Effect of Weathering on the Microstructural and Mechanical Properties of HALS-stabilized LDPE Films

Effect of Weathering on the Microstructural and Mechanical Properties of HALS-stabilized LDPE Films

Asma Abdelhafidi Salem Fouad Chabira Amel Samia Chabira Mohamed Sebaa Ahmed Benchatti*

Mechanics Laboratory (Ime), University of Ammar Telidji, Laghouat 3000, Algeri

Physics Department, Higher School of Professors Taleb Abdel Rahman, Laghouat 3000, Algeria

Corresponding Author Email: 
a.benchatti@lagh-univ.dz
Page: 
441-450
|
DOI: 
https://doi.org/10.18280/acsm.490412
Received: 
28 May 2025
|
Revised: 
1 August 2025
|
Accepted: 
8 August 2025
|
Available online: 
31 August 2025
| Citation

© 2025 The authors. This article is published by IIETA and is licensed under the CC BY 4.0 license (http://creativecommons.org/licenses/by/4.0/).

OPEN ACCESS

Abstract: 

The effect of adding hindered amine light stabilizer (HALS) to LDPE agricultural greenhouse films has been studied under the influence of severe climatic conditions in a sub-Saharan region over 24 months. The structural and morphological modifications of the exposed films were analyzed by means of Fourier Transform Infrared (FTIR), Gel Permeation Chromatography (GPC), and Differential Scanning Calorimetry (DSC). The evolution of the mechanical properties was carried out by tensile tests. FTIR revealed HALS slows down significantly the carbonyl (I-C = 6) and vinyl groups (I-V=0.8) formation during exposure. indicating effective peroxyl radical deactivation by nitroxide, thus inhibiting Norrish photo-oxidation reactions. DSC analysis supports the above hypothesis on the stabilizing effect of HALS; the crystallinity index did not increase notably (5%). This reveals that the chemical structure has not changed much, so as not to affect the morphology of the films. On the other hand, the vinylidene groups generally responsible for crosslinking reactions in the beginning of the aging protocol did not decrease meaning that HALS has also inhibited this type of reactions. However, the mechanical properties (stress at break by 11% and Young's modulus) of LDPE films are improved with 11% by early crosslinking reactions may occur through reactions involving nitroxide and free radicals, that is confirmed by the PDI increasing to 1.364. Based on these results, the stabilizing action and efficiency of HALS under several climatic conditions will be discussed.

Keywords: 

LDPE, HALS, weathering, GPC, FTIR, mechanical properties

1. Introduction

The advent of the first hindered amine light stabilizers (HALS), specifically derivatives of 2,2,6,6-tetramethyl piperidine and related compounds, in the 1970 s marked a significant shift in UV stabilization for plastics. Their rapid adoption was driven by their exceptional ability to inhibit polymer photo-oxidation, leading to their current widespread use in the light stabilization of polyolefins [1, 2].

The polyolefins we use daily are mainly high-volume, rapidly consumed commodity plastics. Among the most common is low-density polyethylene (LDPE), with a density of 0.915 g/cm³. Its highly branched structure leads to a low crystallization rate and a melting point of approximately 110℃. It has gained its popularity for agricultural greenhouse coverings because of several advantageous characteristics: good mechanical and optical properties, low cost and weight, durability, chemical and corrosion resistance, easy processing, electrical insulation, good sealing and suitability for a wide temperature range [3-6].

Nevertheless, LDPE exhibits vulnerability toward the severe environmental conditions prevailing in sub-Saharan regions. Among the most adverse factors, one can quote, intensive solar radiation, strong day-night temperature variations, varying wind intensity, moisture, snow, hail, spreading of agrochemicals, etc. The incidence of all the factors undoubtedly leads to the polymer chemical structure changes. As a result, these factors inexorably lead to the loss of all the properties of the material and it undergoes severe aging which has been already described by Abdelhafidi et al. [7]. Consequently, the service lifetime of this material with a viable economic performance and an acceptable environmental impact is directly linked to the capacity of this materiel to withstand all these environmental factors [5, 8, 9].

However, among all these environmental factors, the sun's UV radiation is undoubtedly the most harmful and the main cause of the aging of greenhouse films. Sunlight's energy spectrum includes visible light (700-400 nm) and infrared (heat), but even though UV light (400-100 nm) which only accounts for about 3% of the total radiation, is certainly the most harmful. Its higher energy allows it to interact with the chemical structure of the material leading, to inexorable photochemical reactions that seriously and permanently damage the chemical structure of the material [10-12].

The interaction between UV radiation and the effect of temperature during exposure leads to oxidative reactions responsible to the embrittlement (oxo-degradation) of polyolefins such as LDPE. Although undesirable for agricultural greenhouse covering films, this aging process may be attractive for plastic waste, as it can result in efficient fragmentation and reduction in the molecular weight of the polymer. The photo-initiated formation of oxygen free radicals, such as macro-alkoxy and hydroxyl radicals, is responsible for the oxidative degradation of polyethylene chains. This oxo-degradation process leads to the formation of functional groups such as aldehydes, ketones, carboxylic acids, esters, and vinylene groups via the β scission of the chains in the close vicinity of carbonyls, but also to hydrogen abstraction, cage and Norrish type reaction [4]. Most of these reactions involve irreversible chain scission reactions responsible for the lowering of the molecular weight and/or crosslinking reactions (mainly at the beginning of exposure), slightly improving the mechanical properties [8, 10]. For this reason, Hindered Amine Light Stabilizers (HALS), are typically added to polymers at levels ranging from 0.01 to 1.0 wt.%. They significantly improve the service lifetime, resistance, and durability of the polymer without compromising the mechanical properties [5, 12, 13]. The effectiveness of HALS as a stabilizer for LDPE has been well established in previous research.

Gugumus [14] demonstrated that HALS significantly reduces the rate of carbonyl group formation in LDPE films exposed to accelerated weathering. He also highlighted that stabilizers offer superior performance compared to conventional antioxidants, especially when co-formulated with UV absorbers.

Kaci et al. [15] investigated the effectiveness of HALS, particularly Chimassorb 944 and Tinuvin 622, in LDPE films exposed to more than 650 days of natural weathering. Their research showed that it significantly reduces the rate of ketone group formation, thereby preventing Norrish I and II reactions responsible for chain scissions. Consequently, stabilized films exhibited superior retention of elongation at break and less surface damage compared to unstabilized controls, thus demonstrating effective polymer matrix stabilization.

Scoponi et al. [16] explored the depletion kinetics of Hindered Amine Light Stabilizers in LDPE films subjected to outdoor aging. They observed a progressive decrease in stabilization efficiency, directly correlated with the loss of the HALS additive, a process which was monitored continuously using UV and FTIR spectroscopy.

Kerboua et al. [17] completed this approach by creating a kinetic model designed to forecast the half-life time of the mechanical properties (such as stress and elongation at break) in HALS-stabilized LDPE. Their model's predictions closely matched experimental data from both thermal and photo-oxidative aging.

Additionally, the research by Ma et al. [18] demonstrated that Hindered Amine Light Stabilizers are crucial in producing a thermally stable and highly effective additive through their intercalation into Layered Double Hydroxides. This additive increases the durability and extends the service life of polypropylene, thus preserving the mechanical properties and the aesthetic aspect of PP exposed to UV light.

Hindered Amine Light Stabilizers effectively slow photo-oxidation. Their structure, featuring -NH groups sterically hindered by four methyl radicals on adjacent carbons, allows them to react with harmful intermediates like hydroperoxides and free radicals (formed during thermal or oxidative processes). A key feature is their regeneration after each reaction cycle, ensuring continuous stabilization. Factories have extensively used this material to preserve the brightness and flexibility of polymeric films, a benefit attributed to its highly efficient peroxyl radical abstraction capabilities [19-21]. These light stabilizers function by scavenging free radicals. The process involves nitroxyl forming in the presence of light and oxygen, which then regenerates by reacting with peroxyl radicals, as described by Kurumada's mechanism (Figure 1) [22]. HALS don't eliminate degradation, but they effectively slow it down by either disarming free radicals or breaking down hydroperoxides. The best additives are those that can regenerate themselves in a continuous cycle. In addition to suppressing excited states, many of these molecules also deactivate excited carbonyl groups that are part of the polymer chain [14, 20, 21].

Figure 1. Mechanism HALS action proposed [22]

Previous research has explored the effect of Hindered Amine Light Stabilizers on the photo-thermo degradation of Low-Density Polyethylene (LDPE) under both artificial aging and moderate outdoor climatic conditions. However, studies on the impact of HALS in more extreme and harsh environments, such as the Sub-Saharan regions of Algeria, remain notably scarce. Early investigations have primarily focused on the ability of HALS to inhibit ketone group formation, which results from chain scission reactions. A significant gap exists regarding the influence of the stabilizer on the reticulation (cross-linking) mechanism. Specifically, it remains unclear whether the stabilizer promotes or inhibits cross-linking reactions during the exposure of stabilized LDPE films, particularly under the harsh climatic conditions in the region of Laghouat. It is also crucial to determine the effect of these reactions on the improvement of LDPE's microstructure and mechanical properties.

This study presents an investigation carried out to highlight the effect of natural weathering in a Sub-Saharan region (Laghouat), on the microstructural and mechanical properties of HALS-stabilized LDPE films. This will give a good insight about the aging of such materials under severe climatic conditions and will provide a good understanding on the stabilizing action of a commercial Hindered Amine Light Stabilizer. It will also allow assessing the efficiency of the HALS stabilizer system on the photostabilization of single-layer low-density polyethylene (LDPE) films and to predict the lifespan of this type of material.

To achieve this objective, an aging protocol was carried out and a series of physicochemical analyses such as FTIR, curve fitting, DSC, GPC and mechanical tensile tests were implemented.

2. Experimental

2.1 Material

The material used for this study is a commercial low-density polyethylene film used for greenhouse covering stabilized with a UV stabilizer is derivatives of 2,2,6,6-tetramethyl piperidine (Hindered amine light stabilizers, HALS), the commercial name and chemical composition of the product are confidential information of the company = and cannot be disclosed to avoid any eventual conflicts of interests.

The polyethylene used is supplied as pellets by the Saudi Basic Industries Corporation (Sabic) SABIC, the density of the pellets is 0.92 g/cm³. The stabilizing system (Master Pistachio, IR-UV REF. 70088) consists of ultraviolet absorbers, a hindered amine light stabilizer (HALS) and a special kaolin mineral filler at a concentration of 7000 ppm to 10000 ppm which represents (7% to 10%) of the product, for a film with a thickness of 200 µm. Such a composition allows preserving 50 percent of the original mechanical properties of the film for at least two agricultural seasons. The melt flow index (MFI) realized on the raw material was found to be 0.3g/10 min.

The pellets were processed in a twin screw extruder at the SofiPlast Company located at Sétif (Algeria). The processing temperature was fixed to 175° and the film was blown in a continuous process characterized by a bubble diameter of 4.4 m and a drawing speed of 15 cm/s. The thickness of the film was 180 μm.

2.2 Weathering protocols and sampling

Weathering of HALS stabilized LDPE films was performed in a sub-Saharan facility in Laghouat, Algeria, (33°48’N, 20°56’E) according to the ISO 4607 standard. The average duration of the aging protocol was 24 months with a sampling every six months.

2.3 Fourier transform infrared spectroscopy (FTIR)

The microstructural changes undergone by the polymer were determined by means of a Fourier transform infrared spectrophotometer (FTIR) (Spectrum Two, maintained by PerkinElmer, USA). Infrared spectra were collected and recorded in transmission mode, over the range from 4000-400 cm-1 (corresponding to wavelengths ranging from 2.5 to 25 μm) at a 4 cm-1 optical resolution and using 32 scan repetitions. This technique requires no special sample preparation.

OriginPro software package (version 8.6) was used to calculate the optical density of the chemical species developing during aging, such as carbonyl ($\text{I-C}$) and unsaturation ($\text{I-Vinyl}$; $\text{I-Vinylidene}$) Eqs. (1), (2), and (3). This was achieved by integrating the area of the absorbance bands corresponding to these species in the FTIR spectra presented in absorbance mode. The absorbance band at 2020 cm-1 was selected as an internal reference [23].

$\text{I-C}=\frac{{{A}_{1800-1680}}}{{{A}_{2020}}}$                                 (1)

$\text{I-Vinyl}=\frac{{{A}_{920-9000}}}{{{A}_{2020}}}$                          (2)

$\text{I-Vinylidene}=\frac{{{A}_{900-880}}}{{{A}_{2020}}}$                  (3)

2.4 Differential scanning calorimeter (DSC)

The degree of crystallinity of the samples was determined in the standard way from the heat of fusion DHf, by means of a differential scanning calorimeter (PerkinElmer DSC 7) interfaced to a microcomputer controller. The samples (about 10 mg in weight) were heated from 25℃ to 200℃ with a heating rate of 10℃/min in an inert atmosphere (N2).

The mass-based degree of crystallinity (Xindex)was calculated with reference to the thermodynamic heat of fusion of 100% crystallized polyethylene ($\text{ }\!\!\Delta\!\!\text{ H}_{\text{c}}^{\text{f}}$=285 J/g) by the relationship [24]:

Xindex = ${{\text{H}}_{f}}$/$H_{c}^{f}$                      (4)

The calibration procedure for the PerkinElmer DSC 7 involves powering on the system and allowing it to stabilize for 30 minutes with a nitrogen purge flow of 20–50 mL/min, then adjusting temperature and enthalpy by running a scan of 5–10 mg of indium ($\text{ }\!\!\Delta\!\!\text{ H}_{\text{c}}^{\text{f}}$= 28.45 J/g, Tm = 156.60℃) from 30℃ to 180℃ at 10℃/min, recording the melting temperature onset near 156.6°C and heat of fusion around 28.45 J/g, correcting the Pyris software accordingly, and finally verifying and documenting the calibration by rerunning the scan.

2.5 Tensile tests

Tensile tests were performed on the INSTRON 2752-005 tensile testing machine, manufactured by the global mechanical testing systems leader Instron (a division of ITW, USA), connected to a computer. The crosshead speed to measure the ultimate properties (yield, fracture) was set at 100 mm/min. The tests were carried out according to the NF T54-102 standard. The specimens with a rectangular shape were cut with the following sizes 0.18mm thickness (T0), 10 mm width (W0), and 90 mm length (L0).

The tests were conducted at 23℃ and 50% relative humidity. The mechanical greatnesses such as the stress, strain and the modulus were calculated from the stress-strain curve.

The strain at break εb, highlighting on the ductility changes of the films was determined at the end point of the curve preceding the specimen failure [25].

The stress at break σb, occurring at the maximum strain εb was calculated using the initial cross-sectional area.

The Young’s modulus was determined in the same experimental conditions but the crosshead speed of the machine was set, this time at 1 mm/min.

2.6 Gel permeation chromatography (GPC)

The analyses were performed using a Waters 2487 chromatograph equipped with two columns Styragel HT (106 Å) connected in series and with a refractive index detector.

0.1 wt.% LDPE taken from the unaged and aged films was prepared as solution by dissolving it in dimethyl benzene (xylene) at 50℃. A volume of approximately 0.2 ml taken from the solutions was injected under a flow of xylene at a rate of 1 ml.min-1.

From the chromatograms, the number average ($\text{Mn}$) and the weight average ($\text{Mw}$) molecular weight were calculated by determining the weight of the moles of the i species ($\text{NiMi}$) which corresponds to the detector signal (hi) at its respective retention time (tri) ($\text{Ni}$ being the number of moles of the species i with the corresponding molecular weight $\text{Mi}$) Eqs. (5) and (6) [26, 27].

$\text{Mw}=\text{ }\!\!\Sigma\!\!\text{ hi}\times \frac{\text{Mi}}{\text{ }\!\!\Sigma\!\!\text{ hi}}$                         (5)

$\text{Mn}=\frac{\text{ }\!\!\Sigma\!\!\text{ hi}}{\text{ }\!\!\Sigma\!\!\text{ }\left( \frac{\text{hi}}{\text{Mi}} \right)}$                           (6)

$\text{PDI}=\frac{\text{Mw}}{\text{Mn}}$                                    (7)

where,

$\text{Mi}$: Molecular weight of the species i, corresponding to the retention time (tri)

$\text{PDI}$: Polydispersity index

3. Results and Discussion

3.1 Kinetics of chemical species evolution during ageing determined by FTIR

Plastic films when exposed to severe climatic conditions undergo serious modifications of their properties. However, HALS stabilized LDPE plastic films when exposed to the same conditions experience a much slower loss of their properties. In any case, aging leads to serious modifications of the material's molecular structure which results in the loss of its flexibility followed by a dramatic embrittlement. Indeed, unstabilized LDPE films only become brittle after 8 months of exposure [7]. However, adding a stabilizing system to the films significantly delays these effects which occur after an exposure time three times longer (i.e., after 24 months).

Infrared analysis performed on the stabilized LDPE films revealed the growth of some specific spectral regions with aging. In the increasing direction of the wavenumber, it was observed that changes in the double bonds’ region (880-980 cm⁻¹), in the absorption range of carbonyls (1680-1800 cm⁻¹), and in that of hydroxyl groups (3300-3700 cm⁻¹).

Figure 2 shows the variation of carbonyl and unsaturation indexes as a function of aging time. Carbonyl and vinyl indexes vary very similarly; this suggests that the formation of these two species is governed by a common reaction mechanism.

The addition of HALS stabilizer to LDPE leads to a longer induction time, which is approximately 12 months before the onset of carbonyl and vinyl group formation.

Therefore, polymer oxidation is delayed and the final carbonyl concentration remains relatively low at the end of the aging protocol (Figure 2).

Figure 2. Variation of the: a) carbonyl index and b) vinyl, vinylidene index, of HALS-stabilized LDPE

The vinylidene groups’ index remains relatively constant over 18 months of exposure. This allows supposing that this chemical species is not involved in the complex chemical mechanism of aging. However, this could also be due to the simultaneous formation and consumption of this chemical species and that throughout the aging protocol (Figure 2).

It can be observed that the LDPE films stabilized with HALS show a slower increase of the carbonyl and unsaturation indexes compared to those of the unstabilized ones [21]. This suggests that the HALS stabilizer provides an effective inhibition effect on the formation of oxidation products particularly those coming from the Norrish type I and II processes [7].

3.2 Evolution of crystallinity of HALS-stabilized LDPE during aging identified by DSC

Figure 3 shows the variation of the crystallinity index of LDPE stabilized with HALS as a function of exposure time.

Figure 3. Variation of the crystallinity index of HALS-stabilized LDPE

The unexposed material exhibited an initial crystallinity index of 28.1%. The latter increased linearly over the first 6 months. However, it continued to increase throughout the aging protocol at a near constant rate to reach a crystallinity index greater than 33%.

This modest increase in the crystallinity index, of only 5% reveals the positive role of HALS in preventing drastic morphological changes in the material. Indeed, this suggests that the stabilizer hindered the formation and/or the mobility of short chain segments to form new crystallites or to diffuse toward the existing ones. The increase in crystallinity index is usually due to a secondary crystallization process occurring after the formation of short-chain segments from chain scissions, which can either diffuse towards the existing lamellae, thickening them, or form new crystallites [28, 29].

In semi-crystalline polymers, the amorphous regions of polymers are generally considered the primary sites for photo-oxidation reactions due to the greater and easier diffusion of oxygen compared to the more compact crystalline regions. Chain scissions that occur during this oxidation process can promote chemo-crystallization, a type of secondary crystallization observed at low temperatures. Consequently, photo-oxidation can induce changes in both the molecular weight distribution and the crystallinity index of polymers, leading to notable changes of the mechanical properties [8].

3.3 Evolution of the mechanical properties of HALS-stabilized LDPE films during aging carried out by tensile tests

In Figure 4, the variation of the stress and strain at break and also the Young's modulus as a function of the exposure time of HALS-stabilized LDPE.

After a slight increase of approximately 11% of the stress at break after six months of exposure, it begins to gradually decrease until the end of the aging protocol. The rate of decrease between the beginning and the end of the aging protocol is approximately 23%, while the difference between the highest and lowest value is approximately 34% (Figure 4).

Figure 4. Variation of the: a) stress at break σb (MPa), Young’s modulus E (MPa), b) strain at break eb (%) of HALS-stabilized LDPE

The variation of this mechanical quantity is closely related to the chemical changes undergone by the polymer molecular structure which is also accompanied by morphological changes. At the beginning of the aging protocol cross-linking and chain scission reactions are in competition; the former are responsible for the improvement of the stress at break while the latter lead to its decrease. For Young's modulus, this duality between chain scissions and crosslinking has the consequence of decreasing it when the former are dominant and increasing it when the latter are. This appears on the graph since it decreases in the first six months from 241 to 200 Mpa and then known a progressive increase until the end of the aging protocol to reach 335 Mpa (Figure 4). That is, between the two extreme values, an overall increase of 135 MPa (or 67%). Young's modulus provides information on the elasticity of the material. An increase in elasticity means stiffening. However, stiffening results from two effects: chain scission, which causes a chemo-crystallization process leading to an increase in crystallinity concentration, and crosslinking, which also contributes to reducing chain mobility, making their flow more difficult. Therefore, the material goes from a viscoelastic behavior to a brittle mode of fracture [25, 29, 30].

Indeed, the elongation at break gives a good insight into this transition (Figure 4). The decrease of this greatness is closely related to the length of the chains. At the beginning of aging, the competition between chain scissions and crosslinking delays the sharp drop in the elongation at break. At an advanced stage of aging, the predominance of chain scissions leads to a sudden drop in the elongation at break. The overall decrease in the elongation at break is about 45% after 24 months.

3.4 Variation of the number-average molecular weight and the polydispersity index of HALS-stabilized LDPE film, determined by GPC

The variation of the number average molecular weight (Mn) and the weight average molecular weight (Mw) as well as the polydispersity index (PDI) of the HALS-stabilized LDPE film as a function of aging time is shown in Figure 5. It can be observed that both quantities Mn and Mw vary in the same way (Figure 5).

Figure 5. Variation of the: a) weight (Mw), number (Mn) average molecular weight, b) polydispersity index of HALS-stabilized LDPE

In fact, the average molecular weight increases during the first six months and then decreases steadily until the end of the aging protocol. This increase in average molecular weight indicates an increase in chain length during this exposure period, most likely due to the predominant crosslinking reactions at the beginning of the aging protocol [31]. Consequently, this affects positively the elongation at break which is closely related to the chain’s length. Conversely, the decrease in average molecular weight indicates a decrease in chain lengths due to the predominance of chain scissions. From a mechanical point of view this leads to a progressive and rapid reduction in the elongation at break. However, it can still be stated that the presence of the stabilizing system allowed the films to last quite a long time, up to 24 months.

The polydispersity index (PDI) gives a good insight into the molecular chain’s length. Although the (PDI) does not vary very significantly since it remains in a range of values going from a little less than 1.34 to 1.364. The increase of (PDI) during the first six months supports the assertion made just above that crosslinking reactions are predominant in this period of the aging protocol increasing as such the chains length (Figure 5). Increasing of the chain lengths leads to higher molecular weight (Mw) therefore the Gaussian molecular weight distribution becomes broader. Afterwards, the progressive increase of (PDI) argues in favor of a continuous process of chains scission, lowering the molecular chain lengths [8, 31]. As stated earlier, this results in a decrease in (Mw) and hence a broadening of the molecular weight distribution. The last value of (PDI) which is a little bit greater than 1.36 indicates that the chains length becomes shorter consequently to the chain’s scission process. GPC analysis supports the assumptions made by mechanical analysis, both providing good insight into the interaction between aging and structural changes undergone by the material.

Photo-oxidation taking place at the early stages of the aging protocol is generally accompanied by crosslinking and chain scission reactions. The former noticeably increase the average molecular weight, while the latter cause it to fall dramatically. The polydispersity index is a good indicator of the effect of the two reactions on the distribution of molecular chain lengths [8].

3.5 Discussion

In the previous sections both physicochemical and mechanical analyses have revealed significant variations indifferently in molecular structure, morphology, and mechanical properties. The main reason of these changes is mainly due to an unavoidable photo-oxidation process of the molecular chains. In a previous work, it has been demonstrated by means of spectroscopic analysis that the consumption of vinylidene is rather related to the formation of crosslinks, while the subsequent formation of vinyls and carbonyls is a good indicator of chain scission processes [23, 24].

In the present case, the addition of the HALS stabilizer has inhibited the carbonyls and vinyls formation during the first 6 months of the aging protocol. Even beyond this period of time the formation of these two chemical species remains relatively low. This could indicate that the oxidation mechanism of LDPE, which is mainly governed by the Norrish type I or Norrish type II processes, is significantly reduced.

Figure 6. Denisov cycle (reaction mechanism of nitroxide)

The stabilization mechanism responsible for the molecular chain’s oxidation inhibition has been described by the Desinove cycle (Figure 6). The nitroxide (NO.) (resulting from the oxidation of the amine group of HALS) scavenges the radicals (coming from the abstraction of a hydrogen atom of a methylene group in the chain) via a reaction cycle leading to the formation of an alkyloxyamine (NOR). The latter reacts with a peroxyl radical (ROO•) to form a peroxide (ROOR') and releases at the same time a nitroxide generated by the Denisov cycle (Figure 6). In the absence of HALS, the peroxyl radical can react with labile hydrogen to form a hydroperoxide, which then, after the cleavage of the –O-O- bond leads to the formation ketone. However, the presence of ketone groups promotes chain scission via the NI and NII processes.

In this context, the alkyloxyamine and the alkyl radical react to form a –O-O- bridge regenerating the nitroxide. In this way, the radical chain reactions that lead to polymer photo-oxidation are interrupted [32-34].

Nitroxide formation mechanism, as presented in Figure 7, has been proposed by Gugumus [14] who proposed that HALS (hindered amine light stabilizer) acts as a quencher for the complex formed between oxygen and the polymer. In this way, HALS acts as a stabilizer. This means that it prevents the harmful reaction between oxygen and the polymer by interacting with the oxygen-polymer complex to form nitroxide (3).

Figure 7. Formation reaction of nitroxide

While Sedlar et al. [35] consider that the formation of nitroxide may occur via a two-step reaction. Since a hydroperoxide can react with an amine group of HALS to produce an alkoxyamine. Then this alkoxyamine reacts with a peroxy radical, leading to the formation of a nitroxide, reactions (4) and (5).

In the mechanism proposed by Carlsson and Wiles [36], a secondary amine (NH) reacts with a peroxy radical, leading to a nitrogen radical and a hydroperoxide, reaction (6). The nitrogen radical in the presence of an aliphatic chain reacts by removing hydrogen from the aliphatic chain reaction (7). Surrounded by oxygen and with the hydrogen atom it will react to form a hydroperoxide (NO-OH). This last one being unstable leads to the cleavage of the –O-O- bond to form nitroxide and alcohol, reaction (8).

As suggested by Geuskens and Nedelkos [37], the reaction between an amine radical with a peroxy radical leads to the formation of a chain aliphatic alcohol and nitroxide, reaction (9).

HALS stabilizer has an effective effect on postponing aging of the polymer. The oxidation rate of the material is strongly lowered delaying as such all the harmful effects of aging such as the decrease of the ultimate mechanical properties the stiffening of the material. On a morphological point of view the crystallinity does not change significantly, indicating that the molecular structure is also somewhat stable and does not undergo meaningful changes. However, it can be noted that the main event occurring at the beginning of exposure is the moderate consumption of the vinylidene groups which results in the formation of crosslinking. This assumption is comforted by the increase of the average molecular weight and the tensile strength. Whereas, this reaction in stabilized films remains however limited compared to the unstabilized. The crosslinking reactions in stabilized LDPE do not occur at vinylidene sites, as evidenced by the stable vinylidene index during degradation. However, in unstabilized LDPE, vinylidene groups are consumed by crosslinking reactions during natural aging [8, 29].

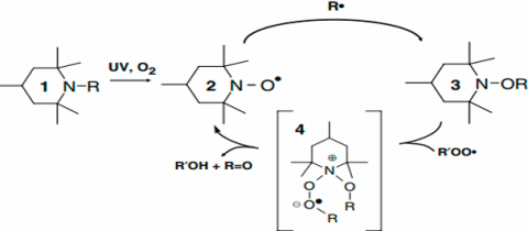
The mechanism of crosslinking in stabilized LDPE involves reactions between nitroxide radicals and alkyl radical, or alternatively between two alkyl radicals, and two peroxyl radicals (Figure 8). This explains why vinylidenes do not change significantly despite crosslinking formation [38-40].

Figure 8. Crosslinking reaction of HALS-stabilized LDPE

4. Conclusions

This work highlights the effectiveness of HALS in preventing the photo-oxidation of LDPE films during natural ageing, and how the stabilizer inhibits the photo-degradation process. The analysis by different characterization methods of film samples taken up at regular interval over 24 months of exposure has allowed the following assertions.

The most significative products revealing the photo-oxidation process of the films during weathering are carbonyl groups. After a long induction time of almost 6 months and a slow progression until 12 months these chemical species experience an auto-accelerated formation until the end of the aging protocol. The same behavior was also observable for the vinyl groups. These two chemical species are known to be key products indicating aging of this polymer and they are generated and linked by a reaction mechanism which is common to them. Such a kinetic of these two species reveals the inhibiting effect of HALS during the early stage of exposure. This beneficial action of HALS on slowing down the aging of films is also supported by the variation in the crystallinity index.

Therefore, the high efficiency of hindered-amine light stabilizers (HALS), encompassing amine and amino ether derivatives of 2,2,6,6-tetramethylpiperidine, in inhibiting polymer photo-oxidation is mainly attributed to a complex series of reactions involving scavenging of the reactive alkyl and peroxyl radicals produced during the oxidation processes.

During the polymer exposure, the nitroxide (NO.) (resulting from the oxidation of the amine group of HALS), which can react with alkyl radicals to form an alkyloxyamine. Then, these alkyloxyamine react with peroxyl radical, leading to their dissociation and to the regeneration of nitroxide radicals, which are then available to scavenge again further alkyl radicals.

Therefore, HALS of different structures undergo interconversion within cyclic pathways, effectively inhibiting species that can promote polymer aging and generating species that provide protection against it.

During the initial six-month exposure period, the presence of HALS in the film improves its mechanical properties (i.e. Stress at break and Young's modulus). This improvement is consistent with the observed increase in the number-average molecular weight, providing evidence that crosslinking is the main reason of the improvement of the mechanical properties.

According to this work, crosslinking occurs through two possible radical reaction pathways: one involving an alkyl radical and a peroxyl radical, and the other involving an alkyl radical and a nitroxide. Therefore, the stabilizer plays a significant role by promoting crosslinking reactions during the initial ageing stage. It can still be noticed that vinylidenes do not participate in these crosslinking reactions, although there are known to be reactive in unstabilized PE. This assertion is supported by the vinylidene index which does not decrease significantly with aging since it remains almost constant thorough the aging protocol.

From a mechanical point of view, the HALS stabilizer has significantly reduced the decreasing rate of the elongation at break. This slowing down of the loss of the mechanical properties is related to the ability of HALS to reduce the chain scission process, illustrated by the moderate variation in number-average molecular weight and PDI.

Finally, it can be stated that commercial greenhouse covering films made of LDPE and stabilized with HALS Kaolin offer a sufficiently long lifespan, up to 24 months.

  References

[1] Davand, R., Rahimpour, M.R., Hassanajili, S., Rashedi, R. (2021). Theoretical and experimental assessment of UV resistance of high‐density polyethylene: Screening and optimization of hindered amine light stabilizers. Journal of Applied Polymer Science, 138(43): 51262. https://doi.org/10.1002/app.51262

[2] Costa, T., Sampaio-Marques, B., Neves, N.M., Aguilar, H., Fraga, A.G. (2024). Antimicrobial properties of hindered amine light stabilizers in polymer coating materials and their mechanism of action. Frontiers in Bioenegineering and Biotechnology, 12: 1390513. https://doi.org/10.3389/fbioe.2024.1390513

[3] Ovalı, S., Sancak, E. (2022). Investigating the effect of the aging process on LDPE composites with UV protective additives. Journal of Thermoplastic Composite Materials, 35(11): 1921-1939. https://doi.org/10.1177/0892705720941908

[4] Du, B., Lee, C. Ji, Y. (2024). Study of factors affecting uv-induced photo-degradation in different types of polyethylene sheets. Polymers, 16(19): 2709. https://doi.org/10.3390/polym16192709

[5] Dilara, P.A., Briassoulis, D. (2000). Degradation and stabilization of low-density polyethylene films used as greenhouse covering materials. Journal of Agricultural Engineering Research, 76(4): 309-321. https://doi.org/10.1006/jaer.1999.0513

[6] Alariqi, S.A., Al-Areqi, N.A., Alaghbari, E.S., Singh, R.P. (2017). Stabilization of γ-sterilized low-density polyethylene by synergistic mixtures of food-contact approval stabilizers. International Journal of Industrial Chemistry, 8(2): 145-156. https://doi.org/10.1007/s40090-017-0117-0

[7] Abdelhafidi, A., Chabira, S., Yagoubi, W., Mistretta, M.C., Lamantia, F., Sebaa, M., Benchatti, A. (2017). Sun radiation and temperature impact at different periods of the year on the photooxidation of polyethylene films. International Journal of Heat and Technology, 35(2): 255-261. https://doi.org/10.18280/ijht.350204

[8] Hedir, A., Slimani, F., Moudoud, M., Lamrous, O., Touam, T., et al. (2022). Quantifying time-dependent structural and mechanical properties of UV-aged LDPE power cables insulations of UV-aged LDPE power cables insulations. Turkish Journal of Chemistry, 46(4): 956-967. https://doi.org/10.55730/1300-0527.3407

[9] Aouinet, M., Aissat, S. (2024). Climatic ageing of low-density polyethylene in agricultural greenhouses. Advances in Materials Science, 24(1): 127-138. https://doi.org/10.2478/adms-2024-0008

[10] Frigione, M., Rodríguez-Prieto, A. (2021). Can accelerated aging procedures predict the long-term behavior of polymers exposed to different environments? Polymers, 13(16): 2688. https://doi.org/10.3390/polym13162688

[11] Andrady, A.L., Law, K.L., Donohue, J., Koongolla, B. (2022). Accelerated degradation of low-density polyethylene in air and in sea water. Science of the Total Environment, 811: 151368. https://doi.org/10.1016/j.scitotenv.2021.151368

[12] Poveda, P.N., Silva, L.G., Ciro, R., Viana, H.M. (2013). Degradation behavior of linear low density polyethylene by ultraviolet radiation exposition for agricultural applications. International Nuclear Atlantic Conference, Recife, PE (Brazil). https://inis.iaea.org/records/nvqjs-e1216.

[13] Chinelatto, M.A., Agnelli, J.A.M., Canevarolo, S.V. (2015). Synthesis and photostabilizing performance of a polymeric HALS based on 1,2,2,6,6-pentamethylpiperidine and vinyl acetate. Scientific & Technical Article, 25(6): 575-580. http://doi.org/10.1590/0104-1428.2057

[14] Gugumus, F. (1990). Mechanisms and kinetics of photostabilization of polyolefins with HALS. Die Angewandte Makromolekulare Chemie: Applied Macromolecular Chemistry and Physics, 176(1): 241-289. https://doi.org/10.1002/apmc.1990.051760121

[15] Kaci, M., Sadoun, T., Cimmino, S. (2000). HALS stabilization of LDPE films used in agricultural applications. Macromolecular Materials and Engineering, 278(1): 3642. https://doi.org/10.1002/(SICI)1439-2054(20000501)278:1%3C36::AID-MAME36%3E3.0.CO;2-5

[16] Scoponi, M., Cimmino, S., Kaci, M. (2000). Photo-stabilisation mechanism under natural weathering and accelerated photo-oxidative conditions of LDPE films for agricultural applications. Polymer, 41(22): 7969-7980. https://doi.org/10.1016/S0032-3861(00)00160-9

[17] Kerboua, N., Moussaceb, K., Kaci, M., Benachour, D., Sadoun, T., Rouba, N. (2011). Modeling of the kinetic degradation of unstabilized and HALS-stabilized LDPE films in natural aging. Arabian Journal for Science and Engineering, 36(4): 541-552. https://doi.org/10.1007/s13369-011-0065-5

[18] Ma, R., Zhao, M., Mo, Y., Tang, P., Feng, Y., Li, D. (2019). HALS intercalated layered double hydroxides as an efficient light stabilizer for polypropylene. Applied Clay Science, 180: 105196. https://doi.org/10.1016/j.clay.2019.105196

[19] Pas, S.J., Tuomisto, F., Saarinen, K., Ammala, A., Turney, T.W., Hill, A.J. (2007). Stabiliser distribution and efficiency examined by depth profiling polypropylene using a positron beam. Surface Science, 601(24): 5750-5756. https://doi.org/10.1016/j.susc.2007.06.077

[20] Chirinos Padron, A.J. (1990). Performance and mechanisms of hindered amine light stabilizers in polymer photostabilization. Journal of Macromolecular Science—Reviews in Macromolecular Chemistry and Physics, 30(1): 107-154. https://doi.org/10.1080/07366579008050906

[21] Liu, Z., Chen, S., Zhang, J. (2013). Effect of UV absorbers and hindered amine light stabilizers on the photodegradation of ethylene–Octene copolymer. Journal of Applied Polymer Science, 127(2): 1135-1147. https://doi.org/10.1002/app.37955

[22] Kurumada, T., Ohsawa, H., Yamazaki, T. (1987). Synergism of hindered amine light stabilizers and UV-absorbers. Polymer Degradation and Stability, 19(3): 263-272. https://doi.org/10.1016/0141-3910(87)90059-0

[23] Yagoubi, W., Abdelhafidi, A., Sebaa, M., Chabira, S.F. (2015). Identification of carbonyl species of weathered LDPE films by curve fitting and derivative analysis of IR spectra. Polymer Testing, 44: 37-48. https://doi.org/10.1016/j.polymertesting.2015.03.008

[24] Sebaa, M., Servens, C., Pouyet, J. (1993). Natural and artificial weathering of low‐density polyethylene (LDPE): Calorimetric analysis. Journal of Applied Polymer Science, 47(11): 1897-1903. https://doi.org/10.1002/app.1993.070471101

[25] Benmiloud, N.H., Sebaa, M., Chabira, S.F., Poncot, M., Royaud, I. (2016). Ageing effects on the creep‐recovery behavior of blown extruded low density polyethylene film. Journal of Applied Polymer Science, 133(46): 44209. https://doi.org/10.1002/app.44209

[26] Budtov, V.P., Ponomareva, Y.L., Kondrashkina, N.I., Zelenkova, T.N. (1984). The change in the molecular mass distribution of photosensitized low-density polyethylene during atmospheric aging. Polymer Science U.S.S.R., 26(12): 2856-2862. https://doi.org/10.1016/0032-3950(84)90427-1

[27] Matson, J.B., Steele, A.Q., Mase, J.D., Schulz, M.D. (2024). Polymer characterization by size-exclusion chromatography with multi-angle light scattering (SEC-MALS): A tutorial review. Polymer Chemistry, 15(3): 127-142. https://doi.org/10.1039/D3PY01181J

[28] La Mantia, F.P. (1984). Natural weathering of low-density polyethylene—III: Mechanical properties. European Polymer Journal, 20(10): 993-995. https://doi.org/10.1016/0014-3057(84)90083-1

[29] Chabira, S.F., Sebaa, M., G'sell, C. (2008). Influence of climatic ageing on the mechanical properties and the microstructure of low‐density polyethylene films. Journal of Applied Polymer Science, 110(4): 2516-2524. https://doi.org/10.1002/app.28823

[30] Carrasco, F., Pagès, P., Pascual, S., Colom, X. (2001). Artificial aging of high-density polyethylene by ultraviolet irradiation. European Polymer Journal, 37(7): 1457-1464. https://doi.org/10.1016/S0014-3057(00)00251-2

[31] Subbaiah, Y., Shanmugam, S., Hau, Q.E. (2024). High temperature-size exclusion chromatography with triple detection to assess the molecular architecture of low-density polyethylene: Insight into branching and processability correlations. Journal of Separation Science, 47(2): 2300748. https://doi.org/10.1002/jssc.202300748

[32] Hodgson, J.L., Coote, M.L. (2010). Clarifying the mechanism of the Denisov cycle: How do hindered amine light stabilizers protect polymer coatings from photo-oxidative degradation? Macromolecules, 43(10): 4573-4583. https://doi.org/10.1021/ma100453d

[33] Huang, J., Le Gac, P.Y., Richaud, E. (2021). Thermal oxidation of poly (dicyclopentadiene)-Effect of phenolic and hindered amine stabilizers. Polymer Degradation and Stability, 183: 109267. https://doi.org/10.1016/j.polymdegradstab.2020.109267

[34] Step, E.N., Turro, N.J., Klemchuk, P.P., Gande, M.E. (1995). Model studies on the mechanism of HALS stabilization. Die Angewandte Makromolekulare Chemie: Applied Macromolecular Chemistry and Physics, 232(1): 65-83. https://doi.org/10.1002/apmc.1995.052320105

[35] Sedlar, J., Marchal, J., Petruj, J. (1982). Photostabilising mechanisms of HALS: A critical review. Polymer Photochemistry, 2(3): 175-207. https://doi.org/10.1016/0144-2880(82)90026-4

[36] Carlsson, D.J., Wiles, D.M. (1984). Polypropylene photo-stabilization by hindered secondary amines. A spectroscopic investigation. Polymer Degradation and Stability, 6(1): 1-16. https://doi.org/10.1016/0141-3910(84)90013-2

[37] Geuskens, G., Nedelkos, G. (1987). The oxidation of hindered amine light stabilizers to nitroxy radicals in solution and in polymers. Polymer Degradation and Stability, 19(4): 365-378. https://doi.org/10.1016/0141-3910(87)90037-1

[38] Step, E.N., Turro, N.J., Gande, M.E., Klemchuk, P.P. (1994). Mechanism of polymer stabilization by hindered-amine light stabilizers (HALS). Model investigations of the interaction of peroxy radicals with HALS amines and amino ethers. Macromolecules, 27(9): 2529-2539. https://doi.org/10.1021/ma00087a022

[39] Gugumus, F. (1990). Contribution to the photolysis of hydroperoxides in polyethylene. Polymer Degradation and Stability, 27(1): 19-34. https://doi.org/10.1016/0141-3910(90)90094-N

[40] Lacoste, J., Carlsson, D.J. (1992). Gamma‐, photo‐, and thermally‐initiated oxidation of linear low-density polyethylene: A quantitative comparison of oxidation products. Journal of Polymer Science Part A: Polymer Chemistry, 30(3): 493-500. https://doi.org/10.1002/pola.1992.080300316