Feed Sufficiency Model on Corn-Goat Integration in Deli Serdang Regency North Sumatra, Indonesia

Feed Sufficiency Model on Corn-Goat Integration in Deli Serdang Regency North Sumatra, Indonesia

A. B. Santoso* Khairiah S. F. Batubara A. R. Hasyim S. Hidayat | V. Aryati R. A. Saptati | N. Chairuman

Research Center for Macroeconomics and Finance, National Research and Innovation Agency, DKI Jakarta 12710, Indonesia

Research Center for Social Welfare, Villages, and Connectivity, National Research and Innovation Agency, DKI Jakarta 12710, Indonesia

Research Center for Food Crops, National Research and Innovation Agency, Cibinong Science Center, Cibinong 16911, Indonesia

Agricultural Instruments Standardization Application of North Sumatera, Ministry of Agriculture, Medan 20143, Indonesia

Research Center for Cooperatives, Corporations, and People's Economy, National Research and Innovation Agency, DKI Jakarta 12710, Indonesia

Corresponding Author Email: 
agung.budi.santoso@brin.go.id
Page: 
639-648
|
DOI: 
https://doi.org/10.18280/ijdne.190230
Received: 
23 November 2023
|
Revised: 
14 March 2024
|
Accepted: 
20 March 2024
|
Available online: 
25 April 2024
| Citation

© 2024 The authors. This article is published by IIETA and is licensed under the CC BY 4.0 license (http://creativecommons.org/licenses/by/4.0/).

OPEN ACCESS

Abstract: 

Feed sufficiency is defined as the balance between livestock needs and resources, particularly land, that can provide them. Feed sufficiency in the corn-goat integration model is sometimes unsustainable due to differences in the cycles of plants that produce feed sources and the cycles of livestock that require daily feed. The study aims to develop a model of feed provision for goats based on the potential of corn plants to determine the ideal number of livestock and corn land area in achieving sustainable feed adequacy. The research was conducted in Deli Serdang Regency from June to December 2021. The location was determined by purposive sampling on a corn planting area of 20 ha and a goat population from the core group of 154 heads. Data was analyzed descriptively, and feed sufficiency modelling was performed using a dynamic system model. The plant disease pest attacks (HPT) index is 4% in the vegetative phase and 2.5% in the generative phase. The biomass-to-feed conversion rate is 47.5%, and the feed need is 10% of the goat's weight. Dynamic system analysis was carried out on three models: (1) the existing model (a combination of 154 heads and 20 hectares per planting), (2) the improved model-1 (a combination of 154 heads and 20 hectares divided into two planting groups of 10 hectares each), and (3) the improved model-2 (a combination of 154 heads and 36 hectares divided into three planting groups of 12 ha each). The findings indicate that existing corn-goat integration management has not achieved sustainable feed adequacy. The optimal model is the improved model 2, which produces year-round feed adequacy while minimizing storage. This improved model-2 saves opportunity costs of IDR. 22,350,000 (U$1,442). Strengthening farming institutions is a strategy for implementing corn-goat integration, resulting in sustainable feed adequacy.

Keywords: 

corn, dynamic system, feed sufficiency, goat, sustainable agriculture, zero-waste, Indonesia

1. Introduction

The development of the livestock industry, including small ruminants relies heavily on sourcing and managing feed [1]. Ruminant feed comes mostly from forages such as grass, legumes, and foliage as well as by-products of agriculture which account for 70% of the total feed, and the rest in the form of protein sources such as concentrate. Even smallholders or traditional breeders provide ruminants with low-quality forage with high crude fibre, low protein, energy, and minerals without supplemental proteins/concentrate sources [2]. In the semi-arid area, of Beitbridge District, Zimbabwe, only 54% of goat farmers supplement because the current rangeland is insufficient for providing feed. Crop residues (40%), browse-tree foliage (28%), and commercial feeds (22%) were the most used supplements [3]. Meanwhile, the cultivation of feed crops (quality grass and legumes) is also constrained by limited land due to the priority of land use for food/crops [4]. Therefore, one way to increase goat production is through utilizing existing feed resources, both from cultivated and non-cultivated forage sources, as well as byproducts of food crops/plantations.

Corn plants have the potential to produce feed biomass, in the form of stems, leaves, husks, corncobs, and young corn which are generally harvested at the age of 45-84 days [5, 6]. North Sumatra had a corn crop harvest area of 319,507 ha in 2019 and 321,184 ha in 2020 [7]. Increasing planting area and corn production can potentially increase the use of corn by-products (other than corn kernels) in the livestock sector, particularly ruminants [8, 9]. Corn plant biomass contains nutrients in the form of cellulose amounting to 39.47%; hemicellulose 27-36%; lignin 3-16%; crude protein in stems is 3.75%, leaves 7% and bark 2.8% [10]; fat 1.84%; crude fibre 28.95%; ash content range 8-16%%; and carbohydrates 68.18% [11, 12]. The content of these nutrients will vary depending on the variety of corn plants used, as well as the amount of biomass produced because each variety has different characteristics. Different varieties will produce different fresh-weight and dry-weight forage production, where the better the characteristics of a variety, the higher the forage production produced [13].

The digestibility value is closely related to the nutritional composition of certain animal feed ingredients, especially the crude fibre content. The higher level of digestibility is directly proportional to the increase in animal body weight [14]. Corn husk contains 382 g cellulose, 445 g hemicellulose, 66 g lignin, 19 g protein, and 28 g ash content, rich in arabinoxylan which functions to produce oligosaccharides and dietary fibre, and is also rich in phenolic acid, 90% of which is acid. ferulic which functions as an antioxidant to regulate cell oxidation and prevent oxidative damage to DNA and proteins [15]. Meanwhile, corn stalk contains crude protein, crude fibre and ether extract [16]. The digestibility value of the dry matter in vitro of lower stalk was 38.13% [17], while corn husk and the stalk was 68% and 51%, respectively [18]. While Sirait et al. [19] and Ginting and Tarigan [20] reported that the digestibility value of dry matter of corn husks and corn cobs was 60%. The digestibility rate of the material can replace grass in the feed components of ruminants, including goats [4, 21-24]. Keady [25] reported that plant by-product silage can produce an increase in goat body weight of around 0.23 – 0.58 kg/day. Consumption of dry matter feed based on the percentage of live weight that has been studied includes 3.20; 3,23; 3,25; and 3.26% [4, 26]. Crude protein influences feed quality and is directly proportional to the increase in animal body weight [27], while crude fiber plays a role in increasing rumen microbial activity in degrading feed, increasing fermentation rate and digestibility [28].

Since circularity emerged at the forefront of an integrated approach nowadays [29], the concept of zero waste is applied in crop-livestock integration. The zero-waste concept aims to extend the production cycle by optimizing waste utilization, hence enabling sustainable agriculture. Goats produce manure as a byproduct, which can be processed into biogas and fertilizer for corn crops [30, 31]. In other words, the manure produced by goats can be returned to the land to increase and maintain soil fertility [32]. Simultaneously, corn biomass, a byproduct of corn crops such as corn stalks and corn husks can be further processed into ruminant feed in the form of concentrates and silage for goats [33]. Moreover, corn biomass can substitute grass as basal feed by up to 100% in growing goats [4]. As a result, the implementation of integrated crop-livestock systems with the zero-waste model is a way towards sustainable agriculture. Circularity is built on four pillars: (1) food crops are prioritized (implying no food-feed competition), (2) losses are avoided, (3) waste is recycled, and (4) animals are used to liberate biomass that humans cannot eat [29]. It is necessary to study the balance of population upon planting area and planting patterns to ensure that the benefits of feed on plant-livestock integration are sustained. This study aims to develop the model of sufficiency of corn plant biomass as goat feed, both the existing model and the introduction model in Kutalimbaru District, Deli Serdang Regency. Adequate feed is one of the obstacles impeding the growth of the district's goat farming industry. Deli Serdang, North Sumatra, especially during the dry season, where feeding is still done by grazing. Efforts to address this issue include increasing the quantity and quality of feed by increasing planting area and implementing a corn-goat integration system [34, 35]. According to Ryschawy et al. [36], the development of crop-livestock integration needs to be designed using a model that can be altered locally by integrating policy stakeholders and taking location-specific crop-livestock kinds.

2. Methodology

The study was conducted in Deli Serdang Regency, North Sumatra Province from June to December 2021. The location of the study is determined by purposive sampling with certain considerations by the criteria of the study by Sugiyono [37]. Deli Serdang was chosen as the research location based on the consideration that this area has a large area of land for managing corn crops, and in previous years had been the location for the government's goat seeding program as an effort to increase the goat population. Meanwhile, the selection of sample farmer groups was based on the criteria of owning corn land while also raising goats. Primary data from maize planting covering an area of 20 hectares and four core farmer groups with a goat population of 154 heads were used as samples. The following parameters were used as inputs in dynamic simulations to generate a feed-sufficiency model from corn-goat integration: HPT index in the vegetative phase: 4%; HPT index in the generative phase: 2.5%; biomass to feed conversion: 47.5%; biomass conversion: 1,333 Kg/ha; and feed requirement: 10% of the weight. Dynamic systems can describe processes, behavior, and complexity based on time changes [38]. The dynamic system focuses on the existing process, which is poured into the model, to develop a suitable model for the sufficiency of corn-goat integration feed. Dynamic System Models can be a useful decision-making support tool for testing alternative feed formulation scenarios. The analysis process used I-Think 9.0.3 software.

The stages of this research were as follows: (1) making initial observations about how the crop cycle and livestock cycle are interconnected, especially in terms of the use of corn straw, (2) describing the construction model based on initial observation findings, (3) carrying out data collection and system validation processes, and (4) engineering alternative models. Analysis of the dynamic system model was performed with three scenarios. The first scenario was an existing scenario based on observations in the field. The existing scenario was used for validating dynamic systems and cycle processes, and the outcomes were verified by actual conditions in the field. This existing scenario was a corn planting model that has been adopted and carried out by farmers/breeders at the time of the study, in the form of simultaneous planting of corn on an area of 20 hectares. Figure 1 depicts the Stock Flow Diagram of the first scenario of the feed sufficiency model of corn-goat integration.

In general, the construct model consists of two main cycles, namely crop cycle and livestock cycle. In the crop cycle, crop production is determined by the land area and planting pattern. Crop cycle produces straw for feed based on the age of the palnt. In the livestock cycle, the feed requirement relatively constant according to the goat population. Meanwhile, the goat population is divided into several age classes. A relatively stable level of feed consumption and straw production with a certain lead time will provide a number of feed sufficiency conditions.

The second scenario, called Improved Model 1, is a modification of the cropping pattern from the first scenario. The planting strategy in the second scenario is to plant 10 hectares of corn in the first month, followed by another 10 hectares of corn in the following month. Modification of planting patterns in the second scenario was also carried out in the third scenario (Improved Model 2), but by increasing the planting area to 12 ha and increasing the planting period to three times, namely the first to third months, which were then planted continuously until harvest arrived. Flowchart of Stocks Figure 2 depicts Scenarios 2 and 3 of the maize-goat integration feed sufficiency models.

Based on these three scenarios, the engineering evaluation of feed sufficiency models was described descriptively, with a focus on feedstock balance. The evaluation was carried out by considering the available feedstock and minimizing feed storage.

Figure 1. Stock flow diagram first scenario of feed sufficiency model corn-goat integration

Figure 2. Stock flow diagram scenario 2 and 3 of feed sufficiency model corn-goat integration

3. Results and Discussion

3.1 Characteristics of corn-goat integration at the study site

Corn planting was carried out by 34 cooperator farmers in two sub-districts: Kutalimbaru District (21 cooperator farmers; 10 ha land) and Sunggal District (13 cooperator farmers; 10 ha land). Meanwhile, the cooperator farmers involved were four people with 154 goats. Figure 3 depicts a map of corn planting locations as well as goat core locations.

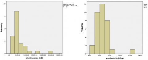
Agricultural land ownership ranges from 2,000 m2 to 25,000 m2 among the 34 cooperator -farmers. Farmers own an average of 5,000 m2 of land. According to Thamrin et al. [39], farmers in Kutalimbaru and Sunggal sub-districts are categorized as having a small land area in general. Smallholder farming families in Indonesia have an average land area of 0.25-0.5 hectares [40].

The cooperator attained an average corn production of 6.4 tons/hectare, with the highest production reaching 12 tons/hectare and the lowest at 3.5 tons/hectare [41]. This yield is higher than the national average corn productivity of 5.45 tons/hectare, but still lower than the yield of Pioneer hybrid corn which can exceed 13.4 tons/ha [42]. This demonstrates that corn production may still be boosted by implementing good farming practices such as land management, superior seed use, better fertilization, and integrated pest control. Figure 4 depicts the area and production of corn plants per cooperator in the study site.

The use of superior hybrid seeds and superior composites that have been invented by research institutions and universities will be able to increase corn productivity if supported by environmental conditions and proper cultivation techniques. Research of Dewi [43] for the hybrid, composite, and local corn yield tests in Pariaman revealed that five hybrid varieties that have high yield potential, namely Pioneer P32, NK, Bima 20, JH-37, and Bisi 18 with cob weights without lids of 16.08 tons/hectare, 15.19 tons/hectare, 14.67 tons/hectare, 14.02 tons/hectare, and 13.44 tons/hectare, respectively.

Figure 3. Map of corn planting and goat core location in Kutalimbaru District and Sunggal District, Deli Medium District

Figure 4. Area and production of corn plants per cooperator in Kutalimbaru and Sunggal Districts, Deli Serdang Regency

Meanwhile, out of a total of 154 goats from four core groups, the Tuntungan District has the highest goat population, with up to 56 heads, and the Tiang Layer District has the smallest, with up to 26 heads (Figure 5). Each goat requires up to 10% of its body weight in feed.

Figure 5. Goat population in the core group in Kutalimbaru District and Sunggal District, Deli Medium District

3.2 Corn biomass

Corn biomass is a byproduct of maize plants that can be utilized as feed for ruminants, including goats [33, 44]. Corn kernels yielded from 20 hectares of corn planted between June and December 2022 amounted to 216.6 tons. While the by-products of corn plants in the form of stems, leaves, cob bark, and cob corn can reach 1.5 times the weight of seeds [5, 45]. This means that if 216.6 tons of maize kernels are produced, there is a potential for 324.9 tons of plant by-products that can be used as goat feed, either directly or after processing.

The integration system of plant-livestock is one model for increasing high-quality production supported by technological innovations aimed at Zero Waste Production System [46]. The zero-waste farming model is an agricultural model that eliminates waste [47, 48]. As a result, farmers who implement the concept of Low External Input and Sustainable Agriculture (LEISA) can reduce production costs [49], because the integrated agricultural system is very productive and profitable [50, 51]. Since 1977 the crop-livestock integration system has been claimed to reduce land degradation and productivity when compared to conventional cropping systems. Furthermore, the management of integrated agricultural systems has the potential to boost farmer income and produce Multiplier effects [46]. Several plant-livestock integration systems that have been developed in Indonesia include the Cattle-Oil Palm/SISKA Integration System [52-54], Pady-Cattle/SITT [55-59], Paddy-Ducks [60-63], Corn-Cattle [64-67], Corn-Goat [4, 68, 69], Sugarcane-Cattle [70], Horticulture-Chicken [71], and Coffee-Goat [72, 73], as well as the integration of agroforestry crops with livestock [74].

Although widely implemented, the integration system still faces several challenges, preventing widespread adoption. These barriers include (i) production barriers caused by limited access of farmers/breeders to the required inputs, availability of labor, time, and communication resources; (ii) knowledge barriers relating to aquaculture management and market information; (iii) infrastructure obstacles including things like road access, transportation, equipment and machinery for fertilizer and feed processing; (iv) government barrier include lack of support for the agricultural integration system in regulations and policies; and (v) economic barriers in the form of production costs include labor, market size and market management [75, 76].

3.3 Feed fulfillment model on corn-goat integration system

Feed is the most important component considered in the livestock business because 70 percent of the success of raising goats is determined by the availability of feed in quantity, quality, and continuity. Feed is the largest cost component in livestock production, which can reach 70-80% of total production costs [77]. The by-products of corn plants consisting of stems, leaves, cob skins, and corn cobs have considerable potential to be used as animal feed either directly or processed to be raw materials for producing complete feed or hay or silage [78]. Therefore, corn plant by-products can overcome the scarcity of animal feeds, because it has improved nutritional contents and is also storage resistant.

The corn-goat integration model allows for feed independence due to the interdependence between corn and goat commodities. The integration concept utilizes plant by-products for animal feed and utilizes livestock waste for plant fertilizer (zero waste). Feed independence will occur if corn biomass support is always available for animal feed throughout the year. The biomass produced is frequently abundant enough to coincide with the time of harvest on a large scale. There is frequently a surplus of biomass stocks at harvest, so farmers transform it into fertilizer or store it for feedstock needs during the following growing season.

Considerations that must be chosen by farmers in dealing with excess biomass stocks are (1) converting biomass into fertilizer or (2) allowing the biomass to rot in the soil. If farmers make the second option, this will reduce the availability of biomass stocks during the growing season for approximately 3 months. Meanwhile, the choice of storing biomass stocks will cause an opportunity cost, namely storage costs.

Table 1. Calculation of corn biomass production in 20 ha, Deli Serdang

Description

Value

Corn planting area (ha)

20

Plant disease in vegetative phase (%)

4

Plant disease in generative phase (%)

2.5

Total corn biomass production (kg)

56,126

The conversion rate of biomass to feed (%)

47.5

Feed biomass production (kg)

26,660

Feed biomass production per ha (kg)

1.333

Figure 6 depicts the animal feed fulfillment model resulting from the integration of corn goats with the existing conditions of cooperator farmers. Under current conditions, a total of 20 hectares of land are planted with maize at the same time, with a goat population of 154 heads. Based on the calculation using parameters namely: the index of plant disease pest attacks is 4 percent in the vegetative phase and 2.5 percent in the generative phase; the conversion rate of biomass to feed is 47.5 percent, the production of feed biomass as shown in Table 1.

Figure 6. Existing conditions of feed fulfillment from the corn-goat integration system

The amount of goat feed needed is relatively constant depending on the population and body weight. Meanwhile, the fulfillment of biomass as a source of fermented feed is determined by production parameters such as area and productivity. As a result, the amount of feed available will increase when the harvest arrives and then gradually decrease due to livestock consumption. Because the decline in feedstock is faster than the next harvest time, there is a feedstock vacancy approximately one month before harvest.

According to this assessment, current conditions do not yet represent a model of sustained feed sufficiency. The data demonstrate that there is a need for feed that cannot be provided due to a shortage of feed sources from corn cultivation.

The vacancy condition of fermented feedstocks is improved in the second model of feed fulfillment from the corn-goat integration system seen in Figure 7. In this model, planting pattern modification is carried out, with the first planting covering an area of 10 hectares and the second planting covering an area of 10 hectares separated by one month. The number of peaks in the figure shows the occurrence of successive harvests in regions 1 and 2. This model has a benefit over the previous model in that the biomass rise at harvest time is not too high, lowering the cost of storing feedstocks. However, planting engineering on this model has not solved the stock vacancies in months 6, 9, and 12. This is because the demand for goat feed exceeds 8 tons per month, while the incoming feedstock is only about 6 tons due to the division of planting patterns. So, although it has more harvest fluctuations than the existing model, this improved model still has a feed deficit.

Figure 7. Improved model 1, feed fulfillment of the corn-goat integration system

Figure 8. Improved model 2, feed fulfillment of the corn-goat integration system

The key finding of improved model 1 is that increasing land area can enhance sustainable food adequacy, but it still results in empty feeding periods, which requires further regulation.

Figure 8 depicts the corn-goat integration feed sufficiency improvement model used in models 1 and 2 to address stock vacancy conditions. Figure 8 depicts an engineered planting pattern and an expanding land area. Planting corn is carried out consecutively for three months continuously for one year with a land area of 12 hectares per planting season This model depicts consistent stock conditions and long-term feed fulfillment. Stock surge conditions are not too high compared to existing models, and feed availability is better than improved model 1 (Figure 7). The findings of this improved model 2 are that the arrangement of land area and planting patterns is able to meet feed needs throughout the year. Improved model 2 shows that at least 36 hectares of land area are required to feed 154 goats, with three planting phases of 12 hectares each. As a result, corn growing must be extended to meet feed demand.

The improved models of corn-goat integration generates economic benefits. In this scenario, balancing costs/opportunity costs include labour expenses for foraging and storage costs (see Table 2). Labour costs for foraging are the expenses paid while hiring someone to search for grass/feed in the fields, often with a capacity of 50 heads per day. The existing model displays a labour charge of IDR. 23,100,000 per year (U\$ 1,490) for looking for feeds for three months when the feed storage is empty due to a shortage of stocks. Improved model 1 has the same opportunity cost of labour because, while having less stock than the existig model, the feed storage is empty for three months. Improved model 2 is the best, as it eliminates the labor cost of foraging because there is enough feed available all year.

Storage costs are fixed costs incurred in one year totalling IDR 3 million, with an economic cost of IDR 250,000 (U\$ 16) each month. Both the existing and improved model 1 have the same storage costs of IDR 2,250,000 (U\$ 145) per year (9 months of storage), despite the fact that the amount of feed saved for improved model 1 is fewer. Improved model 2 has greater storage expenses than the existing model and improved model 1 due to the year-round use of storage, up to IDR 3,000,000.

However, improved model 2 is able to eliminate labor costs of IDR. 23,100,000. The total difference in balancing costs between the existing model/repair model 1 and improved model 2 is IDR 22,350,000 (U$ 1,442) per year.

According to Central Bureau of Statistics figures for 2023, the vast majority of Indonesian farmers (21.6 million, or 77 %) cultivate land less than 1 hectare [79]. The limited land area will make it difficult implement a corn-goat integration, which yields sustainable feed. This study discovered a combination of land (36 hectares) and livestock (154 heads) that met the needs of the farmer group. The issue in establishing a sustained food-sufficient corn-goat integration model is building strong farmer-level institutions, starting with farmer groups and combined farmer groups. The institutional model incorporates various divisions, including feed processing, storage, and distribution for each farmer group.

Table 2. Comparison of the opportunity cost of the corn-goat integration model to produce feed sufficiency, Deli Serdang, North Sumatera

Model of Corn-Goat Integration

Labour Cost

Storage Cost

Total Opportunity Costs (IDR/year)

Working days (month)

Costs (IDR)

Duration

(month)

Costs (IDR)

 

Existing Model

3

23,100,000

9

2,250,000

25,350,000

Improved Model 1

3

23,100,000

9

2,250,000

25,350,000

Improved Model 2

-

0

12

3,000,000

3,000,000

Note for calculation: Working days = 25 days/months for 154 goats; Labour cost = IDR 100,000/50 goats/day; Storage cost = IDR 250,000/month.

4. Conclusions

The corn-goat integration model covering an area of 20 ha with a simultaneous planting pattern that has been adopted by farmers to provide feed for 154 goats, has not been able to provide sufficient feed in a one-year cycle. Improvement of the existing model through gradual modification of the planting pattern (two plantings of 10 ha each in the first month, 10 ha in the second month) without increasing land area (Improved Model 1), while increasing biomass production, is also insufficient, because there is still a shortage of food for three months. Meanwhile, altering the planting pattern three times and expanding the corn planting area to 36 ha (12 ha, 12 ha, 12 ha) (improved model 2) is the best option for sustainably feeding 154 goats for the entire year. Improved Model 2 is also able to eliminate labor costs of IDR. 23,100,000. The total difference in balancing costs between the existing model/repair model 1 and improved model 2 is IDR 22,350,000 (U$ 1,442) per year.

In practice, this improvement model is very likely to be implemented by farmers. Limited land ownership can be overcome by managing it in groups. Thus, the main thing that must be done is building strong farmer-level institutions (farmer groups up to combined farmer groups/ cooperative/corporations). This needs to incorporate various divisions, such as feed processing unit/mini feed factory, storage, and distribution for each farmer member/group. The benefits that can be obtained by implementing this improved model include facilitating business planning and developing the corn and goat industry, especially in the context of implementing zero waste towards green agriculture.

The findings may differ in other regions. The comparison between goat population and maize land area may differ in other regions, depending on the location and agroecosystem such as soil type, fertility, climate, altitude. Variations in agroecosystem parameters will lead to variations in plant and goat growth rates, which are further also influenced by genetic variables (varieties and breeds). Specific varieties require specific agroecology to support optimal growth so that maximum productivity is obtained. Thus, support for technological innovation in the form of location-specific superior corn varieties/goat breeds is very necessary for the success of this model.

Acknowledgment

High appreciation to the Indonesian Agency for Agricultural Research and Development (IAARD) of the Ministry of Agriculture who funded this research through Research and Development Innovation Partnership (RPIK) program.

  References

[1] Yulistiani, D., Haryanto, B., Pond, K.R. (2020). Feeding strategy to support small ruminants’ industry. In International Seminar on Livestock Production and Veterinary Technology, pp. 380-388.

[2] Saking, N., Qomariyah, N. (2017). Identifikasi hijauan makanan ternak (HMT) lokal mendukung produktivitas sapi potong di Sulawesi Selatan. Scientific Journal of ICARD, 558-565. https://doi.org/10.14334/pros.semnas.tpv-2017-p.560-567

[3] Charambira, T., Kagande, S.M., Chakoma, I., Chibaira, G., Mugabe, P.H. (2021). Goat feeds and feeding practises in a semi-arid smallholder farming system in Zimbabwe. African Journal of Range & Forage Science, 38(sup1): S90-S93. https://doi.org/10.2989/10220119.2021.1981444

[4] Simanihuruk, K., Sirait, J., Ginting, S.P. (2020). Biomassa tanaman jagung sebagai pakan basal kambing Boerka sedang tumbuh. In Prosiding Seminar Nasional Teknologi Peternakan dan Veteriner, 20(20): 772-786.

[5] Faesal. (2013). Pengolahan limbah tanaman jagung untuk pakan. Pros Semin Nas Inov Teknol Pertan, 181-90.

[6] Nuryanto, N., Rizki, A., Dayo, F., Alifa, F., Hosnawati, H. (2019). Effect of crop pruning age on corn straw yield (Toby) effect of crop pruning age on harvest weight of livestock chlorine-free crops. Jurnal Pengembangan Penyuluhan Pertanian, 16(29): 56-61. https://doi.org/10.36626/jppp.v16i29.68

[7] BPS Sumatera Utara. (2020). Provinsi SUmatera Utara dalam Angka 2020. Badan Pusat Statistik Provinsi Sumatera Utara (Statistics of Sumatera Utara Province).

[8] Pasambe, D., Rusdiana, S., Talib, C., Sirappa, M. (2020). Increasing of livestock revenue through integration corn and Bali cow. IOP Conference Series: Earth and Environmental Science, 575: 012080. https://doi.org/10.1088/1755-1315/575/1/012080

[9] Syarif, A.A., Hasan, I., Busaeri, S.R. (2018). Prospek dan strategi pengembangan sistem agribisnis jagung (Zea mays L) di Kecamatan Tompobulu, Kabupaten Maros. Wiratani: Jurnal Ilmiah Agribisnis, 1(2): 155-167.

[10] Wilson, C.B., Erickson, G.E., Klopfenstein, T.J., Rasby, R.J., Adams, D.C., Rush, I.G. (2004). A review of corn stalk grazing on animal performance and crop yield. Nebraska Beef Cattle Report, 13-15.

[11] Elly, F.H., Lomboan, A., Kaunang, C.L., Rundengan, M., Poli, Z., Syarifuddin, S. (2020). Development potential of integrated farming system (local cattle-food crops). Animal Production, 21(3): 143-147. https://doi.org/10.20884/1.jap.2019.21.3.739

[12] Riyanti, E.I. (2009). Biomassa sebagai bahan baku bioetanol. Jurnal Litbang Pertanian, 28(3): 101-110.

[13] Indriani, N.P. (2021). Pengaruh berbagai varietas jagung manis (zea mays saccharata sturt.) Terhadap berat segar, berat kering dan kandungan serat kasar biomassa tanaman jagung. Jurnal Nutrisi Ternak Tropis dan Ilmu Pakan, 3(3): 36451. https://doi.org/10.24198/jnttip.v3i3.36451

[14] Yulianti, G., Dwatmadji, D., Suteky, T. (2019). Kecernaan protein kasar dan serat kasar kambing peranakan etawa jantan yang diberi pakan fermentasi ampas tahu dan bungkil inti sawit dengan imbangan yang berbeda. Jurnal Sain Peternakan Indonesia, 14(3): 272-281. https://doi.org/10.31186/jspi.id.14.3.272-281

[15] Jiao, Y., Chen, H.D., Han, H., Chang, Y. (2022). Development and utilization of corn processing by-products: A review. Foods, 11(22): 3709. https://doi.org/10.3390/foods11223709

[16] Cetinkaya, N., Aykanat, S., Ayaşan, T., Celik, C. (2020). Nutrient contents and in vitro digestibility of different parts of corn plant. South African Journal of Animal Science, 50(2): 302-309. https://doi.org/10.4314/SAJAS.V50I2.13

[17] Cetinkaya, N., Aykanat, S., Ayaşan, T., Celik, C. (2020). Nutrient contents and in vitro digestibility of different parts of corn plant. South African Journal of Animal Science, 50(2): 302-309.

[18] Kristina, N.L., Mariani, N.P, Putri, T.I. (2020). The effect of concentrate provision on nutrient digestibility of post-partum Bali cows. Jurnal Peternakan Tropika, 8: 279. https://doi.org/10.24843/jpt.2020.v08.i02.p06

[19] Sirait, J., Purwantari, N.D., Simanihuruk, K. (2005). Produksi dan serapan nitrogen rumput pada naungan dan pemupukan yang berbeda. Jitv, 10(3): 175-181.

[20] Ginting, S.P., Tarigan, A.N.D.I. (2006). Kualitas nutrisi Stenotaphrum secundatum dan Brachiaria humidicola pada kambing. JITV, 11(4): 273-279.

[21] Bal, M.A., Shaver, R.D., Jirovec, A.G., Shinners, K.J., Coors, J.G. (2000). Crop processing and chop length of corn silage: Effects on intake, digestion, and milk production by dairy cows. Journal of Dairy Science, 83(6): 1264-1273. https://doi.org/10.3168/jds.S0022-0302(00)74993-9

[22] Cooke, K.M., Bernard, J.K., West, J.W. (2008). Performance of dairy cows fed annual ryegrass silage and corn silage with steam-flaked or ground corn. Journal of Dairy Science, 91(6): 2417-2422. https://doi.org/10.3168/jds.2007-0715

[23] Neylon, J.M., Kung Jr, L. (2003). Effects of cutting height and maturity on the nutritive value of corn silage for lactating cows. Journal of Dairy Science, 86(6): 2163-2169. https://doi.org/10.3168/jds.S0022-0302(03)73806-5

[24] Tjardes, K.E., Buskirk, D.D., Allen, M.S., Tempelman, R.J., Bourquin, L.D., Rust, S.R. (2002). Neutral detergent fiber concentration in corn silage influences dry matter intake, diet digestibility, and performance of Angus and Holstein steers. Journal of Animal Science, 80(3): 841-846. https://doi.org/10.2527/2002.803841x

[25] Keady, T. (2005). Ensiled maize and whole crop wheat forages for beef and dairy cattle: effects on animal performance. In: Silage Production and Utilization, pp. 65-82. https://doi.org/10.3920/978-90-8686-553-6

[26] Keady, T., Hanrahan, S., Marley, C., Scollan, N.D. (2013). Production and utilization of ensiled forages by beef cattle, dairy cows, pregnant ewes and finishing lambs-A review. Agricultural and Food Science, 22(1): 70-92. https://doi.org/10.23986/afsci.6852

[27] Rahman, M.M., Abdullah, R.B., Wan Khadijah, W.E., Nakagawa, T., Akashi, R. (2013). Feed intake, digestibility and growth performance of goats offered Napier grass supplemented with molasses protected palm kernel cake and soya waste. Asian Journal of Animal and Veterinary Advances, 8: 527–534. https://doi.org/10.3923/ajava.2013.527.534

[28] Suwignyo, B. (2013). Efek pengurangan dan pemenuhan kembali jumlah pakan terhadap konsumsi dan kecernaan bahan pakan pada kambing kacang dan peranakan etawah. Buletin Peternakan, 37(1): 12-18. https://doi.org/10.21059/buletinpeternak.v37i1.1954

[29] Oosting, S., van der Lee, J., Verdegem, M., de Vries, M., Vernooij, A., Bonilla-Cedrez, C., Kabir, K. (2022). Farmed animal production in tropical circular food systems. Food Security, 14(1): 273-292. https://doi.org/10.1007/s12571-021-01205-4

[30] Haque, M.A., Kabir, A.A., Hashem, M.A., Azad, M.A.K., Bhuiyan, M.K.J., Rahman, M.M. (2021). Efficacy of biogas production from different types of livestock manures. International Journal of Smart Grid, 5(4): 158-166. https://doi.org/10.20508/ijsmartgrid.v5i4.215.g177

[31] Washaya, S., Washaya, D.D. (2023). Benefits, concerns and prospects of using goat manure in sub-Saharan Africa. Pastoralism, 13(1): 28. https://doi.org/10.1186/s13570-023-00288-2

[32] Polakitan, D. (2012). Analisis usahatani terpadu tanaman dan ternak kambing di areal perkebunan kelapa di Sulawesi Utara. Pastura, 2(2): 70-73.

[33] Erenstein, O., Samaddar, A., Teufel, N., Blümmel, M. (2011). The paradox of limited maize stover use in india's smallholder crop-livestock systems. Experimental Agriculture, 47(4): 677-704. https://doi.org/10.1017/S0014479711000433

[34] Khairiah, K., Aryati, V., Simatupang, S., Wasito, W. (2024). Development strategy for corn-goats integration technology for feed self-sufficiency based on local resources in Deli Serdang Regency, North Sumatra. In AIP Conference Proceedings, 2957(1): 050017. https://doi.org/https://doi.org/10.1063/5.0185072.

[35] Sembiring, M., Ginting, R. (2022). Analysis of factors affecting development dairy goat business in Hamparan Perak District of Deli Serdang Regency North Sumatera Province. In IOP Conference Series: Earth and Environmental Science, 977(1): 012127. https://doi.org/10.1088/1755-1315/977/1/012127

[36] Ryschawy, J., Martin, G., Moraine, M., Duru, M., Therond, O. (2017). Designing crop–livestock integration at different levels: Toward new agroecological models? Nutrient Cycling in Agroecosystems, 108: 5-20. https://doi.org/10.1007/s10705-016-9815-9

[37] Sugiyono. (2012). Memahami Penelitian Kualitatif. Bandung Alf.

[38] Periambawe, D.K.A., Sutrisna, R. (2016). Status nutrien sapi peranakan ongole di Kecamatan Tanjung Bintang Kabupaten Lampung Selatan. Jurnal Ilmiah Peternakan Terpadu, 4(1): 6-12.

[39] Thamrin, M., Tarigan, D.M., Ardilla, D. (2018). Double row corn planting innovation in increasing corn production. Jurnal Prodikmas, 3(1). https://jurnal.umsu.ac.id/index.php/prodikmas/article/view/2589.

[40] FAO. Indonesian Smallholder farmers contribute trillion of rupiahs to investment in food 2018. https://www.fao.org/family-farming/detail/en/c/1145605/, accessed on Feb. 13, 2024.

[41] Indrianti, M.A. (2020). Analisis pendapatan usaha tani jagung di desa Tohupo kecamatan Bongomeme kabupaten Gorontalo. Journal Socio Economics Agricultural, 15(1): 10-14. https://doi.org/10.52850/jsea.v15i1.1041

[42] Arianti, N., Maulina, F. (2022). Liquefied organic fertilizer (POC) was used to increase the yield and income of maize tillage (Zea Mays L.). Journal of Food Crop and Applied Agriculture, 2(2): 130-139. https://doi.org/https://doi.org/10.32530/jfcaa.v2i2.529

[43] Dewi, R.K. (2021). An experimental study on the productivity performance of hybrid corn, compound corn and local Parimu corn was carried out. Journal of Food Crop and Applied Agriculture, 2(1): 107-113. https://doi.org/10.32530/jfcaa.v2i1.443

[44] Salami, S.A., Luciano, G., O'Grady, M.N., Biondi, L., Newbold, C.J., Kerry, J.P., Priolo, A. (2019). Sustainability of feeding plant by-products: A review of the implications for ruminant meat production. Animal Feed Science and Technology, 251: 37-55. https://doi.org/10.1016/j.anifeedsci.2019.02.006

[45] Bunyamin, Z., Efendi, R., Andayani, N.N. (2013). Pemanfaatan limbah jagung untuk industri pakan ternak. Semin Nas Inov Teknol Pertan, 153-166.

[46] Hasan, S., Pomalingo, N., Bahri, S. (2018). Pendekatan dan strategi pengembangan sistem pertanian terintegrasi ternak-tanaman menuju ketahanan pangan nasional. Integrated Farming System, 1-9.

[47] Ikhsanudin, T. (2017). The application of zero concept moves towards sustainable development through the integrated model of agriculture and animal husbandry. RISTEK: Jurnal Riset, Inovasi dan Teknologi Kabupaten Batang, 2(1): 15-24. https://doi.org/10.55686/ristek.v2i1.22

[48] Nasrullah, S. (2012). Study of zero waste agriculture model with approach to integration of corn crops-cattle in South Sulawesi. In Proceedings of Insinas, pp. 223-228.

[49] Kaur, K., Thakur, D., Reeta, V. (2022). Sustainable agriculture: Impact of LEISA and HEIA. Int J Adv Agric Sci Technol, 9: 1-8. https://doi.org/10.47856/ijaast.2022.v09i06.001

[50] Channabasavanna, A.S., Biradar, D.P., Prabhudev, K.N., Hegde, M. (2010). Development of profitable integrated farming system model for small and medium farmers of Tungabhadra project area of Karnataka. Karnataka Journal of Agricultural Sciences, 22(1): 25-27.

[51] Hidayati, F., Yonariza, Y., Nofialdi, N., Yuzaria, D. (2020). Cost-benefit Analysis and Application obstacles of Indonesia Unified Agricultural system (SPT) concept. JIA (Jurnal Ilm Agribisnis), 5: 74. https://doi.org/10.37149/jia.v5i3.11688

[52] Kusumo, D., Priyanti, A., Saptati, R.A. (2017). The development prospect of the integration mode of pasture enterprises. Sains Peternakan: Jurnal Penelitian Ilmu Peternakan, 5(2): 26-33. https://doi.org/10.20961/sainspet.v5i2.4924

[53] Edwina, S., Maharani, E. (2019). Kajian perbandingan produktivitas dan pendapatan perkebunan pola Sistem Integrasi Sapi dan Kelapa Sawit (SISKA) dengan perkebunan tanpa pola SISKA di Kabupaten Siak. Mimbar Agribisnis: Jurnal Pemikiran Masyarakat Ilmiah Berwawasan Agribisnis, 5(1): 90-103. https://doi.org/10.25157/ma.v5i1.1708

[54] Situmorang, B., Edwina, S., Maharani, E. (2015). Adopsi inovasi petani kelapa sawit terhadap sistem integrasi sapi–kelapa sawit (siska) di kabupaten pelalawan. Doctoral dissertation, Riau University.

[55] Basuni, R., Kusmana, C. (2015). Sistem Integrasi Padi-Sapi Potong di Lahan Sawah. Iptek Tanam Pangan.

[56] Kallo, R., Tondok, A.R., Amin, M. (2019). Prospek pengembangan sistem integrasi tanaman padi dengan ternak sapi pada program pembangunan di Kabupaten Barru. Jurnal Agrisistem: Seri Sosek dan Penyuluhan, 15-29.

[57] Mukhlis, M. (2020). Analisa pendapatan petani integrasi padi-sapi pada kelompok tani Pemuda Setia Nagari Simalanggang. Lumbung, 19(1): 205. https://doi.org/10.32530/lumbung.v19i1.205

[58] Murnita, M., Yessirita, N., Taher, Y.A. (2019). Penerapan sistem integrasi ternak sapi dan tanaman padi. Jurnal Hilirisasi IPTEKS, 2(3b): 292-304. https://doi.org/10.25077/jhi.v2i3.b.373

[59] Syamsu, J.A., Ilham, R., Purwanti, S., Hatta, M. (2022). Aplikasi teknologi pengolahan jerami padi sebagai pakan sapi potong dalam program kemitraan wilayah Kecamatan Suppa, Kabupaten Pinrang. Jurnal Pengabdian Al-Ikhlas, 7(3): 384-389. https://doi.org/10.31602/jpaiuniska.v7i3.6912

[60] Iswahyudi, I., Budiyono, A., Wildani, A. (2019). Pendampingan integrasi padi itik pada kelompok tani Palem Desa Sumedangan Kabupaten Pamekasan Madura. JAST: Jurnal Aplikasi Sains dan Teknologi, 3(2): 96-101. https://doi.org/10.33366/jast.v3i2.1410

[61] Nizar, A., Budianto, B. (2019). Effects of organic fertilizer dosage and duck population on rice yield effect on breeding system of rice and duck. AGRIEKSTENSIA: Jurnal Penelitian Terapan Bidang Pertanian, 18(1): 74-79. https://doi.org/10.34145/agriekstensia.v18i1.30

[62] Sumini, S., Holidi, H., Widiyanto, W. (2019). Increase of yield of rice field irrigated by duck population. Jurnal Agrotek Tropika, 7(1): 247-248. https://doi.org/10.23960/jat.v7i1.2972

[63] Saputra, R.A., Santoso, U., Irawati, S., Lestari, A. (2022). Model pertanian terpadu dalam mendukung pertanian berkelanjutan di Desa Ampukung Kabupaten Tabalong. Jurnal Pengabdian Inovasi Lahan Basah Unggul, 2(1): 131-137. https://doi.org/10.20527/ilung.v2i1

[64] Marjaya, S. (2015). Analisis efisiensi dan daya saing komoditas pada sistem usahatani integrasi jagung-sapi di Kabupaten Kupang. Ilmu Pertanian (Agricultural Science), 18(3): 164-174. https://doi.org/10.22146/ipas.10617

[65] Mashur, M., Subagio, S., Hamid, G., Oktaviana, D. (2021). Implementation of Technical Innovation (Sivaa) through Integrated system of corn and cattle in Tianyuan village community. Sasambo: Jurnal Abdimas (Journal of Community Service), 3(2): 57-69. https://doi.org/10.36312/sasambo.v3i2.422

[66] Olii, M., Elly, F.H., Waleleng, P.O. (2022). Analisis pendapatan integrasi ternak sapi potong-tanaman jagung di Desa Sidodadi Kecamatan Sangkub Kabupaten Bolaang Mongondow Utara (Studi Kasus). In Prosiding Seminar Nasional Teknologi Agribisnis Peternakan (STAP), pp. 273-278.

[67] Etika, A.P.W., Siska, W., Sunandar, N., Rohaeni, E.S. (2022). Beef cattle-based farming pattern in dry land, Tanah Laut Regency, South Kalimantan. IOP Conference Series: Earth and Environmental Science, 950: 012053. https://doi.org/10.1088/1755-1315/950/1/012053

[68] Setiawan, K., Hartono, S., Suryantini, A. (2014). Analisis daya saing komoditas kelapa di Kabupaten Kupang. Agritech, 34(1): 88-93.

[69] Suwarta, F.X., Purwani, T. (2018). Penerapan integrasi tanaman ternak lahan kering berbasis usaha ternak kambing di Kabupaten Gunung Kidul. In Prosiding Seminar Pengabdian Kepada Masyarakat (Senadimas).

[70] Tangahu, S.W. (2015). Pengaruh sistem integrasi tebu-sapi terhadap produksi tebu, sapi, dan pendapatan petani di Kabupaten Gorontalo, Provinsi Gorontalo. Sosiohumaniora, 17(2): 142-148. https://doi.org/10.24198/sosiohumaniora.v17i2.7302

[71] Rusdianto, R., Nurdin, N., Anas, M., Khadijah, K. (2022). Integrated Farm training in Parker Kange Village, Gowa County. Media Abdimas, 1(3): 134-143. https://doi.org/10.37817/mediaabdimas.v1i3.2574

[72] Dananjaya, I.G.A.N. (2020). Pengaruh integrasi ternak kambing dan tanaman kopi terhadap pendapatan kelompok tani Ternak Satwa Amerta, di Desa Mundeh, Kecamatan Selemadeg Barat, Kabupaten Tabanan. dwijenAGRO, 10(1): 53-60.

[73] Prasmatiwi, F.E., Evizal, R., Syam, T. (2017). Integrasi ternak kambing-tanaman mendorong budidaya kopi semiorganik. LPPM UNILA, Institutional Respository.

[74] Zulkarnain, D., Kahirun, K., Mukhtar, M., Abdi, A., Jabuddin, L.O. (2019). Integrasi pertanian, kehutanan, dan peternakan (Agrosilvopastural) di Wilayah DAS Laeya Kabupaten Konawe Selatan. Jurnal Ilmu Dan Teknologi Peternakan Tropis, 6(1): 109-118. https://doi.org/10.33772/jitro.v6i1.6967

[75] Akbarok, I., Sulaeman, M., Homzah, S. (2015). Prospek pengembangan usaha ternak sapi lokal dengan sistem integrasi hutan - ternak (Kasus di Desa Dukuhbadag Kecamatan Cibingbin Kabupaten Kuningan). Student E-Journal, 4: 1-11.

[76] Purnomo, S.H. (2021). Kajian integrasi tanaman dengan ternak untuk ketahanan pangan di Indonesia. Indonesian Society of Animal Science.

[77] Moreki, J.C., Tiroesele, B., Chiripasi, S.C. (2012). Prospects of utilizing insects as alternative sources of protein in poultry diets in Botswana: A review. Journal of Animal Science Advances, 2(8): 649-658.

[78] Nabila, T.I. (2022). Drying treatment and storage of corn raw material warehouse for poultry feed. Jurnal Nutrisi Ternak Tropis dan Ilmu Pakan (Journal of Tropical Animal Nutrition and Feed Science), 4(1): 27-33. https://doi.org/10.24198/jnttip.v4i1.37575

[79] BPS. (2023). Hasil Pencacahan Lengkap Sensus Pertanian 2023. https://www.bps.go.id/id/pressrelease/2023/12/04/2050/hasil-pencacahan-lengkap-sensus-pertanian-2023---tahap-i.html, accessed on Feb. 23, 2024.