

16.30

4.533

Tea (water)

1000

4183

0.606

0.145

Table 2. Meshing details of the tea mug model

Mesh Type

Domain Elements Number

Boundary Elements Number

Edge Elements Number

Vertex Elements Number

Free Meshing Time (s)

Minimum Element Quality

Finer Mesh

166184

14240

948

41

6.33

0.1072

Fine Mesh

82411

9426

785

41

3.75

0.05739

Normal Mesh

48680

6430

637

41

2.68

0.004412

Coarser Mesh

13190

2678

400

41

1.26

0.0004151

Figure 3. Meshing of the tea mug model: (a) complete model in finer mesh mode. Transparent view of the model for: (b) finer mesh, (c) fine mesh, (d) normal mesh, (e) coarser mesh modes

Figure 4. Meshing details with percentage of the mesh elements in each mesh type

Figure 5. (a) Steady state temperature versus x-coordinate curves along the line path lying between points (–4,0,5) cm and (4,0,5) cm for different mesh densities; (b) Element size distribution in the entire geometry model with finer mesh

Figure 6. (a) Temperature distribution in the mug of tea and surrounding air domain; (b) Distribution of total heat flux in the time moment t = 112 minutes

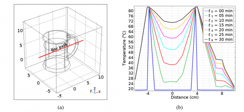
Figure 7. (a) Visual representation of the observation path; (b) Temperature versus distance along x-coordinate profiles at the given time moments. All coordinates are given in cm

3. Results

In the following part, the tea mug model was resolved to obtain temperature distribution inside whole computational area in the steady state for time moment t = 112 min as shown in Figure 6(a).

The heat is released from a mug of hot tea and it is transferred to the external environment. The maximum tea temperature is 83℃ and this temperature is then decreased to the room temperature of 19℃. The stream lines of the tea are shown in blue color to emphasize the role of hot tea as a source of heat. The total heat flux distribution is shown in Figure 6(b). As expected, it is directed from the center of the tea mug, where it takes the highest value of 2650 W/m2, to the outside. The lowest values were observed on the surface of the mug, where intense heat exchange with the sur-rounding air takes place, and in the central part of the mug handle.

To have better thermal analysis of tea temperature distribution, a selected a line path along coordinate x-axis has been selected as shown in Figure 7(a), and the corresponding temperature versus x-coordinate profiles at the given time moments are presented in Figure 7(b). The obtained curves show that the thermal profiles are shifted to the higher temperatures with increasing time. The temperature of tea in the mug is maximum and it decreases rapidly in moving from mug boundaries to the outer space.

In the following part, we have simulated some additional parameters. The radiosity of hot tea emitted from tea surface has been simulated as shown in Figure 8(a). The radiosity is maximum at the central cross section area and minimum at the regions adjacent with the walls of the tea mug.

Another important plot of surfaces with total heat flux after time t = 112 minutes has been shown in Figure 8(b). Maximum temperature surfaces pass from tea domains and minimum temperature surfaces passes from the outer space around the tea mug. It is also evident from the arrow plots. The mean thermal diffusivity of the tea has been simulated in Figure 8(c). The diffusivity is almost uniform throughout the domains. The heat flux radiated from the tea surface in the steady-state is shown in Figure 8(d). The streamlines show the distribution of radiative heat in the whole mug domain. Moreover, the isotherms and total heat flux from the cooling tea in the steady state is presented in Figure 8(e). In this drawing, we can see total heat flux has the greatest value inside the tea under the static conditions. Lastly, the tea temperature distribution is shown in Figure 8(f). It can be seen here that total internal energy of the tea in the steady state has an almost uniform distribution, except for the top tea surface and bottom of the mug where tea-cooling is observed due to conductive heat flow from the external air or mug with lower temperatures.

Figure 8. (a) Radiosity distribution emitted from tea surface; (b) ISO-surfaces with total heat flux distribution throughout all domains; (c) Mean thermal diffusivity distribution of the tea; (d) Radiated heat flux distribution; (e) Total energy flux distribution; (f) Total internal energy of the tea after 112 min

3.1 Experiments

An experimental measurement was performed to get the real time-dependent profiles of cooling tea due to heat loss released by tea poured in a porcelain mug and other mug materials as shown in Figure 9(a). A stainless steel sensor probe for measuring the temperature was put into the hot tea. The needle was calibrated with HVACDIRECT Digital Thermometer (from HVACDIRECT WT2THERMO). The initial tea temperature of 83℃ suddenly started to cool down with time to room temperature of 19℃. The values of temperature with time were recorded in a table. The experiment was repeated by varying the mug material i.e. glass, stainless steel and plastic mugs as shown in Figure 9(b)-(d). The recorded readings of temperature and time for all four experiments are given in Supplementary Material attached with the paper.

The experimental tea-cooling curves is validated with theoretical model stated in Eq. (12) and computational model curve in each case as shown in Figure 10(a)-(d). The agreement between theoretical, experimental, and computational model tea-cooling curves is excellent for all considered mug materials. However, the curves slightly deviates from each other, the reasons for this is due to the inclusion in the simulation the material constants available in the literature, which may differ from the properties of the real model. Nevertheless, it can be concluded that computational results agree well with the theoretical and experimental results.

Figure 9. Experimental set up for recording time dependent thermal profile of cooling tea for: (a) porcelain mug, (b) stainless steel mug, (c) glass mug, (d) plastic mug of tea

Figure 10. Validation of experimental, analytical, and computational tea-cooling curves for various mug models: (a) porcelain mug, (b) stainless steel mug, (c) glass mug, (d) plastic mug of tea

Lastly, the comparison of experimental cooling curves for all mug materials are demonstrated in Figure 11. The global behavior of all curves is identical; however, the material properties forced them to behave differentially under the same external environment with room temperature 19℃. All tea-cooling temperature curves were measured using the same digital thermometer as described before. The temperature sensor was positioned in the same place in each measurement and the volume and mass of the tea fluid were identical. All temperature recordings are stopped after 112 minutes time period.

Figure 11. Comparison of experimental tea-cooling curves in the case of porcelain, steel, glass and plastic mug materials

4. Discussions

In this study heat released from hot tea mug has been investigated. The modeling framework carries the main features of conduction, convection and radiations. Before formulation of the model, we have assumed the following assumptions: 1) The tea was poured under the scenario where air was not flowing through the room. There was no fan in the room that may cause external convection, 2) The prepared tea was not thick with higher viscosity. Its density was nearly about water, 3) The bottom of the tea mug was put on insulator i.e. wooden table instead of metal. There are no flow oh heat through the bottom, 4) Depending on the availability of tea mug. Its shape may vary slightly, however the quantity of tea poured in it was of same amount for all experiments.

Tea is prepared by pouring boiling water over the tea and mixing other ingredients like sugar or milk. To choose the appropriate tea mug is a great of important not only for aesthetic reasons. The material from which the mug is made also matters in tea-cooling process. The authors examined mugs made of China porcelain, glass, plastic (polyethylene terephthalate) and stainless steel. A boiling tea from flame is poured in the plastic, porcelain, glass, and steel mugs. The room temperature was measured in each mug material. A temperature sensor was put in mug and temperature (℃) was calculated against time (min). The reading were calculated till the tea got the same room temperature. A list of temperature and time was recorded for all mugs separately. The cooling of tea is caused by the emission of heat from the tea mug through convection, conduction and radiation. The convection is caused by the actual movement of the molecules, conduction is caused by the material medium, and radiation is caused by evaporation and need no material medium. A steel, as a good conductor of heat, is worst possible material for tea mug, due to accelerated convection and radiation phenomena. Moreover, conductive materials, such as steel, transfer thermal energy more quickly to the surface than isolators like plastic or glass. Experiments show that porcelain mug is better for retaining heat long time as compared to the other materials mugs. This is evident from comparison of cooling curves in Figure 10. In Figure 10(a) the computational curve of ceramic mug is very near to porcelain experimental curve as compared to the analytical solution, but in Figure 10(b), the experimental curve of stainless steel mug is near to analytical results and slightly away from its computational curve. In Figure 10(c), the computation curve of glass mug has good agreement with experimental curve up to 30 minutes of cooling, but after that, computational, analytical and experimental curves become almost identical. In Figure 10(d), the behavior of plastic mug cooling curve has been compared with analytical and experimental curves. The result shows that up to 15 minutes of tea-cooling, plastic experimental curve agree with analytical one, but deviated from computational curve. After the 15 minutes of cooling, plastic experimental curve shows deviated behavior from both analytical and experimental curves.

In order to see the further difference between experimental tea-cooling curves of all considered mug materials, Figure 11 has been included. The comparison shows that plastic mug curve behave differently as compared to other three experimental curves. The greatest temperature differences (up to 10℃) are observed in the time interval from 15-70 min and after 80 minutes of cooling. There is why, people should be careful in using plastic mugs or pots during tea making or drinking.

Experimental studies usually are costly and time consuming, and in some circumstances impracticable. The exact analytical solutions can only be found if the problem has regular geometry. The difficulties arise when the analyzed problem is carrying the complex and irregular geometries. In such situations, the computational techniques particularly based on finite element method (FEM) shows its power. Moreover, there are many contrasting parameters where FEM dominates over other numerical methods. This study adds new contribution to the current literature; because, three different aspects of heat flow from the hot mug of tea have been applied to investigate simultaneously, namely convection, conduction and radiation phenomena. What is important, the obtained analytical and computational results confirmed the performed measurement experiments with good agreement. To the best of the authors' knowledge, the presented comprehensive study of the tea cooling process in cups made of various materials is not available in the literature on the subject.

Global warming and air pollution are motivating the world to develop new devices for safe use of energy in different devices. Thus offering minimum contributions in these global issues. This leads us towards new renewable energy sources. The researchers are also emphasizing to cut down extra energy losses. In this scenario the research presented in this article paved a way to the new horizon for saving energy and its minimum cost effective applications. On the bases of the research findings in the current research, if a company agrees to develop heating pads or some devices in wrapped form around hot tea mug and saves this energy for its smart use in electronic devices, particularly in charging cell phone batteries, it will help mankind in the real sense.   

5. Conclusions

In this study, heat released from hot mug of tea was analyzed quantitatively per-forming experimental, analytical and computational analysis for different mug materials. The mesh analysis predicted the better temperature distribution for finer mesh as compared to the coarser mesh density. As expected, the tea temperature profiles get higher and higher values with time. The temperature is maximum at the mug center and becomes minimum at the outer boundary of mug and fall rapidly in the exterior space domain surrounding the mug. The experimental and analytical results for tea-cooling curves were in a good agreement for glass, plastic, porcelain, and steel tea mugs. Radiative heat flux was uniformly distributed in the entire tea domain. The velocity distribution behavior inside the tea was almost static. Finally, tea-cooling profiles for different materials of the mug were compared together, concluding that tea cooled slower in a porcelain mug than stainless steel mug. Impact of different parameters like surface radiosity, total heat flux, mean thermal diffusivity, radiative heat flux, internal total energy flux, and total energy has been simulated. Interestingly, heat released from the mug of tea can be used in thermal energy harvesting purpose for mobile charging or LED lighting as technical experts work on it.

In future, we are interested to apply various heat transfer mechanisms convection, conduction and radiations in investigating the thermal analysis of living tissue during hyperthermia treatment. Where tumor tissue surrounded by normal tissue can be taken as model prototype. Using the thermometer with sensor probe, transient temperature profiles of human tissue can be predicted and then they may validated with analytical or computational tools. Another future direction is to study heat transfer through porous tissue multistage modeling.

Acknowledgment

This work is supported by the AGH University of Krakow (Grant number: 16.16.120.773 funded by the Polish Ministry of Science and Higher Education).

Nomenclature

A

surface area, m2

C

specific heat capacity, J kg–1 K–1

C

constant

d

thickness of the tea mug, m

d

differential

E

emissive power, W m–2

e

exponential function

e

unit vector along given coordinate

G

irradiation, W m–2

H

height (diameter), m

h

heat transfer coefficient, W m–2 K–1

J

radiosity, W m–2

k

thermal conductivity, W m–1 K–1

ln

natural logarithm function

m

mass, kg

n

normal vector

P

power, W

p

power density, W m–2

Q

heat, J

q

heat flux, W m–2

q

heat flux vector, W m–2

R

radius, m

T

absolute temperature, K

t

time, s

U

internal energy, J kg–1

u

fluid velocity vector, m s–1

V

volume, m3

X

space point

x

Cartesian coordinate along x-axis

y

Cartesian coordinate along y-axis

z

Cartesian coordinate along z-axis

Greek symbols

α

absorptivity, dimensionless

α

thermal diffusivity, m2 s–1

Δ

difference of given quantity

ε

emissivity, dimensionless

η

defined variable

π

pi constant, π = 3.141592…

ρ

reflectivity, dimensionless

ρ

mass density, kg m–3

σ

Stefan Boltzmann constant,

σ = 5.67×10–8 W m–2 K–4

Math symbols

d

differential

e

exponential function

ln

natural logarithm function

$\nabla$

nabla operator

$\partial$

partial differential

Subscripts

absorb

absorbed

cond

conductive

conv

convective

dpt

depth

ext

external

int

internal (inner)

m

mass

out

outer

net

complete (net)

rad

radiated

ring

handle (ring)

ref

reflected

room

room (ambient)

s

surface

space

air space

t

thermal

tea

tea

Appendix

Tea-cooling curve analytical solution

In this section, we present complete derivation of Eq. (11) using simple technique separating the variables and integration, to obtain analytical solution of tea-cooling process given in Eq. (12).

Let we start from the following equation:

$\frac{\mathrm{d}\left(T_{\text {tea }}-T_{\text {room }}\right)}{\mathrm{d} t}=-\frac{k_{\text {mug }} A_{\mathrm{s}}}{C_{\text {tea }} m_{\text {tea }} d}\left(T_{\text {tea }}-T_{\text {room }}\right)$                    (A.1)

Separating the variables involves substitution η = TteaTroom, then we have:

$\frac{\mathrm{d} \eta}{\eta}=-\left(\frac{k_{\mathrm{mug}} A_{\mathrm{s}}}{C_{\mathrm{tea}} m_{\mathrm{tea}} d}\right) \mathrm{d} t$                        (A.2) 

After integrating the above equation:

$\int \frac{\mathrm{d} \eta}{\eta}=-\int\left(\frac{k_{\text {mug }} A_{\mathrm{s}}}{C_{\text {tea }} m_{\text {tea }} d}\right) \mathrm{d} t$                    (A.3)

And taking constants outside the integrals:

$\ln \eta=-\left(\frac{k_{\mathrm{mug}} A_{\mathrm{s}}}{C_{\mathrm{tea}} m_{\text {tea }} d}\right) \int \mathrm{d} t+\ln |\mathrm{C}|$                    (A.4)

Replacing η = TteaTroom, and rearranging we get:

$\ln \left|T_{\text {tea }}-T_{\text {room }}\right|-\ln |C|=-\left(\frac{k_{\text {mug }} A_{\mathrm{s}}}{C_{\text {tea }} m_{\text {tea }} d}\right) t$                    (A.5)

By laws of logarithm:

$\ln \left|\frac{T_{\text {tea }}-T_{\text {room }}}{C}\right|=-\left(\frac{k_{\text {mug }} A_{\mathrm{s}}}{C_{\text {tea }} m_{\text {tea }} d}\right) t$                    (A.6)

And simplifying:

$T_{\text {tea }}(t)-T_{\text {room }}(t)=\mathrm{Ce} \mathrm{e}^{-\frac{k_{\text {mug }} A_{\mathrm{s}}}{C_{\text {tea }} m_{\text {tea }} d} t}$                    (A.7)

We finally obtain:

$T_{\text {tea }}(t)=T_{\text {room }}(t)+\mathrm{Ce}^{-\frac{k_{\text {mug }} A_{\mathrm{s}}}{C_{\text {tea }} m_{\text {tea }} d} t}$                    (A.8)

To determine the integration constant C, we need to use the fact that at time t=0 the following initial conditions are met: Troom(t) = Troom(0) and Ttea(t) = Ttea(0), so for initial time we can write:

$T_{\text {tea }}(0)=T_{\text {room }}(0)+\mathrm{C} \mathrm{e}^0$                    (A.9)

Therefore, the integration constant is defined as:

$\mathrm{C}=T_{\text {tea }}(0)-T_{\text {room }}(0)$                    (A.10)

After substituting the above equation into Eq. (A.8) we obtain the final formula for the temperature of tea in the mug as given below:

$\begin{aligned} T_{\text {tea }}(t)=T_{\text {room }}( & +\left[T_{\text {tea }}(0)\right. \left.-T_{\text {room }}(0)\right] \mathrm{e}^{-\frac{k_{\text {mug }} A_{\mathrm{s}}}{C_{\text {tea }} m_{\text {tea }} d} t}\end{aligned}$                    (A.11)

  References

[1] Gao, Y.J., Li, Y.J. (2023). Analysis of tea material culture in China and Britain. SHS Web of Conferences, 159: 02008. https://doi.org/10.1051/shsconf/202315902008

[2] Pan, S.Y., Nie, Q., Tai, H.C., Song, X.L., Tong, Y.F., Zhang, L.J.F., Wu, X.W., Lin, Z.H., Zhang, Y.Y., Ye, D.Y., Zhang, Y., Wang, X.Y., Zhu, P.L., Chu, Z.S., Yu, Z.L., Liang, C. (2022). Tea and tea drinking: China's outstanding contributions to the mankind. Chinese Medicine, 17: 27. https://doi.org/10.1186/s13020-022-00571-1

[3] Wilson, D. (2018). The Japanese tea ceremony and pancultural definitions of art. The Journal of Aesthetics and Art Criticism, 76(1): 33-44. https://doi.org/10.1111/jaac.12436

[4] Ratnani, S., Malik, S. (2022). Therapeutic properties of green tea: A review. Journal of Multidisciplinary Applied Natural Science, 2(2): 90-102. https://doi.org/10.47352/jmans.2774-3047.117

[5] Mazurek, A., Kowalska, G., Wlodarczyk-Stasiak, M., Wyrostek, J., Kowalski, R. (2023). The influence of the preparation of tea infusion on the content of fluoride and the assessment of health risk for the consumer in Poland. Applied Sciences, 13(8): 5075. https://doi.org/10.3390/app13085075

[6] Singh, O.P., Hazra, J., Pathak, N.N. (2001). Tea (Camelia Thea): Boon or curse for human being. Ancient Science of Life, 21(2): 135-138.

[7] Serafini, M., Del Rio, D., Yao, D.N., Bettuzzi, S., Peluso, I. (2011). Health benefits of tea. In: Herbal Medicine: Biomolecular and Clinical Aspects. 2nd Ed, Boca Raton (FL): CRC Press/Taylor & Francis. https://doi.org/10.1201/b10787-13

[8] Banerjee, B. (1992). Botanical classification of tea. In: Willson, K.C., Clifford, M.N. (Eds.), Tea-Cultivation to consumption, Springer, Dordrecht. https://doi.org/10.1007/978-94-011-2326-6_2

[9] Parveen, A., Qin, C.Y., Zhou, F., Lai, G., Long, P., Zhu, M., Ke, J., Zhang, L. (2023). The chemistry, sensory properties and health benefits of aroma compounds of black tea produced by camellia sinensis and camellia assamica. Horticulturae, 9(12): 1253. https://doi.org/10.3390/horticulturae9121253

[10] Ahmed, S., Griffin, T., Cash, S.B., Han, W.Y., Matyas, C., Long, C., Orians, C.M., Stepp, J.R., Robbat, A., Xue, D.Y. (2018). Global climate change, ecological stress, and tea production. In: Han, W.Y., Li, X., Ahammed. G. (Eds.), Stress Physiology of Tea in the Face of Climate Change, Springer, Singapore. https://doi.org/10.1007/978-981-13-2140-5_1

[11] International Tea Market: Market Situation, Prospects and Emerging Issues. (2022). Food and Agriculture Organization of the United Nations, Rome. https://www.fao.org/3/cc0238en/cc0238en.pdf, accessed on Feb. 3, 2024.

[12] Annual Bulletin of Statistics 2022 (2022). International Tea Committee, London, United Kingdom.

[13] Topczyńska, A., Gonia, A. (2021). Tea tourism-preliminary study on familiarity with and interest in tea tourism. Geography and Tourism, 2(9): 47-57. https://doi.org/10.34767/GAT.2021.09.12

[14] Gruszecka-Kosowska, A., Mazur-Wlodarczyk, K., Laskowska, B. (2021). A Chinese tea phenomenon: trends of consumption in Poland in relation to pro-ecological behavior. European Research Studies Journal, 24(3B): 666-687. https://doi.org/10.35808/ersj/2494

[15] Bergman, T.L., Lavine, A.S. (2017). Fundamentals of Heat and Mass Transfer. 8th Ed., John Wiley & Sons Inc, Los Angeles, USA.

[16] Cengel, Y.A., Ghajar, A.J. (2020). Heat and Mass Transfer: Fundamentals and Applications. 6th Ed., McGraw-Hill Education, New York, USA.

[17] Kothandaraman, C.P. (2006) Fundamentals of Heat and Mass Transfer. 3rdEd., New Age International, New Dehli, India.

[18] Vollmer, M. (2009). Newton's law of cooling revisited. European Journal of Physics, 30(5): 1063-1084. https://doi.org/10.1088/0143-0807/30/5/014

[19] Rees, W.G., Viney, C. (1988). On cooling tea and coffee. American Journal of Physics, 56(5): 434-437. https://doi.org/10.1119/1.15572

[20] Arslan, N., Togrul, H. (2006). The fitting of various models to water sorption isotherms of tea stored in a chamber under controlled temperature and humidity. Journal of Stored Products Research, 42(2): 112-135. https://doi.org/10.1016/j.jspr.2005.01.001

[21] Condoret, J.S. (2007). Teaching transport phenomena around a cup of coffee. Chemical Engineering Education, 41(2): 137-143. 

[22] Sidebotham, G. (2015). Heat Transfer Modeling: An Inductive Approach. Springer International, Cham, Switzerland. https://doi.org/10.1007/978-3-319-14514-3

[23] Reddy, P.K., Patnaik, V.S., Ravindra, K., Ramakanth, U.S. (2020). Thermal behavior of ceramic cup filled with coffee. International Journal for Research in Applied Science & Engineering Technology, 8(8): 97-103. https://doi.org/10.22214/ijraset.2020.30823

[24] Noor, D.M.M., Haniah, H., Magdalena, I. (2022). Mathematical model for a liquid heat loss. AIP Conference Proceedings, 2479(1): 020027. https://doi.org/10.1063/5.0100178

[25] Fan, S., Wang, H., Zhang, X., Liu, Y., Lan, W., Ma, W., Sun, B., Yang, N., Ge, J. (2024). Study on microwave heating energy supplement technology for gas hydrate reservoir. Energy, 286: 129624. https://doi.org/10.1016/j.energy.2023.129624

[26] Paruch, M., Piasecka-Belkhayat, A., Korczak, A. (2023). Identification of the ultra-short laser parameters during irradiation of thin metal films using the interval lattice Boltzmann method and evolutionary algorithm. Advances in Engineering Software, 180: 103456. https://doi.org/10.1016/j.advengsoft.2023.103456

[27] Krupski, P., Michalowska, J. (2022). Experimental assessment of the impact of electromagnetic field phenomena on a welder working in the SMAW method in DCEN and DCEP polarizations. Przegląd Elektrotechniczny, 98(12): 217-220. https://doi.org/10.15199/48.2022.12.49

[28] Szymanik, B. (2022) An evaluation of 3D-printed materials' structural properties using active infrared thermography and deep neural networks trained on the numerical data. Materials, 15(10): 3727. https://doi.org/10.3390/ma15103727

[29] Castro-Torres, J.L., Méndez, J., Torres-Lugo, M., and Juan, E. (2023). Development of handheld induction heaters for magnetic fluid hyperthermia applications and in-vitro evaluation on ovarian and prostate cancer cell lines. Biomedical Physics & Engineering Express, 9(3): 035010. https://doi.org/10.1088/2057-1976/acbeaf

[30] Gas, P. (2019). Behavior of helical coil with water cooling channel and temperature dependent conductivity of copper winding used for MFH purpose. IOP Conference Series: Earth and Environmental Science, 214(1): 012124. https://doi.org/10.1088/1755-1315/214/1/012124

[31] Raouf, I., Gas, P., Kim, H.S. (2021). Numerical investigation of ferrofluid preparation during in-vitro culture of cancer therapy for magnetic nanoparticle hyperthermia. Sensors, 21(16): 5545. https://doi.org/10.3390/s21165545

[32] Miaskowski, A., Gas, P. (2023). Modelling of temperature distribution in anatomically correct female breast cancer. Przegląd Elektrotechniczny, 99(2): 218-221. https://doi.org/10.15199/48.2023.02.42

[33] Wu, C., Huang, H.M., Liu, Y.F., Chen, L.C., Yu, S.G., Moser, M.A.J., Zhang, W.J., Fang, Z., Zhang, B. (2023). Optimal design of aperiodic tri-slot antennas for the conformal ablation of liver tumors using an experimentally validated MWA computer model. Computer Methods and Programs in Biomedicine, 242: 107799. https://doi.org/10.1016/j.cmpb.2023.107799

[34] Sosa-Montemayor, F., Jaramillo, O.A., Del Rio, J.A. (2009). Thermodynamic analysis of a solar coffee maker. Energy Conversion and Management, 50(9): 2407-2412. https://doi.org/10.1016/j.enconman.2009.05.030

[35] Wellons, M. (2007). The Stefan-Boltzmann law, college of Wooster physics department, Ohio, USA. https://physics.wooster.edu/wp-content/uploads/2021/08/Junior-IS-Thesis-Web_2007_Wellons.pdf, accessed on Feb. 3, 2024.

[36] Puntuwanit, K. (2022). Development of coffee roasting by using far infrared radiation technique. Doctoral dissertation, Naresuan University, India. https://nuir.lib.nu.ac.th/dspace/bitstream/123456789/5912/3/KingkarnPuntuwanit.pdf, accessed on Feb. 3, 2024.

[37] Heat Transfer Principles of Coffee Cups. (2013). https://prezi.com/iwto6j4zvzni/heat-transfer-principles-of-coffee-cups/, accessed on Feb. 3, 2024.

[38] Greenslade Jr, T.B. (1994) The coffee and cream problem. The Physics Teacher, 32(3): 145-147. https://doi.org/10.1119/1.2343939

[39] Marzzacco, C., Pepin, C. (2019). Understanding heat flow from a coffee cup. University of Waterloo, Canada. https://uwaterloo.ca/chem13-news-magazine/march-2019/feature/understanding-heat-flow-coffee-cup, accessed on Feb. 3, 2024.

[40] The Engineering Tool Box, Solids, Liquids and Gases-Thermal Conductivities. https://www.engineeringtoolbox.com/thermal-conductivity-d_429.html, accessed on Feb. 3, 2024.

[41] Gas, P., Miaskowski, A. (2015). Specifying the ferrofluid parameters important from the viewpoint of magnetic fluid hyperthermia. In Proceedings of the 2015 Selected Problems of Electrical Engineering and Electronics (WZEE), Kielce, Poland, 17-19, pp. 1-6. https://doi.org/10.1109/WZEE.2015.7394040

[42] COMSOL Multiphysics User's Guide, COMSOL AB, Version 4.0a, 2010.

[43] Salazar, A. (2003). On thermal diffusivity. European Journal of Physics, 24(4): 351-358. https://doi.org/10.1088/0143-0807/24/4/353

[44] Hasgall, P.A., Di Gennaro, F., Baumgartner, C., Neufeld, E., Lloyd, B., Gosselin, M.C., Payne, D., Klingenbock, A., Kuster, N. (2022). IT'IS Database for Thermal and Electromagnetic Parameters of Biological Tissues, Version 4.1. https://doi.org/10.13099/VIP21000-04-1

[45] Porcelain-Density-Heat Capacity-Thermal Conductivity. https://material-properties.org/porcelain-density-heat-capacity-thermal-conductivity/, accessed on Feb. 3, 2024.

[46] PET-Material Table-Applications-Price. https://material-properties.org/pet-properties-application-price/, accessed on Feb. 3, 2024.

[47] Xiong, W. (2010). Applications of COMSOL Multiphysics software to heat transfer processes. Arcada University of Applied Sciences, Helsinki, Finland. https://www.theseus.fi/bitstream/handle/10024/17165/Xiong_Wei.pdf, accessed on Feb. 3, 2024.