Impact of Coral Recruitment on Ecosystem Sustainability in Sempu Island Nature Reserve, Indonesia

Impact of Coral Recruitment on Ecosystem Sustainability in Sempu Island Nature Reserve, Indonesia

Andik Isdianto* Ridha Ayu Wibowo Amelinda Vivian Kudrati Dian Aliviyanti Muhammad Arif AsadiCitra Satrya Utama Dewi Oktiyas Muzaky Luthfi Arief Setyanto Aulia Lanudia Fathah Dini Atikawati Alifiulahtin Utaminingsih Mohammad Maskan Berlania Mahardika Putri Supriyadi Dwi Candra Pratiwi

Department of Marine Science, Faculty of Fisheries and Marine Science, Brawijaya University, Malang 65145, Indonesia

Department of Fisheries, Faculty of Fisheries and Marine Science, Brawijaya University, Malang 65145, Indonesia

Postgraduate School, Brawijaya University, Malang 65145, Indonesia

Doctoral Program of Environmental Studies, Brawijaya University, Malang 65145, Indonesia

Doctoral Program in Sociology, Brawijaya University, Malang 65145, Indonesia

Department of Business Administration, State Polytechnic of Malang, Malang 65141, Indonesia

Postgraduate School, Universitas Gadjah Mada, Yogyakarta 55284, Indonesia

Doctoral Program in Ocean Resource and Environmental Changes, National Taiwan Ocean University, Keelung City 202, Taiwan, R.O.C

Department of Earth and Atmospheric Sciences, University of Alberta, Edmonton AB T6G 2E3, Canada

Corresponding Author Email: 
andik.isdianto@ub.ac.id
Page: 
73-82
|
DOI: 
https://doi.org/10.18280/ijdne.200108
Received: 
5 April 2024
|
Revised: 
2 January 2025
|
Accepted: 
10 January 2025
|
Available online: 
31 January 2025
| Citation

© 2025 The authors. This article is published by IIETA and is licensed under the CC BY 4.0 license (http://creativecommons.org/licenses/by/4.0/).

OPEN ACCESS

Abstract: 

Coral recruitment, which serves as a key factor in the regeneration of coral populations, is vital for the sustainability of coral ecosystems. The coral ecosystem in the waters around Sempu Island, known for its declining coral cover, relies on this recruitment process. This investigation examines the relationship between hard coral cover and coral recruitment. The percentage of coral cover and the number of coral recruits were analyzed using Pearson correlation analysis. Data were collected at five research stations with the Underwater Photo Transect method in December 2022, February 2023, and April 2023. The coral cover in the Sempu Island Nature Reserve has been deteriorating over three consecutive survey periods, with percentages recorded at 14.28%, 13.92%, and 12.57%. A total of 22 coral recruits were recorded, belonging to six identified genera: Seriatopora, Porites, Pocillopora, Goniastrea, Pavona, and Acropora. Coral recruits and hard coral cover were positively but weakly correlated (r = 0.1119). Stable substrates such as dead coral with algae (DCA), dead coral (DC), and rock (RK) may facilitate coral recruitment. Coral recruits in the Sempu Island Nature Reserve compete with macroalgae and older corals for space and resources. Given the low levels of coral cover and recruitment, sustainable management measures should be implemented to protect the Sempu Island Nature Reserve coral ecosystem.

Keywords: 

hard coral cover, the number of coral recruits, correlation between hard coral cover and the number of coral recruits, CPCe software, Underwater Photo Transect, Pearson correlation, stable recruitment substrates, sustainability management strategies of coral ecosystem

1. Introduction

Coral reef sustainability depends on the recruitment process of coral larvae, starting with settlement and continuing until a skeleton form on the surface of the substrate and survives for a certain period of time [1]. This process is a crucial component in the formation of coral reef ecosystems, especially in their recovery from disturbances. Settlement of coral larvae and post-attachment survival are two key steps for successful coral recruitment [2]. Coral recruitment was estimated based on the number of small coral colonies, defined as colonies with the longest diameter of ≤10 cm [3]. Coral larvae that successfully settle and survive influence coral reef population dynamics [4]. Additionally, measuring changes in recruitment patterns can provide early warning of potential reef damage or impacts on reef resilience following disturbances [5].

Sempu Island is a conservation area in East Java and is classified as a nature reserve. It is located in Tambakrejo Village, Malang Regency. Corals in the Sempu Island Nature Reserve waters on average live at a depth of 1-7 m [6]. Sempu Island is directly connected to the Indian Ocean, making the waters of this island, especially its coral reef ecosystem, directly affected by physical and chemical factors from the Indian Ocean. The coral ecosystem in these waters faces several challenges, and coral cover has been continuously declining [7]. The coral cover in Sempu Island Nature Reserve was 50% in 2006 and 2013 but later declined to an average of 36% across all stations [8]. From 2006 to 2009, a reclamation project involving 2.6 hectares was initiated with the purpose of constructing a fishing port. This reclamation activity resulted in sedimentation, hence impacting the overall condition of the coral ecosystem. Consequently, by 2014, the coral cover in the waters of the Sempu Island Nature Reserve had declined to 24.1% [9]. Moreover, there were fluctuations observed in the years 2016, 2017, and 2018. Specifically, there was an increase in the poor category during the period of 2016-2017, followed by a significant decrease in 2018. These fluctuations were observed at three specific stations, namely Teluk Semut, Watu Meja, and Waru—Waru. According to recent research conducted in 2023, the average coral cover in the Sempu Island Nature Reserve is approximately 11.47%, classifying it as poor [10].

A healthy coral population plays a crucial role in influencing its reproductive rate. Hartmann et al. [11] stated that populations with higher coral cover will produce more larvae per unit coral surface area compared to populations that experience a decrease. This discovery highlights how important coral cover is as a determining factor in larval production, which in turn promotes coral recovery. There is concern that the decline in coral coverage within the Sempu Island Nature Reserve may result in a drop in the population of coral larvae. This research aims to assess water quality, hard coral cover, substrate conditions, the number and genera of coral recruits, and analyze the relationship between hard coral cover and recruitment in the study area.

2. Study Area

A research study was conducted on Sempu Island, Malang Regency, at five locations during December 2022, February 2023, and April 2023. The research was conducted at five stations, specifically Watu Meja, Waru-Waru, Banyu Tawar, Rumah Apung, and Jetty (Figure 1). Watu Meja (ST1) is located at the mouth of the strait and is largely unaffected by human activities and tourism. Waru-Waru (ST2) is a popular tourist destination, visited frequently by tourists for activities such as snorkeling and swimming. The salinity of Banyu Tawar (ST3) is believed to be influenced by freshwater input from the estuary. The Jetty (ST4) is directly influenced by various activities, including fisheries and port operations. This station is frequently affected by both liquid waste from ships and solid waste. Rumah Apung (ST5) is affected by domestic waste due to its proximity to residential areas.

Figure 1. Research map

3. Method

3.1 Observation of coral cover

The research was conducted over three observation periods December 2022, February 2023, and April 2023. These periods were selected based on seasonal considerations and ecological factors. December represents the peak of the rainy season, during which high rainfall and increased terrestrial runoff contribute to the transport of sediment and nutrients, influencing marine conditions [12, 13]. The second period, February, marks the transition from the rainy season to the dry season, representing the phase of highest temperature [12, 14]. Temperature fluctuations during this period may trigger coral spawning, particularly for species that spawn at elevated temperatures. Meanwhile, April signifies the onset of the dry season, characterized by decreased sedimentation rates and more stable oceanographic dynamics.

As a focus for observing coral condition data, 10 semi-permanent transects using pegs and ropes measuring 1×1 m (Figure 2) were carried out at each research station. The distance between semi-permanent transects is approximately 10 meters and the placement is adjusted to the substrate conditions and coral distribution at each research station. Semi-permanent transects were placed at a depth range of 3–5 meters, representing water conditions influenced by external factors such as sedimentation, nutrients, and temperature variations. Each transect is tagged to facilitate the periodic identification process.

Figure 2. Use of quadrant transect as a tool of analysis area

Observations of hard coral data were carried out using the Underwater Photo Transect method (Figure 3) where the images were taken as perpendicular as possible to the object of observation or quadrant transect [15]. This method enables detailed documentation of coral reef conditions at different scales, with small quadrats (4 grids) for precise substrate composition analysis and larger quadrats for an overall assessment of coral community structure within the transect. It follows the standards established by study [16], where captured images are utilized for further analysis to identify substrate types, coral cover percentage, and community structure within the transect.

Figure 3. Underwater Photo Transect method

The data was processed using CPCe (Coral Point Count with Excel extensions) software. The analysis stages using CPCe include determining the photo frame, identifying benthic or substrate categories at each random point (50 random points), and storing the data for further processing in Microsoft Excel software [17]. The coral cover calculated using the formula:

$Category\ \% cover =\frac{ { number\ of\ category\ points }}{{ random\ number\ of\ points }} \times 100 \%$

The coral cover values obtained were then categorized according to Giyanto et al.’s [16] criteria, namely the poor category (0 to 25%), medium category (26 to 50%), good category (51 to 75%) and very good cover (76 to 100%). Identification of the benthic substrate category refers to the Survey Manual for Tropical Marine Resource 2nd Edition [18] and Coral Reef Health Monitoring Guide [16].

3.2 Observation of coral recruits

Coral recruits was observed in a 1×1 quadrant transect area and repeated ten times at the same depth. Documentation was carried out perpendicularly on the quadrant transect for 5 repetitions in each box in the transect. Coral recruit size was measured directly using callipers. Then, the documentation results were processed using ImageJ software as a cross-check for recruitment size (the specified recruitment size is >5 cm and <10 cm). The recruits found were then identified based on their morphology referring to studies [18, 19]. The abundance of coral recruits in the transects was captured for further statistical data analysis.

3.3 Correlation analysis

The Pearson correlation test (r) was carried out to see the closeness of the relationship between 2 variables. In this study, it was used to determine the closeness of the relationship between the percentage of coral cover and the number of coral recruits. The strength of correlation is shown in the following Table 1.

Table 1. Correlation level

Coefficient Interval

Correlation Value

0.00 – 0.19

Very weak

0.20 – 0.39

Weak

0.40 – 0.59

Moderate

0.60 – 0.79

Strong

0.80 – 1.00

Very strong

Source: Study of McManamay et al. [20].

4. Results and Discussion

4.1 Water quality

The water quality parameters that were collected contained temperature, salinity, pH, brightness, dissolved oxygen (DO), depth, waves, currents, nitrate, phosphate, and sedimentation rate. Parameters were taken using a Secchi disk to measure brightness, AAQ Rinko 1183s-F for salinity, temperature, and pH, a scale staff for waves, and sedimentation rate using a sediment trap. The following parameter measurement results can be seen in Table 2.

Table 2. Water quality in Sempu Island Nature Reserve

Parameter

Unit

Station

Average

Quality Standards

WM

WW

BT

RA

JT

Temperature

29.4

29.8

29.7

29.7

29.6

29.6

28 – 30a

Salinity

32.4

32.4

32.1

32.2

32.1

32.2

33 – 34a

pH

-

8.3

8.2

8.2

8

8.3

8.2

7 – 8.5a

DO

mg/L

6.4

6.3

6.3

6.4

6.4

6.4

>5a

Current

m/s

0.49

0.5

0.47

0.45

0.38

0.46

Slow: 0-0.25b m/sb

Moderate: 0.25-0.50m/s

Fast: 0.50- 1 m/s

Very fast: >100 m/s

Sedimentation

mg/cm/day

74.73

85.49

61.05

58.13

89.27

73.73

1-10 slight-moderatec

10-50 moderate-severe

>50 severe-catastrophic

Source: aIndonesian Government [26], bRamlah et al. [27], cPastorok and Bilyard [28].

The average temperature and salinity values for water quality in the Sempu Island Nature Reserve are 29.6℃ and 32.2 ppt, these values are still considered optimal. Salinity and temperature are important factors that have a significant impact on coral survival [21]. Low salinity combined with high temperatures can cause a stress response in corals, thereby affecting their growth, survival and photosynthetic efficiency [22, 23]. Temperature affects the speed of metabolism, reproduction and growth form of coral [24], while salinity values that are too low can affect coral's resistance to high temperatures [7, 25].

The current speed value in Sempu waters has an average of 0.46 m/s and categorized as medium [27]. The growth of coral is influenced by various hydrodynamic processes, particularly those associated with sediment transport. This is significant as sediment has the potential to impact the overall health of coral [21]; the level of nutrient uptake by coral [29]; as well as the process of supplying food, oxygen, the process of cleaning deposits on coral polyps [30]. The presence of moderate currents speed, waves, and tides plays a crucial role in supporting coral recruitment and growth [24].

The sedimentation rate in the waters of the Sempu Island Nature Reserve is in the catastrophic category with a value of 73.7 mg/cm/day > 50 mg/cm/day [28]. Sedimentation greatly affects fauna communities physically as well as through changes in sediment composition, organic matter and nutrient input. The study conducted by Chou et al. [31], shows a strong correlation between changes in benthic communities and the amount of clay/silt fractions in sediments. Sedimentation also disrupts coral photosynthesis by covering coral polyps [32]. Not only for adult corals, sedimentation is also a stressor for corals that are just starting to settle on the substrate [33]. Sedimentation damage that occurs on coral reefs in the waters of the Sempu Island Nature Reserve occurs due to high anthropogenic activities and river flows which cause the rate of sedimentation in the waters to increase. Sedimentation leads to the death of coral which is eventually overgrown by algae.

4.2 Susbtrate cover percentage

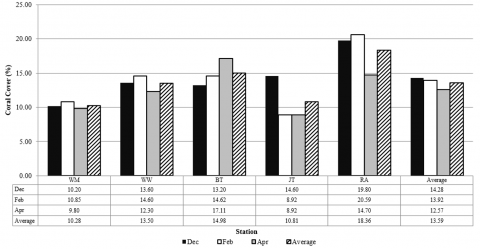
The average coral cover (Figure 4(A)) classification at 5 stations were damaged with range from 10.28%-to 18.30%). The percentage value of coral cover from December 2022, February and April 2023 decreased every month with average values 14.28%, 13.92% and 12.57% respectively which were included in the damaged category. The lowest cover shows at WM station with an average of 10.28% and the highest was at RA station with an average of 18.36%.

(A)

(B)

Figure 4. (A) Coral cover in Sempu Island Nature Reserve; and (B) Average percentage of substrate categories at each station

The condition of the coral reef ecosystem in a body of water can be seen from the percentage of live coral cover [34]. Physical, biological and human environmental pressure that occurs on coral reef ecosystems, especially from increasingly dense and high levels of human activity, includes pollutants originating from land such as dirty waste from fishing port, ship passageways, and fish waste, as well as tourist activities influence the changes of coral reef ecosystem [7, 35]. The decline is marked by the large number of dead corals that have been overgrown by algae [10]. Apart from that, it is also influenced by the presence of the South Java Current (SJC) along the coastline of South Java, which changes over time, causing sediment to stir up from the bottom of the waters, resulting in disruption to coral life on this area [36]. The low value of coral cover in the waters of the Sempu Island Nature Reserve is predicted by the high percentage of sand and silt at several stations, this can support the reason that the sedimentation rate is relatively high.

The results of the overall benthic substrate cover are shown in Figure 4(B). Sempu Island Nature Reserve consists of an overall of 8 substrate types, which include hard coral (HC), dead coral (DC), dead coral with algae (DCA), rubbles (R), rocks (RK), sand (S), silt (SI), and macroalgae (MA). The figure provide insight into a substrate that is suitable to successful recruitment due to its high stability. Examples of such substrates include dead coral with algae (DCA), dead coral (DC), and rocks (RK). The stability of DCA is considered to be as beneficial; nevertheless, the recruitment process of coral planula may be hindered by the presence of algae that covers the surface of dead coral.

4.3 Recruitment

4.3.1 Total coral recruits found

A total of 22 coral recruits (Figure 5) were found at the five stations during 3 months of observation and their numbers increased or remained constant. The highest number of recruits was at Watu Meja station with a total of 8 recruits in the whole month. In December, no recruits at the WM station were found in the transects during observations, but in the following months, namely February and April, 8 recruits were found in each month.

Figure 5. Total coral recruits found in Sempu Island Nature Reserve

Coral recruitment in WM was found most often attached to parts of dead coral covered in algae (DCA) (Figure 4(B)) because this substrate is stable and has many crevices, making the recruitment process easier. Even though they are in large numbers, their existence is threatened by the coral recruits at this station because they are thought to be competing for space with macroalgae which simultaneously grow on the surface of dead coral. The station with the second highest total recruitment was Jetty Port with a total of 6 recruits. Even though the silt substrate cover is quite high, this station provides the highest stable and gapped rock (RK) substrate compared to other stations for the recruitment process.

The lowest number of recruits was at Waru-Waru station with 2 recruits. The few coral recruits found in WW were thought to be due to the limited availability of stable substrates for coral recruitment such as rocks and dead coral. The WW station is dominated by silt and is the only station where macroalgae are found, so there is a risk of increasing obstacles to the coral recruitment process at this station. The high hard coral cover at Waru-Waru station is thought to increase competition for space and nutrients, thereby inhibiting the growth of juveniles [37].

The benthic substrate is very important in the continuity of coral recruitment. The basic substrate type of the Sempu Island Nature Reserve is dominated by clay, which due to its low mass, it has the potential to clog coral polyps, which can cause health problems and disease and disrupt the recruitment process [38]. Nozawa et al. [39] also stated that most coral recruits were found attached to plates with surfaces that had crevices, compared to smooth ones. Apart from that, coral recruits are also often found on stable substrates such as dead coral and rocks compared to coral fragments and sand substrates [40].

4.3.2 Genus of coral recruits

According to the results, it was found that 6 genera of coral recruits (Figure 6) in the waters of Sempu Island, namely Seriatopora, Porites, Pocillopora, Goniastrea, Pavona and Acropora. The most common coral recruitment genera found at sizes <5 cm were Pocillopora and Goniastrea. The presence of different coral life forms is indeed influenced by the environmental conditions in which the coral is situated, where this is influenced by natural or anthropogenic factors [41]. The Pocillopora genus has a submassive growth form which is characterized by colonies reaching large sizes with branches that are slightly upright, large at the base, and wide at the top of the branches [42]. Pocillopora is known to have fast growth, high survival rate, and high abundance, especially in the Indo-Pacific region, so this species is suitable for transplantation to conserve coral reef [43, 44].

Figure 6. Coral recruits genus in Sempu Island Nature Reserve

Meanwhile, the genus Goniastrea has a form of massive growth or rock. Massive and submassive coral groups have coral characteristics that can survive and are often found in murky waters [32], this is in accordance with the five research stations which have high sedimentation rates [28], so it is more many coral recruits were found in submassive and massive growth forms. Other physical parameters such as strong currents and waves are usually dominated by short, strong, creeping or submassive branching corals, this is in accordance with the current conditions of the Sempu Island Nature Reserve which are classified as fast current [27].

4.4 Correlation of coral cover and coral recruits

Statistical analysis of the correlation-regression test between the percentage of live coral cover and the number of coral recruits obtained a correlation coefficient of 0.1119 (Figure 7). This value indicates that the relationship between the two variables is very weak, so that an increase or decrease in live coral cover does not have a significant effect on the amount of coral recruitment at a location. The pattern of relationship between these two variables can be described with the equation y=0.0213x + 0.0326, where x is coral cover and y is coral recruitment.

Figure 7. Correlation between coral cover and coral recruitment

The weak correlation indicates that various other factors play a more significant role in determining the success of coral recruitment. Some of the key factors influencing coral recruitment include the availability of stable substrates, such as dead coral with algae (DCA), dead coral (DC), and rocks (RK) [45]. Additionally, environmental pressures such as sedimentation can act as a major constraint on juvenile coral growth. Previous research [45] documented that the sedimentation rate in the waters of Selat Sempu falls into the catastrophic category, with values reaching 73.7 mg/cm²/day, exceeding the 50 mg/cm²/day threshold.

Furthermore, environmental factors such as water temperature, dissolved oxygen (DO), and nutrient levels that promote macroalgae growth contribute to the competition between corals and macroalgae for space, ultimately inhibiting coral recruitment [10]. Another influencing factor is anthropogenic disturbances, including fishing and tourism activities, which can also negatively impact coral recruitment.

Despite the very weak correlation observed in this study, the relationship remains positive. The positive correlation results are supported by Ayu et al. [46] who stated that there is a high positive correlation between the percentage of live coral cover and the density of coral juveniles. This study also provides other results that the density of coral juveniles is more common in dead coral than in live coral, this is because dead coral is a stable substrate so it is suitable for the coral recruitment process [5, 47]. There are differences in the level of correlation between the percentage of hard coral cover and the number of coral recruits at each location, indicating that coral recruitment is not the only factor in supporting an increase in coral cover in an area.

Research by Giyanto et al. [37] provided another perception that high hard coral cover also has the potential to increase competition in terms of getting space and nutrients, thereby hampering the recruitment process of young corals. This gap shows the need to emphasize the complexity of factors that influence coral recruitment, thus requiring more research further to understand the specific conditions under which hard coral cover can positively impact coral recruitment [48].

Adult coral colonies play an important role in producing coral larvae, but not all larvae produced will be successful in the recruitment process. Genetic diversity and the adaptability of parent corals have an impact on larval dispersal and settlement, thereby influencing recruitment success [49]. Other factors such as competition with algae and other biota [50], water quality and human activities also influence recruitment success. However, efforts to increase the number of recruits through restoration initiatives have become important in the sustainability of coral ecosystems. Several conservation activities such as coral propagation, large-scale restoration, selective breeding of heat-tolerant corals, marine protected areas, can contribute significantly to increasing coral recruitment and increasing the natural recovery process [51, 52].

4.5 Sustainable coral-reef management perspective

Dissolved oxygen (DO) as an important environmental factor influencing coral diversity has implications for targeted marine conservation strategies [53]. The coral ecosystem sustainability management strategy, using a conservation approach, aims to guarantee the long-term sustainability and optimal functioning of the coral ecosystem. This conservation strategy involves a sequence of actions to conserve, rehabilitate, and sustainably manage coral ecosystems. An efficient conservation method involves the establishment and management of coral conservation areas to protect coral ecosystems against destructive human activities [54]. Conservation initiatives in Raja Ampat and Komodo National Park have demonstrated the effectiveness of marine protected areas (MPAs) in enhancing coral resilience and biodiversity [55, 56]. Implementing similar approaches in the Sempu Island Nature Reserve could provide long-term ecological benefits. Furthermore, conservation efforts encompass strategies aimed at restoring degraded coral habitats, either by replanting damaged corals or by enhancing their surrounding environment condition. Artificial coral reefs represent man-made constructions designed to imitate natural reefs, offering a variety of habitats for marine species [48].

As previously mentioned, coral recruitment and adult coral cover have a vital role in the continuity of coral cover conditions. Efforts that can be offered include serving habitat engineering that is aimed at the requirements and issues of waters of the Sempu Island Nature Reserve. The following are steps that can be proposed:

  1. Carrying out a conservation class assessment. This aims to predict the condition of coral, invertebrate, fish biodiversity, potential abundance of fish and habitat for rare animals in a water area as well as environmental stressors [49]. Utilizing proximity sensing technology by analyzing sea surface temperature (SST), turbidity, salinity, and wind speed in various machine learning (ML) algorithms can estimate the extent of coral bleaching to help the institutions involved in creating data-based solutions [50].
  2. Create marine conservation policies based on previous conservation class assessments. A co-management framework that fosters collaboration between government agencies, local fishing communities, and conservation NGOs is crucial for the effective implementation and enforcement of marine conservation policies. Karimunjawa National Park has applied a collaborative management approach since 2007, integrating various government departments and community groups. Similarly, co-management in Komodo National Park (TNK) facilitates the distribution of authority among national and local governments and local communities, ensuring more efficient and sustainable coastal resource management [57, 58]. Several factors need to be considered so that the marine conservation policy itself can function optimally. Therefore, competent human resources are needed and have the correct technical understanding [51].
  3. Develop management conservation strategies for the waters of Sempu Island Nature Reserve, while ensuring an effective integration of monitoring and evaluation. This can be achieved through methods such as coral transplants, submerging artificial reefs, cultivating coral gardens, and other similar approaches. Previously, conservation efforts in Sempu waters included the establishment of a coral garden in 2013 [52], but this activity appears to have been unsustainable due to a lack of monitoring and evaluation.
  4. Provide education to coastal communities who interact with the sustainability of coral reefs. The government and community are encouraged to increase awareness of conservation efforts [57, 58]. A study in Bali highlights that social factors, such as education and active community participation, are key determinants of rehabilitation success. Consequently, various organizations have initiated community engagement programs, ranging from education initiatives to skill development, to enhance local involvement in conservation efforts [59, 60].

Given the increasing frequency of climate-induced coral bleaching events in Indonesia, conservation measures should prioritize the identification and protection of thermally resilient coral species within Sempu Island’s reefs. Additionally, adaptive management strategies should be developed to monitor and respond to temperature fluctuations, ensuring the long-term sustainability of coral populations. The importance of a conservation approach is also shown in attempts to reduce pressure on coral ecosystems from harmful fishing, pollution, and climate change. These efforts involve governments, local communities, and conservation organizations collaborating to create sustainable management policies and practices. Furthermore, conservation measures include public education and outreach on the value of coral ecosystems and how people may help protect them. It is envisaged that by employing a holistic and sustainable conservation approach, coral ecosystems will be able to preserve themselves and benefit future generations.

5. Conclusion

Water quality and coral ecosystems in the Sempu Island Nature Reserve reveals significant findings regarding the state of the marine environment and its impact on coral health and recruitment. The water quality parameters, including temperature, salinity, pH, dissolved oxygen, and sedimentation rates, were within optimal ranges for coral survival, except for salinity which was slightly lower than ideal, and sedimentation rates which were alarmingly high, indicating severe to catastrophic levels of sedimentation. This high rate of sedimentation is detrimental to coral health, as it physically impacts the fauna, alters sediment composition, and hinders coral photosynthesis by smothering coral polyps, ultimately leading to coral death and algae overgrowth.

The substrate cover analysis showed a damaged coral ecosystem, with coral cover classification across five stations ranging from severely damaged to catastrophic. This degradation is attributed to physical, biological, and anthropogenic pressures, including pollution and sedimentation stirred by the South Java Current. The presence of various substrate types indicated areas suitable for coral recruitment but also highlighted the challenges posed by algae overgrowth on dead coral, which hampers the recruitment of new corals.

Coral recruitment observations showed an increase or stable number of recruits, with variations across stations influenced by substrate stability and presence of algae. The recruits were primarily found on stable substrates like dead coral and rocks, suggesting that these areas are critical for coral larvae attachment and survival. However, the overall low number of recruits underscores the ongoing challenges to coral recovery in the waters of Sempu Island Nature Reserve.

Based on the results of research at the five stations over three observation periods, it is known that the average coral cover in the waters of Sempu Island Nature Reserve has decreased respectively to 14.28%, 13.92% and 12.57%, which is categorized as poor. It is also known that there were a total of 22 coral recruits during the observations, with six identified genera including Seriatopora, Porites, Pocillopora, Goniastrea, Pavona and Acropora. The highest number of coral recruits overall was found at the Watu Meja station with eight recruits and the lowest was at Waru-Waru with two recruits.

The results of both correlation tests were carried out and showed a positive relationship with a very weak level of relationship. Hard coral cover is not the only factor that determines the number of coral recruits, but the availability of substrate and competition with other biota, including competing with adult corals themselves.

This study provides critical insights into the ongoing degradation of coral ecosystems in the Sempu Island Nature Reserve, emphasizing the significant impact of high sedimentation rates, suboptimal water quality, and limited stable substrate availability on coral health and recruitment. The findings demonstrate that while some coral recruitment is occurring, it remains insufficient to offset the decline in coral cover, which has consistently decreased across observation periods. The weak correlation between hard coral cover and the number of recruits further underscores the complexity of coral recruitment dynamics, highlighting the role of substrate availability, competition with algae, and anthropogenic stressors as key factors influencing coral recovery. Given these findings, this study reinforces the urgent need for targeted conservation measures that prioritize sedimentation control, water quality improvement, and habitat restoration. Establishing marine protected areas (MPAs), implementing adaptive management strategies, and integrating community-based conservation efforts are essential steps toward ensuring the long-term sustainability of coral reefs in the Sempu Island Nature Reserve.

Acknowledgment

This research received no specific grant from any funding agency in the public, commercial, or not-for-profit sectors. The author would like to thank the support of Fisheries and Marine Resources Exploration Laboratory, Brawijaya University and Pondokdadap Beach Fishing Harbor which has facilitated the conduct of this research by providing opportunities and equipment to carry out observations in the field.

  References

[1] Munasik, Suharsono, Situmorang, J., Kamiso, H.N. (2014). Density and survival in recruitment of pocillopora damicornis coral. Ilmu Kelautan, 19(3): 171-180.

[2] Elmer, F., Bell, J.J., Gardner, J.P.A. (2018). Coral larvae change their settlement preference for crustose coralline algae dependent on availability of bare space. Coral Reefs, 37(2): 397-407. https://doi.org/10.1007/s00338-018-1665-2

[3] Obura, D., Grimsditch, G. (2009). Resilience Assessment of Coral Reefs: Assessment Protocol for Coral Reefs, Focusing on Coral Bleaching and Thermal Stress. Gland, Switzerland: IUCN.

[4] Ritson-Williams, R., Arnold, S., Fogarty, N., Steneck, R.S., Vermeij, M., Paul, V.J. (2009). New perspectives on ecological mechanisms affecting coral recruitment on reefs. Smithsonian Contributions to the Marine Sciences, 38: 437–57. https://doi.org/10.5479/si.01960768.38.437

[5] Nativ, H., Scucchia, F., Martinez, S., Einbinder, S., Chequer, A., Goodbody-Gringley, G., Mass, T. (2021). In situ estimation of coral recruitment patterns from shallow to mesophotic reefs using an optimized fluorescence imaging system. Frontiers in Marine Science, 8. https://doi.org/10.3389/fmars.2021.709175

[6] Luthfi, O.M., Yulianto, F., Pangaribuan, S.P.C., Putranto, D.B.D., Alim, D.S., Sasmitha, R.D. (2019). Condition of the basic substrate of the waters of Sempu Island Nature Reserve, Malang Regency. Journal of Marine and Aquatic Sciences, 5(1): 77. https://doi.org/10.24843/jmas.2019.v05.i01.p09

[7] Wibawa, I.G.N.A., Luthfi, O.M. (2017).Water quality of coral reef ecosystem at Sempu Strait, Sendang Biru Malang. Jurnal Segara, 13(1): 25-35. 

[8] Wibawa, I. G. N. A., Luthfi, O.M. (2017). Water quality in the coral reef ecosystem in the Sempu Strait, Sendang Biru, Malang. Jurnal Segara, 13(1). https://doi.org/10.15578/segara.v13i1.6420

[9] Luthfi, O.M., Rahmadita, V.L., Setyohadi, D. (2018). Observing the condition of coral reef ecological equilibrium on Sempu Island, Malang using the hard coral colony area approach (Scleractinia). Ilmu Lingkungan, 16(1): 1-8. https://doi.org/10.14710/jil.16.1.1-8

[10] Isdianto, A., Kurniawan, A., Wicaksono, A.D., Marhaendra, Q.N.I., Putri, B.M., Fathah, A.L., et al. (2023). Observation of coral reef and macroalgae competition in the Sempu Strait, Malang. Journal of Ecological Engineering, 24(10): 174-184. https://doi.org/10.12911/22998993/170246

[11] Hartmann, A.C., Marhaver, K.L., Vermeij, M.J.A. (2018). Corals in healthy populations produce more larvae per unit cover. Conservation Letters, 11: 1-12. https://doi.org/10.1111/conl.12410

[12] Aguilera, R., Mélack, J.M. (2018). Concentration-discharge responses to storm events in coastal california watersheds. Water Resources Research, 54(1): 407-424. https://doi.org/10.1002/2017wr021578

[13] Gaol, J.L., Sadhotomo, B. (2017). Characteristics and variability of Java Sea oceanographic parameters in relation to fish catch distribution. Jurnal Penelitian Perikanan Indonesia, 13(3): 201. https://doi.org/10.15578/jppi.13.3.2007.201-211

[14] Dievart, A., Grondin, A. (2023). Seasonality of coral spawning in Reunion Island: Influence of global and local environmental parameters on coral reproduction. Université de La Réunion. https://doi.org/10.13140/RG.2.2.31281.56163

[15] Wulandari, P., Sainal, Cholifatullah, F., Janwar, Z., Nasruddin, Setia, T.M., et al. (2022).The health status of coral reef ecosystem in Taka Bonerate, Kepulauan Selayar Biosphere Reserve, Indonesia. Biodiversitas, 23(2): 721-732. https://doi.org/10.13057/biodiv/d230217

[16] Giyanto, G., Manuputty, A.E.W., Muhammad, A., Siringoringo, R.M., et al. (2014). Coral Reef Health Monitoring. Coremap CTI LIPI. https://www.researchgate.net/publication/335600456_Panduan_Monitoring_Kesehatan_Terumbu_Karang, accessed on Feb. 19, 2025. 

[17] Nurrahman, Y.A., Faizal, I. (2020).Condition of coral reef cover on Panjang Island, thousand islands national park, DKI Jakarta. Akuatika Indonesia, 5(1): 27. 

[18] English, S., Wilkinson, C., Baker, V. (1997). Survey Manual for Tropical Marine Resources. Australian Institute of Marine Science.

[19] Babcock, R.C., Baird, A.H., Piromvaragorn, S., Thomson, D.P., Willis, B.L. (2003).Identification of scleractinian coral recruits from Indo-Pacific reefs. Zoological Studies, 42(1): 211-226. 

[20] McManamay, R.A., Bevelhimer, M.S., Frimpong, E.A. (2014). Associations among hydrologic classifications and fish traits to support environmental flow standards. Ecohydrology, 8(3): 460-479. https://doi.org/10.1002/eco.1517

[21] Isdianto, A., Muzaky Luthfi, O., Fikri, M., Fairuz Haykal, M., Supriyadi, S. (2020). Actualize the coastal ecosystem resilience: Determining the location of artficial reef. Journal of Innovation and Applied Technology, 6(2): 1059-1068. https://doi.org/10.21776/ub.jiat.2020.006.02.8

[22] Ding, D.S., Wang, S.H., Sun, W.T., Liu, H.L., Pan, C.H. (2022). The effect of feeding on briareum violacea growth, survival and larval development under temperature and salinity stress. Biology, 11(3): 410. https://doi.org/10.3390/biology11030410

[23] Patthanasiri, K., Lirdwitayaprasit, T., Yeemin, T., Thongcamdee, I., Potisarn, N. (2022). Effects of temperature and salinity on coral bleaching in laboratory. International Journal of Environmental Science and Development, 13(1): 21-25. https://doi.org/10.18178/ijesd.2022.13.1.1367

[24] Ampou, E.E., Johan, O., Menkès, C., Niño, F., Birol, F., Ouillon, S., Andréfouët, S. (2017). Coral mortality induced by the 2015–2016 el-niño in Indonesia: The effect of rapid sea level fall. Biogeosciences, 14(4): 817-826. https://doi.org/10.5194/bg-14-817-2017

[25] Malaysia, R.C. (2018). Status of coral reefs in Malaysia. Reef check Malaysia survey report.

[26] Indonesian Government. (2021). Government Regulation no. 22 of 2021 on Environmental Protection, Organisation and Management. FAO. http://jdih.setkab.go.id/. 

[27] Ramlah, S., Fajri, N.E., Adriman. (2015). Physical, chemical parameters and saphrobic coefficients (X) as determinants of water quality in the Senapelan River, Pekanbaru. Jurnal Online Mahasiswa, 2(2): 329-332.

[28] Pastorok, R.A., Bilyard, G.R. (1985). Effects of sewage pollution on coral-reef communities. Marine Ecology Progress Series, Oldendorf, 21(1): 175-189. https://doi.org/10.3354/meps021175

[29] Hearn, C., Atkinson, M., Falter, J. (2001). A physical derivation of nutrient-uptake rates in coral reefs: Effects of roughness and waves. Coral Reefs, 20: 347-356. https://doi.org/10.1007/s00338-001-0185-6

[30] Li, X., Huang, H., Lian, J., Yang, J., Ye, C., Chen, Y., Huang, L. (2012). Coral community changes in response to a high sedimentation event: A case study in Southern Hainan Island. Chinese Science Bulletin, 58(9): 1028-1037. https://doi.org/10.1007/s11434-012-5601-5

[31] Chou, L.M., Yu, J.Y., Loh, T.L. (2004). Impacts of sedimentation on soft-bottom benthic communities in the southern islands of Singapore. Hydrobiologia, 515: 91-106. https://doi.org/10.1023/B:HYDR.0000027321.23230.2f

[32] Barus, B.S., Prartono, T., Soedarma, D. (2018). Environmental influence on coral reef growth forms in lampung bay waters. Jurnal Ilmu Dan Teknologi Kelautan Tropis, 10(3): 699-709. https://doi.org/10.29244/jitkt.v10i3.21516

[33] Moeller, M., Nietzer, S., Schils, T., Schupp, P.J. (2017). Low sediment loads affect survival of coral recruits: The first weeks are crucial. Coral Reefs, 36: 39-49. https://doi.org/10.1007/s00338-016-1513-1

[34] Fauziah, S., Komala, R., Hadi, T.A. (2018). Struktur komunitas karang keras (Bangsa Scleractinia) di pulau yang berada di dalam dan di luar kawasan taman nasional, kepulauan Seribu. Bioma, 14(1): 10-18. https://doi.org/10.21009/Bioma14(1).6

[35] Arifin, F., Dirgayusa, I.G.N.P., Faiqoh, E. (2017). Struktutr komunitas ikan dan Tutupan Karang di Area Biorock Desa Pemuteran, Buleleng, Bali. Journal of Marine and Aquatic Sciences, 3(1): 59-69. https://doi.org/10.24843/jmas.2017.v3.i01.59-69

[36] Luthfi, O.M., Jauhari, A. (2014). Assessment on physical-chemical condition at Sempu Island’s waters as a coral garden purpose. ISOI: Prosiding Pertemuan Ilmiah Nasional Tahunan X ISOI, 2014: 49-61.

[37] Giyanto, Dewi, R., Azkiyah, B.U. (2023). Coral recruitment and its relationship to hard coral cover in the Derawan Islands, East Kalimantan. IOP Conference Series: Earth and Environmental Science, 1137: 012001. https://doi.org/10.1088/1755-1315/1137/1/012001

[38] Risk, M.J., Edinger, E. (2011). Impacts of sediment on coral reefs. In: Encyclopedia of Modern Coral Reefs, pp. 575-586. https://doi.org/10.1007/978-90-481-2639-2_25

[39] Nozawa, Y., Tanaka, K., Reimer, J.D. (2011). Reconsideration of the surface structure of settlement plates used in coral recruitment studies. Zoological Studies, 50(1): 53-60.

[40] Meylani, V., Hernawati, D., Putra, R.R., Wibowo, A. (2023). Elucidating environmental determinants of coral species richness at Pangandaran beach: A dissolved oxygen-centric model. International Journal of Design & Nature and Ecodynamics, 18(6): 1291-1297. https://doi.org/10.18280/ijdne.180602

[41] Ekel, J.R., Menembu, I.S., Manengkey, H.W., Roeroe, K.A., Omphi, M., Sambali, H. (2021). Keanekaragaman genus karang scleractinia di Perairan Pulau Tidung Kepulauan Seribu Provinsi DKI Jakarta. Jurnal Ilmiah Platax, 9(2): 157-166.

[42] Astrawan, I.G.B., Faiqoh, E., Dharma, I.G.B.S. (2021). Keanekaragaman kepiting pada dead coral (Pocillopora sp. dan Acropora sp.) berdasarkan perbedaan kedalaman di Perairan Teluk Pemuteran, Buleleng, Bali. Journal of Marine and Aquatic Sciences, 7(1): 1-9.

[43] Li, Y., Bi, K., Lu, J., He, C., Lu, Z. (2020). The 3D reconstruction of pocillopora colony sheds light on the growth pattern of this reef- the 3d reconstruction of pocillopora colony sheds light on the growth pattern of this reef-building coral. ISCIENCE, 23(6): 101069. https://doi.org/10.1016/j.isci.2020.101069

[44] Rivest, E.B., Hofmann, G.E. (2014). Responses of the metabolism of the larvae of pocillopora damicornis to ocean acidification and warming. PloS One, 9(4): e96172. https://doi.org/10.1371/journal.pone.0096172

[45] Isdianto, A., Wibowo, R.A., Kudrati, A.V., Aliviyanti, D., Asadi, M.A., Dewi, C.S.U. (2024). Assessing the relationship between coral cover and coral recruitment in the degraded ecosystems of Sempu Nature Reserve, East Java, Indonesia. Biodiversitas, 25(9): 3075-3083. https://doi.org/10.13057/biodiv/d250929

[46] Ayu, K., Halisah, Z., Solichin, A., Sabdaningsih, A. (2020). Quality of juvenile coral recruitment habitat in the waters of Kemujan Island, Karimunjawa. Buletin Oseanografi Marina, 9(2): 141-149. https://doi.org/10.14710/buloma.v9i2.31038

[47] Lazuardi, W., Ardiyanto, R., Marfai, M.A., Mutaqin, B.W., Kusuma D.W. (2021). Coastal reef and seagrass monitoring for coastal ecosystem management. International Journal of Sustainable Development and Planning, 16(3): 557-568. https://doi.org/10.18280/ijsdp.160317 

[48] Holbrook, S.J., Adam, T.C., Edmunds, P.J., Schmitt, R.J., Carpenter, R.C., Brooks, A.J. (2018). Recruitment drives spatial variation in recovery rates of resilient coral reefs. Scientific Reports, 8(1): 7338. https://doi.org/10.1038/s41598-018-25414-8

[49] Leite, D.C., Leão, P., Garrido, A.G., Lins, U., Santos, H. F., Pires, D.O., Peixoto, R.S. (2017). Broadcast spawning coral Mussismilia hispida can vertically transfer its associated bacterial core. Frontiers in Microbiology, 8: 176. https://doi.org/10.3389/fmicb.2017.00176

[50] Cortés-Useche, C., Muñiz-Castillo, A.I., Calle-Triviño, J., Yathiraj, R., Arias-González, J.E. (2019). Reef condition and protection of coral diversity and evolutionary history in the marine protected areas of Southeastern Dominican Republic. Regional Studies in Marine Science, 32: 100893. https://doi.org/10.1016/j.rsma.2019.100893

[51] Lawelai, H., Sadat, A., Harakan, A. (2024). The level of local community involvement in sustainable tourism marketing of the world coral triangle in Wakatobi National Park, Indonesia. International Journal of Sustainable Development & Planning, 19(12): 4831-4841. https://doi.org/10.18280/ijsdp.191230

[52] Maya, P.H.M., Smit, K.P., Burt, A.J., Frias-Torres, S. (2016). Large-scale coral reef restoration could assist natural recovery in Seychelles, Indian Ocean. Nature Conservation, 16: 1-17. https://doi.org/10.3897/natureconservation.16.8604

[53] Edinger, E.N., Risk, M.J. (2000). Reef classification by coral morphology predicts coral reef conservation value. Biological Conservation, 92(1): 1–13. https://doi.org/10.1016/S0006-3207(99)00067-1

[54] Hamid, N., Setyowati, D.L., Juhadi, Priyanto, A.S., Hardati, P., Soleh, M., Wijayanti, N.R., Aroyandini, E.N. (2021). The effect of human activities towards coastal dynamics and sustainable coastal management. International Journal of Sustainable Development and Planning, 16(8): 1479-1493. https://doi.org/10.18280/ijsdp.160809

[55] Hadi, T.A., Sujono, P.A.W., Clarita, C., Budiyanto, A., Edrus, N.I., Sulha, S., Kefi, A. (2023). Interactions between hard corals and reef fish communities in the Komodo National Park, East Nusa Tenggara Timur. In IOP Conference Series: Earth and Environmental Science, 1137(1): 012004. https://doi.org/10.1088/1755-1315/1137/1/012004

[56] Qodir, F., Maisaroh, D.S., Violando, W.A., Johan, O., Waspodo, S. (2023). Zoning effectiveness of marine nature reserve conservation areas (sap) raja ampat islands against coral reef protection. Jurnal Biologi Tropis, 23(1): 420-431. https://doi.org/10.29303/jbt.v23i1.4623

[57] Hadiapurwa, A., Ali, M., Ropo, E., Hernawan, A.H. (2024). Teacher effort in strengthening student’s thinking skill and awareness upon environment conservation: PLS-SEM of Climate Change Education (CCE) study. International Journal of Environmental Impacts, 7(1): 111-119. https://doi.org/10.18280/ijei.070113 

[58] Alhadi, Z., Rahman, A., Yusran, R., Yuliarti. (2024). Policy analysis for handling environmental damage based on disaster mitigation in Nagari Air Dingin, Solok Regency. International Journal of Environmental Impacts, 7(4): 769-780. https://doi.org/10.18280/ijei.070417

[59] Trialfhianty, T.I., Suadi. (2017). The role of the community in supporting coral reef restoration in Pemuteran, Bali, Indonesia. Journal of Coastal Conservation, 21: 873-882. https://doi.org/10.1007/s11852-017-0553-1

[60] Susilo, E., Isdianto, A., Parawangsa, I.N.Y., Fathah, A.L., Putri, B.M. (2024). Balancing tradition and conservation: The use of turtles in Balinese ceremonies and its environmental implications. International Journal of Environmental Impacts, 7(2): 233-243. https://doi.org/10.18280/ijei.070208