Enhancing Efficiency of Photovoltaic Thermal Systems in Tropical Climates: A Review of Automated Control Strategies, Cooling Mechanisms, and Experimental Insights

Enhancing Efficiency of Photovoltaic Thermal Systems in Tropical Climates: A Review of Automated Control Strategies, Cooling Mechanisms, and Experimental Insights

Wibawa Endra Juwana Singgih Dwi Prasetyo Yuki Trisnoaji Noval Fattah Alfaiz Watuhumalang Bhre Bangun Zainal Arifin*

Department of Mechanical Engineering, Universitas Sebelas Maret, Surakarta 57126, Indonesia

Power Plant Engineering Technology, State University of Malang, Malang 65145, Indonesia

Corresponding Author Email: 
zainal_arifin@staff.uns.ac.id
Page: 
2497-2514
|
DOI: 
https://doi.org/10.18280/jesa.581205
Received: 
28 October 2025
|
Revised: 
22 November 2025
|
Accepted: 
27 November 2025
|
Available online: 
31 December 2025
| Citation

© 2025 The authors. This article is published by IIETA and is licensed under the CC BY 4.0 license (http://creativecommons.org/licenses/by/4.0/).

OPEN ACCESS

Abstract: 

This review consolidates research on enhancing the performance of Photovoltaic Thermal (PV/T) systems through automated systems, control, and optimization, specifically addressing efficiency losses attributed to high irradiance and ambient temperatures in tropical regions. The review's objectives include evaluating automated control and optimization techniques, benchmarking cooling methods, analyzing experimental validations and case studies, comparing industrial applications, and identifying emerging trends in PV/T technologies. A systematic analysis was performed on empirical, numerical, and hybrid studies from tropical and subtropical climates, with a focus on control strategies, cooling performance, experimental rigor, deployment scale, and the adoption of innovations. The key findings suggest that efficiency gains of up to 28% can be achieved through advanced automated controls and hybrid cooling systems. Effective thermal management methods include water cooling, nanofluids, and phase change materials (PCM). The review also emphasizes robust experimental validations conducted under real tropical conditions, though it notes that industrial-scale applications are limited by economic and scalability challenges. Furthermore, the integration of AI-driven optimization and smart control systems shows promising potential but requires additional field validation. Collectively, these findings highlight critical gaps in long-term stability, cost-effectiveness, and adaptive control under diverse tropical climates. The review underscores the necessity for scalable and economically viable PV/T solutions that incorporate advanced materials and intelligent systems to optimize performance and facilitate sustainable energy adoption in tropical environments.

Keywords: 

photovoltaic thermal, cooling system, control system, literature review

1. Introduction

Research on enhancing Photovoltaic Thermal (PV/T) system performance has emerged as a critical area of inquiry due to the increasing global demand for sustainable energy and the need to reduce greenhouse gas emissions from conventional energy sources [1, 2]. Since the late 1970s, PV/T technology has evolved from basic flat-plate collectors to advanced hybrid systems integrating various cooling and thermal management techniques [3, 4]. The dual capability of PV/T systems to generate electrical and thermal energy simultaneously offers practical advantages for building integration and energy efficiency [5]. Globally, buildings account for approximately 33% of energy consumption and 28% of CO2 emissions, underscoring the significance of improving PV/T systems to meet heating, cooling, and power demands, especially in tropical climates with high solar insolation [6]. Recent statistics indicate that solar photovoltaic installations contributed 36% of new power capacities in 2018, highlighting the urgency to optimize PV/T systems for broader adoption [7, 8].

The primary challenge addressed in this field is the reduction of PV cell efficiency due to elevated operating temperatures, which degrade electrical output and system longevity [9, 10]. Despite numerous cooling techniques such as water-based, air-based, nanofluids, and phase change materials (PCM), a comprehensive understanding of automated control, optimization strategies, and their application in tropical climates remains limited [2, 11]. Existing studies present divergent views on the effectiveness of passive versus active cooling methods and the integration of artificial intelligence for system optimization [12, 13]. Moreover, the lack of standardized experimental validations and real-world case analyses in tropical environments impedes the translation of laboratory findings into industrial applications [14, 15]. This gap restricts the potential for maximizing energy yield and economic viability, which are critical for sustainable deployment [16-18]. The conceptual framework for this review is grounded in the interrelation of PV/T system components, including photovoltaic modules, thermal absorbers, and cooling mechanisms, which are integrated through automated control and optimization algorithms to enhance overall system efficiency [19-21]. This framework emphasizes the synergy between thermal management and electrical performance, supported by thermodynamic and exergy analyses, to address the temperature-dependent efficiency losses in PV cells [22, 23]. The integration of advanced materials such as nanofluids and PCMs further complements this framework by improving heat transfer and storage capabilities [8, 24].

The purpose of this systematic review is to critically evaluate recent advancements in automated systems, control strategies, cooling techniques, and optimization methods for PV/T systems, with a focus on experimental studies and industrial applications in tropical climates [25]. By synthesizing multidisciplinary research, this review aims to bridge the knowledge gap, provide a comprehensive understanding of current technologies, and identify future trends to guide sustainable PV/T system development [13]. The value added lies in consolidating fragmented findings and highlighting practical implications for enhancing PV/T performance under tropical conditions [1, 15].This review employs a systematic approach, selecting peer-reviewed studies from the last five years that address PV/T system performance enhancement through cooling and control innovations [25]. Analytical frameworks include energy, exergy, and economic assessments, supported by experimental validations and case analyses [19, 26]. The findings are organized into thematic sections covering automated control and optimization, cooling techniques, experimental and case studies, and industrial applications with future perspectives in tropical climates [27].

2. Purpose and Scope of the Review

2.1 Statement of purpose

The objective of this report is to examine the existing research on "Enhancing Photovoltaic Thermal (PV/T) System Performance through Automated Systems, Control, and Optimization; Cooling Techniques for PV/T Systems; Experimental Studies and Case Analyses; Industrial Applications and Future Trends in Tropical Climates" to provide a comprehensive synthesis of advancements and challenges in this multidisciplinary field. This review is essential because PV/T systems hold significant promise for sustainable energy generation, particularly in tropical regions where high solar irradiance and elevated ambient temperatures significantly impact system efficiency. By critically analyzing automated control strategies, cooling methodologies, experimental validations, and industrial implementations, the report aims to identify knowledge gaps, benchmark current technologies, and highlight future research directions that can optimize PV/T system performance and promote their wider adoption in tropical climates.

2.2 Specific objectives

To achieve the overall aim of systematically reviewing and critically analyzing strategies for enhancing PV/T system performance in tropical climates, several specific objectives have been established. These objectives are intended to guide the review in a structured manner, ensuring coverage of control strategies, cooling techniques, experimental validations, industrial deployment, and emerging innovations. Accordingly, the specific objectives of this study are as follows:

  • To evaluate current knowledge on automated control and optimization techniques for enhancing PV/T system efficiency.
  • Benchmarking of existing cooling methods and their effectiveness in maintaining optimal PV/T operating temperatures.
  • Identification and synthesis of experimental studies and case analyses focusing on PV/T performance in tropical environments.
  • To compare industrial applications and deployment strategies of PV/T systems across diverse tropical climatic conditions.
  • To deconstruct emerging trends and prospects for PV/T technologies integrating advanced materials and intelligent systems.
3. Methodology of Literature Selection

3.1 Transformation of query

We take your original research question — "Enhancing Photovoltaic Thermal (PV/T) System Performance through Automated Systems, Control, and Optimization; Cooling Techniques for PV/T Systems; Experimental Studies and Case Analyses; Industrial Applications and Future Trends in Tropical Climates"—and expand it into multiple, more specific search statements. By systematically expanding a broad research question into several targeted queries, we ensure that your literature search is both comprehensive (you won't miss niche or jargon‐specific studies) and manageable (each query returns a set of papers tightly aligned with a particular facet of your topic). Below were the transformed queries we formed from the original query:

  • Enhancing Photovoltaic Thermal (PV/T) System Performance through Automated Systems, Control, and Optimization; Cooling Techniques for PV/T Systems; Experimental Studies and Case Analyses; Industrial Applications and Future Trends in Tropical Climates.
  • Investigating innovative cooling techniques and optimization methods for enhancing the performance of photovoltaic thermal (PV/T) systems in diverse climate conditions.
  • Recent advancements in hybrid photovoltaic-thermal systems for optimizing energy efficiency and cooling techniques in tropical climates, focusing on case studies and future trends.
  • Investigating innovative integration of cooling systems with photovoltaic thermal (PV/T) technology to improve efficiency and economic viability in tropical climates, including applications in residential and commercial sectors.
  • Exploring the integration and optimization of photovoltaic thermal systems with advanced cooling technologies in various climatic conditions; assessing innovative applications for enhancing energy efficiency and environmental sustainability.

3.2 Screening papers

We then run each of your transformed queries with the applied Inclusion & Exclusion Criteria to retrieve a focused set of candidate papers for our constantly expanding database of over 270 million research papers. During this process, we identified 488 papers. Citation Chaining - Identifying additional relevant works:

  • Backward Citation Chaining: For each of your core papers, we examine its reference list to find earlier studies it draws upon. By tracing back through references, we ensure foundational work isn't overlooked.
  • Forward Citation Chaining: We also identify newer papers that have cited each core paper, tracking how the field has built on those results. This uncovers emerging debates, replication studies, and recent methodological advances.

A total of 131 additional papers were found during this process.

3.3 Relevance scoring and sorting

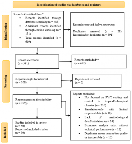
To ensure reproducibility and transparency of the literature search process, this review explicitly identifies the academic databases used for source retrieval. The search was conducted across major indexing platforms, including Scopus, Web of Science, IEEE Xplore, ScienceDirect, SpringerLink, and Google Scholar, covering peer-reviewed articles published between 2010 and 2025. Additional sources were obtained through backward and forward citation tracking to expand the comprehensiveness of the dataset. A total of 619 initial records were collected across these databases before applying the inclusion and exclusion criteria. These clarifications strengthen the methodological rigor and enable future researchers to replicate or extend the literature search with consistency. After completing the initial collection stage, a structured screening process was conducted to refine the dataset and ensure that only studies with strong methodological relevance were retained. From the total 619 records gathered, 28 duplicate entries were removed, resulting in 591 unique publications eligible for preliminary assessment. Title and abstract evaluation led to the exclusion of 482 papers that did not align with the core research focus, leaving 109 articles for full-text review. A subsequent full-paper assessment removed 59 studies due to reasons such as insufficient experimental detail, absence of PV/T system integration scope, or lack of quantitative performance indicators. Ultimately, 50 studies were identified as highly aligned with the objectives of this review and were therefore included in the synthesis and comparative analysis, as illustrated in the PRISMA flow diagram presented in Figure 1.

Figure 1. PRISMA flow diagram of the literature selection process

4. Results

4.1 Descriptive summary of the studies

This section maps the research landscape of the literature on Enhancing Photovoltaic Thermal (PV/T) System Performance through Automated Systems, Control, and Optimization; Cooling Techniques for PV/T Systems; Experimental Studies and Case Analyses; Industrial Applications and Future Trends in Tropical Climates, revealing a broad spectrum of investigations ranging from experimental validations to advanced control and optimization strategies. The studies predominantly employ empirical, numerical, and hybrid methodologies, with a notable focus on tropical and subtropical climates, such as those in Nigeria, Malaysia, Sri Lanka, and Egypt, reflecting the climatic relevance to the performance of PV/T systems. This comparative synthesis addresses the research questions by benchmarking control strategies, cooling methods, experimental rigor, industrial deployment, and innovation adoption, thereby identifying trends, gaps, and future directions critical for optimizing PV/T systems in tropical environments. To provide a clearer comparative perspective, Table 1 summarizes the descriptive findings of the reviewed studies, highlighting the effectiveness of control strategies, the performance of cooling techniques, the rigor of experimental validation, the scale of industrial deployment, and the adoption rate of innovations across diverse PV/T system investigations.

Tropical and subtropical climates impose distinct thermal and irradiance stresses on PV/T systems, affecting both system efficiency and the effectiveness of cooling strategies. Tropical regions, typically characterized by consistently high temperatures (28–35℃), high humidity, and intense solar irradiation, tend to cause accelerated thermal buildup on PV modules, increasing the need for aggressive cooling solutions such as forced water circulation or hybrid cooling. In contrast, subtropical regions often experience wider seasonal temperature fluctuations (10–32℃) and lower humidity, which can reduce the severity of thermal stress but introduce challenges related to performance variability and condensation management. As a result, control strategies and cooling technologies that perform efficiently in tropical regions may not exhibit the same benefits under subtropical conditions. Therefore, distinguishing performance behavior across these climate categories is essential for designing geographically adaptive PV/T optimization strategies and ensuring accurate comparative evaluations.

Table 1. Comparative descriptive summary of PV/T system studies: Control, cooling, validation, deployment, and innovation trends

Study

Control Strategy Effectiveness

Cooling Technique Performance

Experimental Validation Rigor

Industrial Deployment Scale

Innovation Adoption Rate

[9]

Electrical efficiency improved by ~1% with water flow optimization

Water cooling reduced cell temperature, with a max thermal efficiency 63%

Detailed experimental setup with flow rate variation in a tropical climate

Limited to an experimental prototype, no large-scale deployment

Moderate use of fluid flow optimization

[11]

Rear side forced water cooling increased electrical efficiency by 2.5%

Water cooling with a thermal collector improved power by 28%

Combined numerical and experimental validation in Sri Lanka

Prototype scale, no industrial deployment reported

Numerical optimization and experimental validation

[28]

Automatic control system monitored efficiencies; glass cover increased thermal gain by 5%

Serpentine tube cooling with/without glass cover tested

Experimental data collected over multiple seasons

Small-scale experimental system

Use of automatic control and glazing effects

[21]

AI-based multi-objective optimization improved electrical and thermal outputs

PCM integration for thermal regulation

High-fidelity modeling with ANN and optimization

Pre-commercial stage; provides foundational AI-based optimization insights enabling scalability assessment for potential industrial integration

High adoption of AI and multi-objective optimization

[29]

Fuzzy control scheme enhanced the collector performance over PID control

Water heating with dynamic flow control

Prototype tested experimentally

Prototype stage, no industrial scale

Use of fuzzy logic control

[14]

Optimal switching control improved summer power output by 2.65%

Forced water circulation for cooling

Simulation-based validation with real weather data

Economic analysis included, no large-scale deployment

Control optimization with economic analysis

[1]

Review highlights control strategies, but no quantitative data

Air, water, refrigerants, and PCM cooling methods are overviewed

Synthesized experimental and simulation studies

Discusses applications broadly, no specific deployments

Emerging cooling technologies reviewed

[5]

Parametric optimization improved efficiencies

Various cooling schemes, including fluids and absorber modifications

Comprehensive literature review

No direct industrial deployment

Emphasis on design optimization

[26]

Fuzzy control for pump and valve switching optimized system

Water cooling integrated with building energy demand

Experimental validation with 36 PVT collectors

Demonstration system for building integration

Control system integration with building demand

[30]

Arduino-based automatic cooling improved electrical and thermal performance

Automatic water cooling system

Experimental validation with theoretical modeling

Prototype scale

Embedded system control adoption

[16]

Review of climatic and operational parameters affecting control

Emphasizes climatic impact on cooling effectiveness

Compilation of case studies in tropical climates

No direct deployment data

Focus on the climatic parameter influence

[3]

Review of control and optimization techniques

Water and air cooling, PCM, and nanofluids discussed

Extensive review of experimental and numerical studies

No industrial deployment specifics

Broad technology overview

[10]

Review of hybrid active cooling control strategies

Control schemes for diverse cooling types analyzed

Literature review from 2010-2022

No deployment data

Focus on control strategy trends

[12]

Economic model predictive control increased energy gain by up to 234%

Air cooling with vortex generators

Simulation-based study with seasonal scenarios

No industrial deployment

Advanced predictive control and heat intensification

[13]

Metaheuristic AI approach selected optimal PV/T models

Air cooling favored; PCM minimized thermal losses

Multi-criteria optimization with economic analysis

No direct industrial deployment

AI and multi-objective optimization

[31]

Adaptive particle swarm optimization improved flow rate control

Novel trapezoidal fluid channel reduced cell temperature by 12.7℃

Outdoor experimental data with optimization

No industrial deployment

Machine learning for operational optimization

[27]

Microcontroller-based hybrid air-water cooling increased electrical efficiency by 28%

Hybrid cooling system with temperature-triggered activation

Experimental validation with temperature and voltage data

Prototype scale

Embedded control with hybrid cooling

[32]

Single-axis tracking and flow rate control enhanced electrical efficiency

Active water cooling with absorber design

Combined theoretical and experimental study

Experimental setup

Integration of monitoring and active cooling

[33]

Multi-objective genetic algorithm optimized system performance

PCM and earth-air heat exchanger for thermal management

Simulation with building energy demand

No industrial deployment

Multi-objective optimization with PCM

[19]

The dynamic model optimized mass flow rates for performance

Flow rate variation impact studied

Experimental validation with error metrics

No industrial deployment

Dynamic modeling and optimization

[6]

Multi-objective optimization improved exergy efficiency and cost

Integrated cooling, hot water, and power units

Climate-based analysis for Australian cities

No large-scale deployment

System integration and cost optimization

[2]

Review of automated control and IoT integration

Liquid and nanofluid cooling are emphasized

Systematic review of 45 articles

Discusses deployment challenges

IoT and smart grid integration

[20]

Advanced absorber designs and nanofluids improve control

Nanofluids and PCM for thermal management

Synthesis of experimental and numerical studies

No deployment data

Material innovations and cooling techniques

[7]

Mathematical model validated experimentally for nanofluid PVT

Nanofluid/NePCM enhanced cooling

Experimental validation with temperature and efficiency data

Prototype scale

Nanofluid and phase change material integration

[34]

Nanofluid shape and concentration optimized cooling performance

Ternary hybrid nanofluids improved electrical efficiency by ~9%

Numerical simulation with parametric study

No industrial deployment

Nanomaterial shape effects on cooling

[35]

Numerical model evaluated nanofluid coolants and flow rates

Triangular absorber with water-based nanofluids

Numerical and economic analysis

No industrial deployment

Nanofluid coolant performance and cost

[36]

Tesla valve flow control enhanced cooling efficiency

Tesla valve structure optimized for heat dissipation

Numerical simulation

No industrial deployment

Innovative flow channel design

[37]

Review of emerging cooling technologies

Active, passive, nanofluid, thermoelectric cooling

Comprehensive literature review

No deployment data

Cooling technology trends

[38]

Review of nanofluids for PV cooling

Nanofluid thermophysical properties and challenges

Systematic review

No deployment data

Nanofluid technology adoption

[39]

Experimental and CFD analysis of nanofluid PV/T systems

Nanofluids enhance heat transfer and efficiency

Experimental and simulation validation

Prototype scale

Nanofluid integration

[8]

CuO and Ag nanofluids improved thermal and electrical efficiencies

Silver nanoparticles showed the highest heat transfer

Experimental data from Algeria

Prototype scale

Nanofluid application in a tropical climate

[40]

Year-round experimental study with PCM-water cooling

Electrical efficiency increased up to 13.3%

Long-term experimental data in Egypt

Prototype scale

PCM integration for thermal storage

[41]

Nanoparticles with PCM and TEG integration enhanced power

Water-based nanofluid cooling with TEG modules

Experimental investigation

Prototype scale

Hybrid PCM, nanofluid, and TEG integration

[24]

Experimental comparison of PCM, TEG, and nanofluids

PCM improved efficiency; TEG and nanofluids are less economical

Small-scale experimental study

Prototype scale

Economic and technical performance analysis

[42]

Air cooling with baffles improved thermal efficiency by 22%

Baffle design enhanced convection and cooling

Experimental study over multiple days

Prototype scale

Air cooling optimization

[43]

Skeleton-shaped fins increased energy output by 55%

Natural air cooling with fins

Experimental and economic evaluation

Prototype scale

Novel fin design for cooling

[25]

Perforated baffles reduced PV temperature by ~16-18%

Air cooling with baffled channels

Outdoor experimental study

Prototype scale

Baffle design for enhanced convection

[44]

Water-spray cooling increased electrical efficiency by 3.9%

Front surface water spray is most effective

Experimental comparison of four cooling methods

Prototype scale

Water spray cooling effectiveness

[45]

Sprayed water cooling improved electrical efficiency by 16.78%

Water spray with a self-cleaning mechanism

Experimental validation

Prototype scale

Innovative sprayed water cooling

[22]

Review of absorber designs and nanofluids for heat dissipation

Mini/microchannels and polymer materials discussed

Literature review with numerical and experimental data

No deployment data

Advanced absorber and cooling materials

[46]

The minichannel heat sink increased electrical power by 0.8%

Integrated PV-Thermal and solar thermal system

Numerical case study

No industrial deployment

Minichannel heat sink integration

[21]

Review of solar cooling systems driven by PVT collectors

Electrical efficiency improved by up to 11%

Review of thermodynamic and economic performance

No deployment data

Solar cooling integration

[47]

CPV/T with absorption chiller reduced CO2 emissions

Modeled system for residential cooling in the UAE

Simulation and feasibility study

Feasibility study, no large-scale deployment

Concentrating PV/T and cooling integration

[17]

The PV-T hybrid system showed 77% overall efficiency

Theoretical analysis with ROI and payback period

Simulation for the Malaysian household

No industrial deployment

Economic and energy performance analysis

[48]

Parabolic reflectors and cooling increased PV efficiency by 16.46%

Paraffin-based nanomaterial cooling with TEG

Simulation-based study

Prototype-level demonstration; supports the feasibility of a hybrid reflector-PCM-TEG configuration as a precursor to industrial trial applications

Combined reflector, cooling, and TEG

[49]

PV/T-RC system enhanced year-round heating and cooling

Radiative cooling coating reduced the temperature by 22.2℃

Field tests in Hong Kong

No industrial deployment

Radiative cooling integration

[15]

Water circulation reduced PV temperature by ~11℃

Heat exchanger cooling in the Nigerian tropical climate

Simulation with real weather data

No large-scale deployment

Tropical climate cooling application

[50]

Heat pipe technology doubled energy efficiency

MATLAB modeling with experimental validation

Model validated with Sydney data

No industrial deployment

Heat pipe integration for residential use

[51]

Nanofluids and PCM are discussed for hybrid PVT collectors

Numerical modeling and design analysis

Literature review

No deployment data

Nanofluid and PCM integration

[52]

Refrigerant-based PV/T outperformed water-based in low irradiance

Experimental and computational comparison

Prototype scale

No industrial deployment

Refrigerant vs water cooling comparison

4.1.1 Control strategy effectiveness

The literature consistently highlights the importance of automated and optimized control strategies in improving PV/T system performance. Approaches such as fuzzy logic, economic model predictive control, and AI-based optimization have been widely implemented to regulate flow rates and thermal management. These strategies not only enhance electrical and thermal efficiencies but also demonstrate their potential when integrated with complementary techniques such as advanced cooling. Moreover, several studies have linked control improvements to economic benefits, underscoring the dual role of control systems in both technical optimization and financial viability. Key findings include:

  • The performance improvement range of 1% to 28% reported across the 15 studies originates from different technology pathways. Basic flow-rate control approaches typically yield lower gains between 1% and 2.5%, while hybrid cooling and advanced intelligent control methods, such as ANN, fuzzy logic, and model predictive control, contribute to higher gains between 13% and 28% [11, 12, 53].
  • Several studies combined control with cooling techniques, showing synergistic effects on performance enhancement [28, 30].
  • Economic and payback analyses were integrated in some studies to assess the viability of control strategies, highlighting reduced payback periods and increased profitability [13, 14].

4.1.2 Cooling technique performance

Cooling methods remain one of the most extensively investigated aspects of PV/T systems, given the direct impact of temperature on photovoltaic efficiency. Studies demonstrate that water-based cooling, particularly forced circulation and spray methods, consistently delivers significant reductions in PV cell temperature and improvements in electrical output. Beyond conventional approaches, nanofluids and PCMs have emerged as promising solutions for enhanced thermal regulation and energy storage. Meanwhile, passive methods such as radiative cooling and novel absorber geometries also show potential for cost-effective implementation in tropical climates. The main findings can be summarized as follows:

  • 20 studies reported significant temperature reductions and efficiency gains using diverse cooling methods, including water cooling, air cooling with baffles or fins, nanofluids, PCM, and innovative flow channel designs [34, 42].
  • Water-based cooling, especially forced circulation and sprayed water, consistently showed effective temperature control and electrical efficiency improvements up to 28% [44, 45].
  • Nanofluids and PCM integration enhanced thermal management, with some studies reporting electrical efficiency improvements up to 16% and thermal efficiencies exceeding 70% [7, 40].
  • Passive cooling methods, such as radiative cooling and novel absorber designs, also contributed to performance gains [22, 49].

4.1.3 Experimental validation rigor

Robust experimental validation is a critical factor in ensuring the reliability and applicability of PV/T system performance claims. A substantial number of studies have combined empirical testing with numerical simulations, creating a strong foundation for both theoretical and applied insights. Year-round and multi-seasonal experiments conducted in tropical and subtropical settings further strengthen the relevance of these findings to real-world conditions. Validation techniques range from prototype demonstrations to computational fluid dynamics (CFD) modeling, each contributing to more comprehensive performance assessments. Key insights include:

  • 25 studies provided robust experimental data, often complemented by numerical simulations or modeling, with some conducting year-round or multi-seasonal measurements in tropical or subtropical climates [28, 40, 42].
  • Validation methods included prototype testing, outdoor experiments, CFD simulations, and comparison with theoretical models, ensuring reliability of performance claims [30, 39].
  • Several studies focused on real climatic conditions relevant to tropical regions, enhancing the applicability of findings [15, 31].

4.1.4 Industrial deployment scale

While much progress has been made at the prototype and pilot scales, large-scale industrial deployment of PV/T systems remains limited. The literature reveals that most studies emphasize small-scale demonstrations, leaving unresolved critical questions about scalability and long-term operational feasibility. Economic feasibility studies, however, indicate favorable payback periods in tropical regions, suggesting strong potential for broader adoption. Nonetheless, challenges in cost, infrastructure, and system complexity must be addressed before PV/T systems can transition from laboratory innovation to industrial reality. Findings in this area include:

  • Few studies reported actual industrial or large-scale deployments; most were prototype or demonstration-scale systems with limited real-world operational data [6, 47].
  • Economic feasibility and payback period analyses were conducted to support potential industrial adoption, but practical deployment remains [14, 17].
  • Some studies discussed deployment challenges and scalability in tropical climates, emphasizing the need for further field trials [1, 2].

4.1.5 Innovation adoption rate

Emerging innovations are rapidly shaping the trajectory of PV/T research, particularly through the adoption of innovative technologies and novel materials. Artificial intelligence, IoT-based monitoring, and machine learning algorithms are increasingly integrated to enable predictive control and real-time optimization. At the material level, advancements such as nanofluids, PCMs, thermoelectric generators, and innovative cooling structures—including Tesla valves, vortex generators, and radiative coatings—are being explored to enhance efficiency and adaptability. These developments indicate a strong momentum toward next-generation PV/T systems that combine intelligence, sustainability, and efficiency. The literature points to the following trends:

  • Emerging technologies such as AI-driven optimization, machine learning, nanofluids, PCM, and thermoelectric generators were increasingly adopted in recent studies, reflecting a growing trend toward innovative and advanced PV/T systems [13, 41].
  • Integration of IoT and innovative grid concepts was highlighted as a future direction for real-time monitoring and control [2].
  • Novel materials and cooling designs, including Tesla valves, vortex generators, and radiative cooling coatings, were explored for enhanced thermal management [12, 26].

4.2 Critical analysis and synthesis

The reviewed literature on enhancing photovoltaic thermal (PV/T) system performance through automated systems, control, optimization, and cooling techniques reveals significant advancements in experimental validation, modeling, and integration of novel materials and control strategies. A prominent theme is the focus on cooling methods to mitigate temperature-induced efficiency losses, particularly in tropical climates where high irradiance and ambient temperatures prevail. While many studies demonstrate promising efficiency improvements and innovative system designs, challenges persist in terms of economic feasibility, long-term stability, and comprehensive real-world validation. Furthermore, the integration of AI and multi-objective optimization frameworks shows potential but requires further empirical substantiation. Overall, the body of research provides a solid foundation but also highlights critical gaps in scalability, cost-effectiveness, and adaptive control under diverse tropical conditions. To deepen the understanding of the reviewed literature, Table 2 presents a crucial synthesis that contrasts the strengths and weaknesses of PV/T system studies across key aspects, including automated control, cooling techniques, experimental approaches, industrial deployment, material innovations, AI integration, and economic-environmental assessments.

Table 2. Critical analysis of PV/T system research: Strengths and weaknesses across control, cooling, innovation, and deployment dimensions

Aspect

Strengths

Weaknesses

Automated Control and Optimization Techniques

Several studies have successfully implemented advanced control strategies, such as fuzzy logic, economic model predictive control (EMPC), and hybrid AI frameworks that integrate machine learning with multi-objective optimization, demonstrating enhanced electrical and thermal performance of PV/T systems [12, 29]. These approaches enable dynamic adjustment of flow rates and thermal management, optimizing system efficiency under varying environmental conditions. The integration of AI-based decision-making frameworks offers design flexibility and improved predictive accuracy [21].

Despite these advances, many control models rely heavily on simulations or limited experimental validation, often conducted under controlled or non-tropical conditions, which limits their generalizability. The complexity of AI and multi-objective optimization frameworks may hinder practical implementation due to computational demands and the need for extensive data inputs [19]. Moreover, few studies address the robustness of these control systems in real-world tropical environments with fluctuating weather patterns.

Cooling Techniques for PV/T Systems

The literature presents a wide array of cooling methods, including water-based forced circulation, air cooling with baffles or vortex generators, nanofluid-enhanced coolants, and PCMs, all of which show measurable improvements in reducing PV cell temperature and enhancing efficiency [11, 34]. Experimental studies confirm that hybrid cooling systems, which combine air and water cooling, can significantly improve electrical output and thermal gains, particularly in high-temperature tropical settings [42]. Nanofluids and PCM integration offer promising thermal management and energy storage capabilities [7, 20].

Many cooling techniques face challenges related to cost, complexity, and long-term durability. Nanofluids and PCM materials, although effective, often involve high initial costs and potential environmental concerns, which limit their widespread adoption [2, 38]. Some experimental setups lack scalability or fail to consider maintenance issues such as corrosion or material degradation over time. Additionally, comparative studies on cooling methods under identical tropical conditions are scarce, complicating benchmarking efforts.

Experimental Studies and Case Analyses

Numerous experimental investigations provide valuable empirical data on PV/T system performance, including efficiency gains, temperature reductions, and energy output under tropical or subtropical climates [15, 28]. These studies often incorporate real-time monitoring and control, validating theoretical models and demonstrating practical feasibility. Case studies in diverse tropical locations, such as Nigeria and Malaysia, offer insights into region-specific performance and economic viability [17].

Experimental studies frequently suffer from limited duration, small-scale prototypes, or a lack of standardized testing protocols, which restricts the comparability and reliability of results [42]. Many focus on short-term performance without addressing seasonal variations or long-term operational stability. Economic analyses are often preliminary, with payback periods and cost assessments not fully accounting for maintenance or system degradation [43].

Industrial Applications and Deployment Strategies

The literature includes promising examples of industrial-scale PV/T system integration, such as building energy demand-driven cogeneration systems and solar cooling applications, which demonstrate the potential for commercial viability and environmental benefits [26]. Payback periods and return on investment analyses indicate feasible economic returns in tropical and subtropical regions [14]. Integration with building systems and hybrid energy solutions enhances applicability and user acceptance.

Despite these advances, industrial deployment remains limited by high upfront costs, system complexity, and lack of standardized design guidelines tailored to tropical climates [2, 47]. Numerous studies emphasize the importance of enhancing aesthetics and user-friendly designs to foster adoption [1]. Furthermore, the scalability of laboratory or pilot-scale innovations to complete industrial applications is often not demonstrated, and challenges related to local infrastructure and maintenance are underexplored.

Material Innovations and Thermal Management

Incorporation of advanced materials such as nanoparticle-enhanced PCMs, nanofluids with varied particle shapes, and novel absorber designs (e.g., trapezoidal channels, skeleton-shaped fins) has been shown to improve heat transfer, reduce cell temperature, and enhance overall system efficiency [31]. These innovations contribute to improved thermal regulation and energy storage, which are critical for tropical climates with high solar loads.

Material innovations often encounter challenges related to cost, environmental impact, and long-term stability. For example, corrosion and structural changes in PCMs can degrade their performance over time, and the stability of nanofluids remains a concern [38]. The environmental footprint and recyclability of advanced materials are insufficiently addressed. Additionally, many studies rely on numerical simulations with limited experimental corroboration, raising questions about practical applicability.

Integration of AI and Smart Systems

Emerging research demonstrates the potential of AI-driven optimization, including neural networks combined with multi-objective thermal exchange optimization and decision-making algorithms, to enhance PV/T system performance by balancing electrical output, thermal gains, and entropy generation [21]. Intelligent control systems utilizing microcontrollers and Arduino platforms enable automated cooling activation based on temperature thresholds, thereby improving system responsiveness and efficiency [30].

The integration of AI and intelligent systems is still in its nascent stages, with limited field deployment and validation in tropical climates. Challenges include data acquisition, model training under variable conditions, and system robustness against hardware failures or cyber-physical threats [21]. The cost and complexity of implementing such systems may restrict their use to research or high-end applications, limiting broader impact.

Economic and Environmental Assessments

Several studies incorporate economic analyses, including payback periods, levelized cost of energy, and return on investment, providing a holistic view of PV/T system viability in tropical contexts [14]. Environmental benefits such as CO2 emission reductions and sustainable energy contributions are quantified, supporting the case for PV/T adoption [46].

Economic assessments often lack comprehensive life-cycle analyses, omitting factors such as maintenance costs, material degradation, and end-of-life disposal. Environmental impact evaluations are sometimes limited to operational phases without considering the full material lifecycle or the potential toxicity of nanomaterials [24]. This gap may lead to overestimation of sustainability and cost-effectiveness.

4.3 Thematic review of literature

Research on Photovoltaic Thermal (PV/T) systems has extensively explored performance enhancement through automated control, cooling techniques, experimental validation, and real-world applications, especially in tropical climates. A primary focus is on cooling methods—ranging from nanofluids and PCMs to water and air cooling—to mitigate temperature-induced efficiency losses. Simultaneously, advanced control strategies utilizing AI and optimization algorithms are emerging to maximize energy output and operational flexibility. Industrial deployment and future trends emphasize the integration of intelligent systems, novel materials, and economic feasibility tailored to climatic conditions, reflecting a multidisciplinary approach that has evolved over recent years. To capture recurring patterns and focal points in the literature, Table 3 categorizes the reviewed studies into thematic clusters, indicating their frequency of appearance and providing concise descriptions of each theme related to PV/T system performance enhancement.

Table 3. Thematic distribution of PV/T system research: Cooling, control, materials, applications, and emerging trends

Theme

Appears In

Theme Description

Cooling Techniques for PV/T Systems

28/50 Papers

Cooling methods such as water cooling, air cooling, nanofluids, PCMs, and novel cooling structures are widely studied to reduce PV cell temperature and improve both electrical and thermal efficiencies. Experimental and numerical analyses confirm that advanced coolants like nanofluids and hybrid air-water systems significantly enhance performance in tropical and high-temperature environments [11, 38, 42, 44]. Recent innovations include spray cooling, Tesla valves, and vortex generators that optimize heat dissipation [12].

Automated Control and Optimization of PV/T Systems

22/50 Papers

Automated systems employing fuzzy logic, model predictive control, AI-driven neural networks, and multi-objective optimization algorithms have been developed to dynamically regulate cooling flow rates and operating conditions, maximizing energy yield. These approaches improve system efficiency by balancing electrical output, thermal gain, and entropy generation, with machine learning models demonstrating high predictive accuracy for operational [12, 14, 19]. Optimization frameworks that integrate decision-making techniques support adaptable system design for various climates [13, 33].

Experimental Studies and Case Analyses in Tropical Climates

21/50 Papers

Field experiments and case studies conducted in tropical and subtropical regions such as Sri Lanka, Nigeria, Malaysia, and Egypt reveal the practical impacts of solar irradiance and ambient temperature on PV/T performance. These studies validate cooling techniques and control strategies, demonstrating improvements in electrical efficiency ranging from 2.5% to over 28%, along with enhanced thermal outputs and reduced module temperatures [15, 28, 40]. Payback periods and energy yield metrics offer valuable insights into the economic viability of projects in tropical contexts.

Industrial Applications and Deployment Strategies

15/50 Papers

Industrial implementations of PV/T technology focus on integrating hybrid systems into buildings, solar cooling, cogeneration, and renewable energy grids. Applications highlight system designs that accommodate local climate demands, maximize space and energy utilization, and integrate storage or cooling units such as earth-air heat exchangers and absorption chillers ([6, 46, 47]. Economic analyses reveal favorable payback periods and environmental benefits, supporting wider adoption in tropical urban and residential settings [17].

Material Innovations and Nanotechnology Integration

14/50 Papers

Incorporation of advanced materials, including nanofluids, nanoparticle-enhanced PCMs, and metal waste additives, enhances thermal conductivity and heat storage capacity, leading to improved heat dissipation and system efficiency. Studies report electrical and thermal efficiency gains through CuO, Ag, and ternary hybrid nanofluids, as well as enhanced PCM formulations for latent heat management [7, 34]. Challenges persist in relation to cost, stability, and the effects of corrosion.

Hybrid System Configurations and Energy Harvesting

13/50 Papers

Combining photovoltaic modules with thermal collectors and thermoelectric generators (TEGs) or solar tracking systems enables the harvesting of multiple energy sources. Experimental and modeling efforts demonstrate that integrating TEGs and solar tracking improves electrical output, while hybrid air-water cooling and concentrating PV/T systems facilitate higher efficiency and energy diversity [32, 48]. These configurations are increasingly optimized for specific climatic zones and demand profiles.

Emerging Trends in Digital Automation and Smart Systems

10/50 Papers

Recent studies emphasize the integration of IoT, smart grids, and real-time monitoring techniques into PV/T systems to enable predictive maintenance, adaptive control, and efficient energy management. AI-based multi-criteria decision-making frameworks and data-driven optimization demonstrate the shift toward intelligent and autonomous system operation, aiming to maximize performance under variable environmental conditions [2, 10]. These trends are critical for scaling PV/T deployment in complex tropical environments.

Economic and Environmental Feasibility Assessments

9/50 Papers

Comprehensive analyses, including life cycle cost, energy payback time, and carbon emission reductions, underpin the economic and environmental viability of PV/T systems. Studies reveal payback periods ranging from 1.58 to over 9 years, depending on system design and location, with substantial CO2 mitigation benefits, supporting policy and investment decisions in tropical regions [40, 43]. Cost-efficiency is closely tied to material choice, system complexity, and operational strategies.

Theoretical Modeling and Simulation Approaches

8/50 Papers

Dynamic and steady-state models using software tools (e.g., ANSYS Fluent, COMSOL, TRNSYS, DYMOLA) are employed to predict PV/T system performance, optimize design parameters, and validate cooling strategies. Simulation studies complement experiments by analyzing thermal-fluid dynamics, heat transfer, and system control under diverse weather and operational scenarios [19, 50]. These models provide generalized frameworks that are adaptable to various climatic and structural conditions.

Cooling System Comparative Analyses

7/50 Papers

Comparative evaluations of various cooling techniques—including air, water, refrigerants, nanofluids, and evaporative methods—highlight performance trade-offs in thermal management and energy yield. Refrigerant-based systems show advantages under low irradiance, while water-based systems offer reliable performance in tropical climates. Passive cooling methods and thermoelectric cooling are also assessed for cost and complexity [37, 52]. Such analyses inform the development of tailored cooling solutions tailored to specific operational needs.

4.4 Chronological review of literature

Over the past decade, research on photovoltaic thermal (PV/T) systems has undergone significant evolution, focusing on enhancing both electrical and thermal efficiencies through innovative cooling techniques, control systems, and optimization strategies. Early works concentrated on prototype development, dynamic modeling, and basic control schemes to improve system performance. Mid-period studies expanded to integrate PCMs, nanofluids, and advanced cooling configurations, while exploring experimental validations in diverse climatic conditions. Recent literature emphasizes the incorporation of artificial intelligence, machine learning, and hybrid system designs alongside in-depth economic, environmental, and industrial feasibility analyses, particularly targeting tropical climates with high solar irradiance and ambient temperatures. To illustrate the evolution of PV/T system research, Table 4 provides a chronological overview of the literature, mapping key research directions and thematic advancements from foundational developments in the early 2010s to recent trends in AI integration, hybrid configurations, and large-scale industrial applications in tropical climates.

Table 4. Chronological evolution of PV/T system research: From foundational studies to AI-driven hybrid applications

Year Range

Research Direction

Description

2011–2013

Foundational Development and Control Strategies

Initial research focused on comprehensive reviews of PV/T technologies, conventional system designs, and modeling approaches. Prototype development and dynamic modeling of PV/T collectors were explored alongside basic fuzzy and PID control schemes to maximize system performance. These studies laid the groundwork for subsequent advancements in system design and performance optimization.

2016–2018

Climate-Responsive Design and Optimal Control

Attention shifted toward evaluating climatic, design, and operational parameters that affect PV/T performance, with an emphasis on optimizing systems for varying weather conditions. Optimal switching control strategies and hybrid system configurations with energy storage were developed, demonstrating improved energy output and profitability in real-world scenarios.

2020

Cooling Techniques and Experimental Validation in Tropical Contexts

Research emphasized experimental and numerical analyses of cooling techniques, particularly rear-side forced water cooling, tailored to tropical climates. Prototype validation demonstrated improved electrical and thermal efficiencies, supporting the feasibility of hybrid PV/T systems for regions near the equator. Reviews during this period also highlighted emerging cooling media such as nanofluids and passive cooling strategies.

2023

Advanced control and optimization approaches utilizing APSO, ANN predictive models, and fuzzy logic–assisted hybrid cooling to improve PV/T performance under variable tropical irradiance.

Studies introduced advanced control algorithms, such as economic model predictive control, and applied heat intensification methods, including vortex generators and novel fluid channel designs. Optimization using adaptive algorithms and parametric analyses targeted performance improvements while reducing energy consumption. The integration of cooling techniques with system-level optimization reflected a growing trend toward more intelligent and efficient PV/T systems.

2024

Integration of AI, Nanomaterials, and Hybrid Systems for Enhanced Efficiency

The latest research integrates machine learning, multi-objective optimization, and decision-making frameworks to enhance the holistic performance of PV/T systems. Novel materials such as nanoparticle-enhanced PCMs, ternary hybrid nanofluids, and skeleton-shaped fins have been experimentally and numerically studied for superior thermal management. Hybridization with thermoelectric generators and radiative cooling, combined with IoT-based automated control, supports sustainable and economically viable solutions for high-temperature tropical environments.

2024–2025

Industrial Applications, Economic Feasibility, and Future Trends in Tropical Climates

Recent works focus on industrial-scale applications, cost-benefit analyses, and feasibility studies of PV/T systems in tropical regions, including Malaysia, Nigeria, and the UAE. Studies explore combined solar cooling systems, concentrating PV/T collectors, and the intelligent integration of these systems with building energy demands. Economic return on investment and payback periods are critically evaluated, highlighting the readiness of PV/T technologies for large-scale deployment with promising environmental and financial benefits.

4.5 Agreement and divergence across studies

A widespread consensus among studies is that integrating cooling techniques—particularly water-based and nanofluid-enhanced methods—significantly improves the electrical and thermal efficiencies of PV/T systems, especially in tropical and high-insolation climates. Automated control strategies, including fuzzy logic, predictive control, and AI optimization, are generally effective in maximizing system performance but vary in complexity and reported gains. Experimental rigor varies, with many recent papers combining numerical simulation with field validation; however, differences arise due to variations in climatic conditions and system scales. Industrial deployment insights remain limited, but they point to promising economic feasibility in tropical regions. Meanwhile, emerging technologies such as AI, novel materials, and PCM integration are showing accelerating adoption, yet they still face unresolved cost and durability challenges. To highlight both consensus and contrasting perspectives in the literature, Table 5 compares areas of agreement and divergence across key criteria, including control effectiveness, cooling performance, experimental validation, industrial deployment, and innovation adoption, while also outlining potential explanations for the observed differences.

Table 5. Agreement and divergence in PV/T research: Comparative insights across control, cooling, validation, deployment, and innovation

Comparison Criterion

Studies in Agreement

Studies in Divergence

Potential Explanations

Control Strategy Effectiveness

Automated and AI-based control strategies enhance electrical and thermal efficiencies by optimizing flow rates and thermal management [19, 48]. Fuzzy and predictive control schemes outperform traditional PID controls in dynamic environments [29].

The magnitude of efficiency improvements varies, with some reporting modest gains (~2-3%) [11] and others reporting considerable improvements (> 20%) [12]. Some studies prioritize cost-effectiveness over control complexity [10].

Variation in control algorithm sophistication, system design complexity, climate conditions, and study focus (simulation vs. experiment) contribute to differing reported effectiveness. Economic constraints also influence the selection of control strategies.

Cooling Technique Performance

Water-based cooling consistently reduces PV cell temperature and improves electrical output, with nanofluids and PCM integration further enhancing thermal management [8, 11, 44]. Air cooling and passive techniques show moderate benefits but are less effective than liquid cooling [42].

Some studies show water spray cooling on the PV front surface as most effective [45], whereas others emphasize rear-side cooling or novel channel geometries [31]. Nanofluid coolant performance varies by composition and concentration, with some trade-offs in thermal vs. electrical efficiency [35].

Differences stem from system design (glazed vs. unglazed, fluid flow path), climatic conditions, fluid properties, and experimental setups. Nanofluid stability and cost also affect reported outcomes.

Experimental Validation Rigor

Many recent investigations combine empirical data with numerical modeling for robust validation in tropical climates [7, 28, 31, 39]. The use of multiple metrics (energy, exergy, and entropy) for comprehensive performance analysis is everyday [46].

Some studies rely solely on simulation or limited-scale experiments, lacking long-term field validation [13,36]. The geographic focus varies widely, from tropical Africa and Asia to temperate zones, which complicates direct comparison [17].

Disparities arise due to resource availability, project scope, and objectives. Some focus on theoretical optimization, others on applied case studies, leading to differing validation extents.

Industrial Deployment Scale

The economic viability and payback periods of PV/T systems in tropical regions are generally favorable, with systems showing payback within 2–7 years [21, 27, 43]. Integration with building applications and solar cooling is feasible and increasingly studied (Li, 2023; Ghaith et al., 2024).

Actual large-scale industrial deployment data and diversity of operational sites are limited, with most studies simulating or piloting systems rather than reporting broad industrial adoption [6]. Some economic analyses show conflicting cost-effectiveness depending on local conditions [52].

Variations due to differing regional energy prices, incentives, system scales, and maturity of PV/T technology markets. Regulatory and infrastructure differences impact deployment rates.

Innovation Adoption Rate

Incorporation of AI, machine learning, and multi-objective optimization is increasingly common to enhance PV/T system design and control [13, 31]. Advanced materials like PCM and nanofluids are widely researched for thermal management improvements [38].

Some studies highlight challenges related to the high costs, environmental impacts, and stability of novel materials, which limit near-term adoption [2, 38]. Hybrid systems combining PCM, TEG, and nanofluids show promise but have mixed economic feasibility [41, 48].

The balance between technological benefits and practical constraints (cost, durability, environmental concerns) explains variation in adoption enthusiasm. Research focus versus commercialization readiness also influences reported innovation rates.

4.6 Theoretical and practical implications

4.6.1 Theoretical implications

The theoretical contributions of the reviewed literature highlight how advancements in control, optimization, and cooling directly inform and strengthen the conceptual foundations of PV/T system design. Intelligent control frameworks, including AI-driven optimization and dynamic decision-making, are increasingly validated as effective in balancing the trade-offs between electrical and thermal outputs. At the same time, novel cooling approaches confirm and expand thermodynamic theories of heat transfer and entropy reduction within hybrid solar systems.

The synthesis of empirical and simulation studies across tropical contexts further demonstrates that effective temperature regulation is central to sustaining photovoltaic efficiency. These findings collectively extend theoretical models by incorporating multi-objective optimization, energy–exergy frameworks, and dynamic simulation approaches, as summarized in the following points:

  • The integration of automated control systems and optimization algorithms, including AI and machine learning, has been shown to significantly enhance the performance of PV/T systems by enabling dynamic adjustment of operating parameters to maximize electrical and thermal outputs while managing entropy generation. This supports the evolving theory that intelligent control frameworks can address the inherent trade-offs in PV/T system efficiency and stability [12, 19].
  • Cooling techniques, particularly those involving advanced fluids such as nanofluids and PCMs, have demonstrated substantial improvements in thermal management and electrical efficiency, reinforcing thermodynamic theories related to heat transfer enhancement and entropy reduction in hybrid solar systems [7, 20].
  • Experimental validations across diverse climatic conditions, especially tropical environments, confirm that PV/T systems with optimized cooling and control strategies can maintain lower cell temperatures, thereby supporting the theoretical premise that temperature regulation is critical to sustaining high photovoltaic efficiency in high irradiance and temperature zones [9, 11, 40].
  • The application of multi-objective optimization and decision-making frameworks in PV/T system design highlights the complexity of balancing electrical output, thermal gain, and system sustainability, advancing theoretical models that incorporate economic, environmental, and ergonomic factors alongside energy performance [13, 33].
  • Theoretical models incorporating dynamic simulations and energy-exergy analyses have been validated experimentally, confirming the robustness of these models in predicting system behavior under variable environmental and operational conditions, thus strengthening the theoretical foundation for PV/T system design and optimization [19, 29].

4.6.2 Practical implications

Beyond theory, the reviewed studies reveal clear practical pathways for applying PV/T technologies in real-world contexts, particularly in tropical climates. Automated control and optimized cooling strategies demonstrate tangible efficiency improvements, which can enhance system reliability and energy yield at both commercial and residential scales. Economic analyses reinforce the feasibility of PV/T adoption by highlighting favorable payback periods, while integration with building energy management illustrates broader societal and environmental benefits. Moreover, industrial applications that combine PV/T systems with energy storage, thermoelectric generators, or advanced materials underscore the versatility and adaptability of these technologies. Future directions suggest that IoT-enabled monitoring, adaptive materials, and AI-driven optimization are promising avenues for scaling deployment while overcoming cost and environmental barriers. The key practical implications are outlined as follows:

  • The demonstrated improvements in electrical and thermal efficiencies through automated control and optimized cooling systems suggest that industry adoption of smart PV/T systems can lead to higher energy yields and better system reliability, particularly in tropical climates where temperature-induced efficiency losses are significant [27, 30].
  • Cooling techniques such as water-spray, nanofluid-based cooling, and the use of novel absorber designs (e.g., trapezoidal channels, skeleton-shaped fins) offer practical pathways for enhancing PV/T system performance, with potential for scalable implementation in commercial and residential solar installations [31, 44].
  • Economic analyses indicate that optimized PV/T systems can achieve favorable payback periods and return on investment, supporting policy incentives and financial models that encourage the integration of hybrid solar technologies in tropical regions to meet growing energy demands sustainably [17, 43].
  • The integration of PV/T systems with building energy management, including solar cooling and heating applications, underscores their practical utility in reducing carbon emissions and energy costs, aligning with global sustainability goals and informing urban energy policy and infrastructure planning [49, 50].
  • Industrial applications benefit from the demonstrated feasibility of combining PV/T systems with energy storage, thermoelectric generators, and advanced materials, which can enhance system versatility and resilience, thereby promoting wider adoption in diverse tropical environments [15, 41, 48].
  • Future trends emphasizing IoT integration, adaptive materials, and AI-driven optimization highlight the need for continued research and development to overcome cost and environmental barriers, ensuring that PV/T technologies remain competitive and sustainable in the evolving renewable energy landscape [2, 38].
  • Despite their demonstrated performance benefits, AI-based intelligent control strategies require extensive real-time operational datasets and high computational resources for model training and execution, which may increase system complexity and limit scalability in regions with constrained digital infrastructure and hardware capability.

4.7 Limitations of the literature

The reviewed literature, while offering valuable insights, presents several limitations that constrain the comprehensiveness and applicability of its findings. Geographic bias is evident, as many studies concentrate on specific tropical or subtropical regions, thereby limiting generalizability to diverse Indonesian or global tropical contexts. A further weakness lies in the reliance on short-term simulations and limited empirical data, which restricts the ability to assess long-term performance, sustainability, and system degradation. Additionally, although AI and advanced control strategies are increasingly explored, few studies combine these approaches with robust experimental validations, reducing their real-world applicability. Economic feasibility is another critical gap, with high costs of nanofluids, PCMs, and novel cooling methods often underexplored, thereby weakening arguments for large-scale adoption. Methodological inconsistencies—ranging from varied cooling configurations to lack of standardized performance metrics—also hinder benchmarking and cross-study comparisons. Table 6 summarizes these limitations across different thematic areas, highlighting the need for more geographically diverse, economically grounded, environmentally sensitive, and methodologically standardized research to advance PV/T systems toward sustainable industrial applications.

Table 6. Key limitations in PV/T system literature: Geographic, methodological, economic, and environmental gaps

Area of Limitation

Description of Limitation

Papers which Have Limitation

Geographic Bias

Many studies focus on specific tropical or subtropical regions, limiting the generalizability of findings to other tropical climates with different environmental or socio-economic conditions. This geographic concentration restricts external validity and broader applicability of results.

[9, 11, 15, 54]

Limited Long-Term Field Data

A majority of experimental studies rely on short-term or seasonal data, which constrains understanding of PV/T system performance over extended periods and under varying climatic conditions. This limitation affects the robustness and reliability of conclusions.

[25, 28, 40, 42]

Insufficient Integration of AI and Control Systems

Despite advances in automated control and optimization, few studies comprehensively integrate AI-driven methods with experimental validation, limiting insights into real-world applicability and dynamic system optimization under tropical conditions.

[10, 12, 19, 21]

High Cost and Economic Analysis Gaps

Several innovative cooling materials and techniques, such as nanofluids and PCMs, face challenges related to high costs and uncertain economic feasibility, which are often underexplored or inadequately addressed, weakening practical deployment prospects.

[13,24,35,38]

Methodological Constraints in Cooling Techniques

Experimental setups often vary widely in cooling configurations and flow rates, resulting in inconsistent performance metrics and difficulties in benchmarking cooling effectiveness across studies, which limits comparability and synthesis of results.

[11, 25, 44, 45]

Limited Real-World Industrial Application Studies

There is a scarcity of comprehensive case studies and industrial-scale implementations in tropical climates, which restricts our understanding of the practical challenges, scalability, and long-term operational performance of PV/T systems in real-world environments.

[6, 14, 15, 26]

Narrow Focus on Specific Cooling Media

Research predominantly emphasizes water and air as cooling media, with less attention given to emerging coolants, such as refrigerants or hybrid nanofluids, which limits the exploration of potentially more efficient or sustainable alternatives.

[5, 34, 38, 52]

Lack of Standardized Performance Metrics

Diverse evaluation criteria and efficiency definitions across studies hinder direct comparison and meta-analysis, reducing the ability to draw unified conclusions about PV/T system performance improvements.

[1-3]

Environmental Impact Understudied

Few studies thoroughly assess the environmental implications of novel materials and cooling techniques, such as nanofluids and PCMs, which is critical for sustainable technology adoption and lifecycle analysis.

[2, 24, 38]

Limited Multi-Objective Optimization Approaches

While some research employs multi-objective optimization, many studies fail to fully consider the trade-offs among electrical efficiency, thermal performance, cost, and environmental factors, thereby limiting holistic insights into system design.

[13, 21, 33]

4.8 Gaps and future research directions

Despite significant progress in PV/T research, several unresolved gaps remain that hinder the widespread adoption and scalability of this technology in tropical climates. A recurring challenge is the limited real-world validation of AI-based control systems, which are often confined to simulation studies rather than long-term field trials. Industrial deployment also faces obstacles, as most studies remain at prototype or small-scale levels, leaving uncertainties about maintenance, reliability, and cost-effectiveness in larger applications. Cooling techniques have been widely explored; however, comparative benchmarking under identical tropical conditions remains lacking, making it challenging to identify the most efficient and sustainable approaches. Moreover, questions about material durability, environmental impacts, and recyclability of nanofluids and PCMs persist, underscoring the need for eco-friendly innovations. Beyond the technical domain, economic analyses often fail to include full lifecycle costs, while IoT integration, adaptive controls, and hybrid cooling strategies remain underexplored in tropical contexts. Social acceptance and design considerations are often underrepresented, despite being critical for real-world adoption. Table 7 synthesizes these gaps and outlines future research directions, providing a structured roadmap that prioritizes high-impact areas such as industrial validation, material durability, and adaptive AI-driven controls.

Table 7. Research gaps and future directions for PV/T systems in tropical climates: From technical challenges to socio-economic considerations

Gap Area

Description

Future Research Directions

Justification

Research Priority

Limited real-world validation of AI-based control systems

AI and machine learning control strategies for PV/T optimization are mostly validated via simulations or limited experiments, lacking extensive field trials in tropical climates.

Conduct long-term, large-scale field experiments of AI-driven control systems in diverse tropical environments to assess robustness, adaptability, and real-time performance.

Simulation-based models may not accurately capture the variability and complexity of tropical climates, thereby limiting their practical applicability and scalability [19, 21].

High

Scalability and industrial deployment challenges

Most studies focus on prototype or small-scale PV/T systems with scarce data on industrial-scale deployment and operational challenges in tropical regions.

Develop pilot projects and demonstration plants in tropical climates to evaluate scalability, maintenance, and economic feasibility under real operational conditions.

Without industrial-scale validation, the transition from lab to market remains uncertain, hindering widespread adoption [2, 26, 47].

High

Comparative benchmarking of cooling techniques under identical tropical conditions

Cooling methods (water, air, nanofluids, PCM, radiative cooling) are tested in isolation or different settings, lacking direct comparative studies under standardized tropical conditions.

Design controlled experiments comparing multiple cooling techniques simultaneously in tropical environments to identify optimal methods for efficiency, cost, and durability.

Direct comparisons are essential to guide technology selection and optimize system design for tropical climates [34, 42, 44].

High

Long-term durability and environmental impact of advanced materials

Nanofluids, PCMs, and novel absorber materials show performance benefits but raise concerns about stability, corrosion, ecological toxicity, and lifecycle impacts.

Investigate long-term material degradation, environmental toxicity, and recyclability, and develop eco-friendly, durable materials tailored for tropical PV/T applications.

Material degradation and environmental risks could undermine system reliability and sustainability, limiting adoption [22, 24, 38].

High

Integration of IoT and innovative grid technologies in tropical PV/T systems

IoT-enabled real-time monitoring and smart grid integration are proposed but lack practical implementation and evaluation in tropical PV/T systems.

Develop and test IoT-based monitoring and control platforms integrated with smart grids in tropical PV/T installations to enhance energy management and predictive maintenance.

Intelligent systems can enhance operational efficiency and grid compatibility, but they require validation in tropical contexts [2].

Medium

Economic analyses are lacking in comprehensive lifecycle and maintenance costs

Existing economic assessments often overlook maintenance, degradation, and end-of-life costs, resulting in incomplete evaluations of the viability of PV/T systems.

Perform comprehensive lifecycle cost analyses, including maintenance, material replacement, and disposal costs, for PV/T systems in tropical climates to refine economic models.

Accurate economic models are critical for investor confidence and policy support [14, 17, 43].

Medium

Limited exploration of hybrid cooling systems combining passive and active methods

Hybrid cooling approaches (e.g., combining radiative cooling with water or air cooling) are underexplored experimentally in tropical climates.

Experimentally evaluate hybrid cooling systems integrating passive (radiative, PCM) and active (water, air) methods to maximize cooling efficiency and reduce energy consumption.

Hybrid systems may offer synergistic benefits but require empirical validation for tropical applications [27, 49].

Medium

Insufficient focus on adaptive control strategies for fluctuating tropical weather

Control systems often fail to account for the rapid and unpredictable weather changes typical of tropical climates, which can significantly impact the performance of PV/T systems.

Develop adaptive control algorithms that incorporate real-time weather forecasting and sensor data to optimize PV/T operation under dynamic tropical variability.

Adaptive controls can enhance resilience and efficiency, but they must be tailored to the specific dynamics of tropical weather [19, 21].

High

Lack of standardized testing protocols for PV/T systems in tropical climates

Diverse experimental setups and metrics hinder the comparability and benchmarking of PV/T system performance across studies.

Establish standardized testing procedures and performance metrics specific to tropical PV/T systems to enable consistent evaluation and comparison.

Standardization is essential for technology validation, regulatory approval, and market acceptance [16, 28].

Medium

Underrepresentation of social acceptance and aesthetic considerations in tropical PV/T deployment

Few studies address user acceptance, aesthetic integration, and socio-cultural factors influencing PV/T adoption in tropical regions.

Conduct interdisciplinary research combining technical, social, and design aspects to develop user-friendly, aesthetically acceptable PV/T systems for tropical communities.

Social acceptance is crucial for widespread adoption, yet it remains underexplored [1].

Low

5. Conclusion

The collective body of research investigating the enhancement of photovoltaic thermal (PV/T) system performance through automated control, advanced cooling techniques, experimental validation, industrial applications, and emerging innovations in tropical climates demonstrates significant progress in optimizing hybrid solar systems. Automated control approaches such as fuzzy logic, model predictive control, and AI-driven multi-objective optimization have proven effective in improving electrical and thermal efficiencies through adaptive operational adjustments and real-time system regulation. These control strategies enable dynamic responses to environmental fluctuations; however, practical deployment challenges remain due to the requirements for high computational capability, robust sensor data availability, and reliable long-term performance stability in real operating conditions. Cooling mechanisms—including forced water circulation, spray cooling, hybrid cooling configurations, and passive radiative cooling—consistently reduce thermal stress and enhance energy output, indicating their central role in performance enhancement within high-temperature tropical environments. However, concerns related to hardware durability, scalability, maintenance cost, and environmental considerations continue to limit widespread commercial adoption.

Experimental studies conducted primarily in tropical and subtropical regions provide strong empirical support for theoretical models, demonstrating measurable improvements in real-world climate performance outcomes. Nevertheless, existing research predominantly focuses on prototype-scale implementation with limited long-term operational evaluation, which underscores the need for extended field testing to confirm reliability, durability, and economic feasibility at scale. Future research should employ regionally adaptive strategies to address geographic performance variability by expanding validation across diverse tropical environments, including humid equatorial, semi-arid, and high-altitude climatic zones. These zones differ substantially in solar irradiance and thermal stress profiles, which directly affect the effectiveness of cooling and control strategies and, consequently, system efficiency. Economic assessments complement technical findings, revealing promising return-on-investment potential for optimized PV/T configurations, yet comprehensive lifecycle, sustainability, and environmental impact analyses remain insufficient.

Industrial applications of PV/T technology in tropical climates are emerging but have not yet progressed beyond early-stage deployment, with relatively limited full-scale implementation. Integration with building energy management and solar cooling applications suggests strong potential for accelerating commercial adoption, particularly within sectors experiencing peak cooling demand. However, barriers, including high initial capital requirements, engineering complexity, maintenance constraints, and a lack of regionally specific technical guidelines, continue to hinder rapid market growth and industrial uptake. Clear performance standards and technology certification frameworks are needed to mitigate investor uncertainty and ensure system reliability. Collaborative industrial engagement, demonstration facilities, and real-time performance monitoring platforms represent critical steps toward scaling the commercialization of PV/T.

To enhance practical relevance and support wider real-world deployment, future PV/T development in tropical regions should be aligned with supportive policy and market frameworks. Government-driven incentives such as feed-in tariffs, tax credits, and capital subsidies can significantly accelerate adoption by reducing upfront investment barriers and improving economic feasibility. At the same time, market pathways involving public–private partnerships, utility-scale demonstration projects, and integration with building energy regulations can stimulate commercial scaling and standardization of technology. Clear policy roadmaps that include lifecycle assessment requirements, performance certification, and regional design guidelines are crucial for strengthening investor confidence and mitigating perceived technology risks. These combined policy and market instruments can help transition PV/T systems from prototype-level experimentation toward practical large-scale deployment in tropical countries.

Acknowledgment

This document stems from a study titled “Optimizing Renewable Energy Efficiency for Sustainable Energy Production,” which received funding from Sebelas Maret University via the Research Group Capacity Strengthening scheme (pkg-uns) under contract number 371/UN27.22/PT.01.03/2025.

  References

[1] Garcia Noxpanco, M., Wilkins, J., Riffat, S. (2020). A review of the recent development of photovoltaic/thermal (PV/T) systems and their applications. Future Cities and Environment, 6(1): 16. https://doi.org/10.5334/fce.97

[2] Alsaqoor, S., Alqatamin, A., Alahmer, A., Nan, Z., Al-Husban, Y., Jouhara, H. (2023). The impact of phase change material on photovoltaic thermal (PVT) systems: A numerical study. International Journal of Thermofluids, 18: 100365. https://doi.org/10.1016/j.ijft.2023.100365

[3] Riffat, S.B., Cuce, E. (2011). A review on hybrid photovoltaic/thermal collectors and systems. International Journal of Low-Carbon Technologies, 6(3): 212-241. https://doi.org/10.1093/ijlct/ctr016

[4] Prasetyo, S.D., Trisnoaji, Y., Arifin, Z., Rio, A. (2026). Assessment of the performance differences in PV – PCM systems with numerical analysis of different phase change materials and structural designs. Solar Energy Materials and Solar Cells, 295: 114019. https://doi.org/10.1016/j.solmat.2025.114019

[5] Cuce, E., Oztekin, E.K., Cuce, P.M. (2018). Hybrid photovoltaic/thermal (HPV/T) systems: From theory to applications. Energy Research Journal, 9(1): 1-71. https://doi.org/10.3844/erjsp.2018.1.71

[6] Assareh, E., Mousavi Asl, S.S., Ahmadinejad, M., Parvaz, M., Ghodrat, M. (2024). Optimization of a solar energy system integrating cooling, hot water, and power units in Australian cities: A climate-based analysis and cost-efficiency investigation. International Journal of Hydrogen Energy, 49: 353-375. https://doi.org/10.1016/j.ijhydene.2023.08.035

[7] Sheikh, F.R., Deshmukh, S.P., Ardhapurkar, P., Pathan, K.A., Shaikh, S.K., Khan, S.A. (2024). Modeling and experimental validation of NePCM-nanofluid-based PVT system. Journal of Advanced Research in Fluid Mechanics and Thermal Sciences, 122(1): 205-222. https://doi.org/10.37934/arfmts.122.1.205222

[8] Radia, Z., Abdehak, B., Rebai, B., Faicel, K., Mourad, C., Khelifa, M., Sofiane, T., Hichem, B. (2024). Performance enhancement of a photovoltaic-thermal system: Comprehensive analysis of thermal and electrical efficiency using CuO and Ag nanofluids. Studies in Engineering and Exact Sciences, 5(2): e11880. https://doi.org/10.54021/seesv5n2-711

[9] Tirupati Rao, V., Raja Sekhar, Y., Arıcı, M., Ralph Pochont, N., Reddy Prasad, D.M. (2024). Experimental investigations on bi-symmetrical web flow water based photovoltaic-thermal (PVT) system: Energy, exergy, and entropy (3-E) analysis. Solar Energy, 271: 112445. https://doi.org/10.1016/j.solener.2024.112445

[10] Edaris, Z.L., Saad, M.S., Tajuddin, M.F.N., Rahim, M.S.A., Ali, M.H. (2024). Review of control strategies for improving the photovoltaic electrical efficiency by hybrid active cooling. Journal of Advanced Research in Fluid Mechanics and Thermal Sciences, 117(2): 192-210. https://doi.org/10.37934/arfmts.117.2.192210

[11] Karunasena, U.T.R.K., Karunarathna, M.A.P., Kumara, D.G.A.S., Manthilake, M.M.I.D., Punchihewa, H.K.G. (2020). Efficiency improvement of solar photovoltaic thermal systems by experimental and numerical analysis. In 2020 Moratuwa Engineering Research Conference (MERCon), Moratuwa, Sri Lanka, pp. 488-493. https://doi.org/10.1109/MERCon50084.2020.9185279

[12] Karkaba, H., Etienne, L., Pelay, U., Russeil, S., Simo tala, J., Boonaert, J., Lecoeuche, S., Bougeard, D. (2023). Performance improvement of air cooled photo-voltaic thermal panel using economic model predictive control and vortex generators. Renewable Energy, 218: 119332. https://doi.org/10.1016/j.renene.2023.119332

[13] Kenfack, A.Z., Nematchoua, M.K., Simo, E., Chara-Dackou, V.S., Pemi, B.A.P. (2024). Performance improvement of hybrid photovoltaic/thermal systems: A metaheuristic artificial intelligence approach to select the best model using 10E analysis. Solar Energy Advances, 4: 100061. https://doi.org/10.1016/j.seja.2024.100061

[14] Siecker, J., Kusakana, K., Numbi, B.P. (2018). Optimal switching control of PV/T systems with energy storage using forced water circulation: Case of South Africa. Journal of Energy Storage, 20: 264-278. https://doi.org/10.1016/j.est.2018.09.019

[15] Awai, K.R., King, P., Patchigolla, K., Jain, S.M. (2024). Investigating performance of hybrid photovoltaic–thermal collector for electricity and hot water production in Nigeria. Energies, 17(11): 2776. https://doi.org/10.3390/en17112776

[16] Elbreki, A.M., Alghoul, M.A., Al-Shamani, A.N., Ammar, A.A., Yegani, B., Aboghrara, A.M., Rusaln, M.H., Sopian, K. (2016). The role of climatic-design-operational parameters on combined PV/T collector performance: A critical review. Renewable and Sustainable Energy Reviews, 57: 602-647. https://doi.org/10.1016/j.rser.2015.11.077

[17] Hui, T.J., Bahar, R., Low, J., Jun, H.K. (2025). Assessment of photovoltaic-thermal (PV-T) system feasibility in Malaysia: A comprehensive study. E3S Web of Conferences, 603: 03002. https://doi.org/10.1051/e3sconf/202560303002

[18] Prasetyo, S.D., Trisnoaji, Y., Arifin, Z., Anggit, A. (2025). Harnessing unconventional resources for large-scale green hydrogen production: An economic and technological analysis in Indonesia. Unconventional Resources, 6: 100174. https://doi.org/10.1016/j.uncres.2025.100174

[19] Sredenšek, K., Simonič, E., Seme, S. (2024). Dynamic modelling and optimal operation of the photovoltaic/thermal. RE&PQJ, 22(6): 82-86. https://doi.org/10.52152/4057

[20] Rahman, M.A., Gupta, S.K., Akylbekov, N., Zhapparbergenov, R., Hasnain, S.M.M., Zairov, R. (2024). Comprehensive overview of heat management methods for enhancing photovoltaic thermal systems. IScience, 27(10): 110950. https://doi.org/10.1016/j.isci.2024.110950

[21] Li, Y., Basem, A., Alizadeh, A., Singh, P.K., Dixit, S., Abdulaali, H.K., Ali, R., Cajla, P., Rajab, H., Ghachem, K. (2025). Synergizing neural networks with multi-objective thermal exchange optimization and PROMETHEE decision-making to improve PCM-based photovoltaic thermal systems. Case Studies in Thermal Engineering, 68: 105851. https://doi.org/10.1016/j.csite.2025.105851

[22] Kurniawati, I., Sung, Y. (2024). A review of heat dissipation and absorption technologies for enhancing performance in photovoltaic–thermal systems. Energies, 17(7): 1721. https://doi.org/10.3390/en17071721

[23] Juwana, W.E., Racmanto, R.A., Ubaidillah, Trisnoaji, Y., Prasetyo, S.D., Arifin, Z. (2025). The role of fin – PCM integration in enhancing photovoltaic performance. Green Technologies and Sustainability, 4(2): 100306. https://doi.org/10.1016/j.grets.2025.100306

[24] Vaziri Rad, M.A., Rousta, M., Khanalizadeh, A., Kouravand, A., Akbari, M., Mousavi, S., Astaraei, F.R., Yan, W., Kasaeian, A. (2024). Critical analysis of enhanced photovoltaic thermal systems: A comparative experimental study of Pcm, Teg, and nanofluid applications. SSRN. https://doi.org/10.2139/ssrn.4812295

[25] Farzan, H., Iranmanesh, A., Mohsenifard, A. (2024). Investigation on different cooling strategies for photovoltaic thermal Systems: An experimental study. Applied Thermal Engineering, 250: 123537. https://doi.org/10.1016/j.applthermaleng.2024.123537

[26] Zhou, C., Liang, R., Zhang, J. (2017). Optimization design method and experimental validation of a solar PVT cogeneration system based on building energy demand. Energies, 10(9): 1281. https://doi.org/10.3390/en10091281

[27] Zhang, Y., Kang, C.C., Kang, C.Y., Ng, Z.N., Minhad, K.N., Liew, C.P. (2024). Optimization cooling system of photovoltaic thermal collector system for sustainable green technology. In 2024 IEEE 7th International Conference on Electrical, Electronics and System Engineering (ICEESE), Kanazawa, Japan, pp. 1-4. https://doi.org/10.1109/ICEESE62315.2024.10828539

[28] Abbas, H.M., Ali, I.M., Al-Najjar, H.M.T. (2021). Experimental study of electrical and thermal efficiencies of a photovoltaic thermal (PVT) hybrid solar water collector with and without glass cover. Journal of Engineering, 27(1): 1-15. https://doi.org/10.31026/j.eng.2021.01.01

[29] Ciabattoni, L., Ippoliti, G., Longhi, S. (2013). A novel photovoltaic-thermal collector prototype: Design, modeling, experimental validation and control. In IECON 2013 - 39th Annual Conference of the IEEE Industrial Electronics Society, Vienna, Austria, pp. 8062-8067. https://doi.org/10.1109/IECON.2013.6700481

[30] Zainol, M.Z., Zainol, I., Dahalan, M.R.M., Fadzil, M.F., Zakaria, Z.A. (2019). Efficient photovoltaic module intergrated with automatic cooling system using Arduino. International Journal of Innovative Technology and Exploring Engineering, 8(12): 5521-5526. https://doi.org/10.35940/ijitee.L3968.1081219

[31] Dong, S., Long, H., Guan, J., Jiang, L., Zhuang, C., Gao, Y., Di, Y. (2024). Performance investigation of a hybrid PV/T collector with a novel trapezoidal fluid channel. Energy, 288: 129594. https://doi.org/10.1016/j.energy.2023.129594

[32] Dinker, E.S., Kumar, A., Kumar, R. (2024). Enhancement of power efficiency in hybrid solar thermal systems. African Journal of Biomedical Research, 27(6S): 140-146. https://doi.org/10.53555/AJBR.v27i6S.5583

[33] Shahsavar, A., Azimi, N. (2024). Performance evaluation and multi-objective optimization of a hybrid earth-air heat exchanger and building-integrated photovoltaic/thermal system with phase change material and exhaust air heat recovery. Journal of Building Engineering, 90: 109531. https://doi.org/10.1016/j.jobe.2024.109531

[34] Usman, Khan, M.S., Wang, J., Memon, A.A., Muhammad, T. (2024). Investigating the enhanced cooling performance of ternary hybrid nanofluids in a three-dimensional annulus-type photovoltaic thermal system for sustainable energy efficiency. Case Studies in Thermal Engineering, 60: 104700. https://doi.org/10.1016/j.csite.2024.104700

[35] Singh, M., Solanki, S.C., Agrawal, B., Bhargava, R. (2024). Performance evaluation and cost analysis of photovoltaic thermal (PVT) system using the triangular shape of absorber with different water-based nanofluids as coolants. International Journal of Experimental Research and Review, 39(Spl Volume): 51-72. https://doi.org/10.52756/ijerr.2024.v39spl.004

[36] Du, S., Zou, J., Zheng, X., Ye, X., Yang, H., Zhong, P. (2024). Numerical study on solar photovoltaic/thermal system with tesla valve. Scientific Reports, 14(1): 10836. https://doi.org/10.1038/s41598-024-61785-x

[37] Mariam, E., Ramasubramanian, B., Sumedha Reddy, V., Dalapati, G.K., et al. (2024). Emerging trends in cooling technologies for photovoltaic systems. Renewable and Sustainable Energy Reviews, 192: 114203. https://doi.org/10.1016/j.rser.2023.114203

[38] Sharaby, M.R., Younes, M., Baz, F., Abou-Taleb, F. (2024). State-of-the-art review: Nanofluids for photovoltaic thermal systems. Journal of Contemporary Technology and Applied Engineering, 3(1): 11-24. https://doi.org/10.21608/jctae.2024.288445.1025

[39] Ghazali, M.F., Maulana, M.I., Che Sidik, N.A., Najafi, G., Mohd Rashid, M.I., Jamlos, M.F., Rostami, M.H., Najafpour, A. (2024). Experimental analysis and CFD simulation of photovoltaic/thermal system with nanofluids for sustainable energy solution. Journal of Advanced Research in Numerical Heat Transfer, 24(1): 1-13. https://doi.org/10.37934/arnht.24.1.113

[40] Emam, M., Hamada, A., Refaey, H.A., Moawed, M., Abdelrahman, M.A., Rashed, M.R. (2024). Year-round experimental analysis of a water-based PVT-PCM hybrid system: Comprehensive 4E assessments. Renewable Energy, 226: 120354. https://doi.org/10.1016/j.renene.2024.120354

[41] Chandrashekaraiah, M.B., Nagappan, B., Devarajan, Y. (2024). Hybrid power generation: Experimental investigation of PCM and TEG integration with photovoltaic systems. International Research Journal of Multidisciplinary Technovation, 6(3): 225-231. https://doi.org/10.54392/irjmt24317

[42] Zine, S., Djedjiga, B., Fethya, S., Salah, L., Ahmed, B. (2024). Experimental study of hybrid photovoltaic (PV/T) thermal solar collector with air cooling for domestic use: A thermal and electrical performances evaluation. Journal of Advanced Research in Fluid Mechanics and Thermal Sciences, 116(1): 170-183. https://doi.org/10.37934/arfmts.116.1.170183

[43] Khelifa, A., El Hadi Attia, M., Harby, K., Elnaby Kabeel, A., Abdel-Aziz, M.M., Abdelgaied, M. (2024). Experimental and economic evaluation on the performance improvement of a solar photovoltaic thermal system with skeleton-shaped fins. Applied Thermal Engineering, 248: 123180. https://doi.org/10.1016/j.applthermaleng.2024.123180

[44] Basem, A., Mukhtar, A., Salem Elbarbary, Z.M., Atamurotov, F., Benti, N.E. (2024). Experimental study on the various varieties of photovoltaic panels (PVs) cooling systems to increase their electrical efficiency. PLOS One, 19(9): e0307616. https://doi.org/10.1371/journal.pone.0307616

[45] Mostakim, K., Akbar, M.R., Islam, M.A., Islam, M.K. (2024). Integrated photovoltaic-thermal system utilizing front surface water cooling technique: An experimental performance response. Heliyon, 10(3): e25300. https://doi.org/10.1016/j.heliyon.2024.e25300

[46] Alsibiani, S.A. (2024). Performance boost of an integrated photovoltaic-thermal and solar thermal collectors using minichannel heat sink: Energy, exergy, and environmental analysis. Case Studies in Thermal Engineering, 54: 104067. https://doi.org/10.1016/j.csite.2024.104067

[47] Ghaith, F., Siddiqui, T., Nour, M. (2024). Design of solar-powered cooling systems using concentrating photovoltaic/thermal systems for residential applications. Energies, 17(18): 4558. https://doi.org/10.3390/en17184558

[48] Alinia, A.M., Sheikholeslami, M. (2025). Development of a new solar system integrating photovoltaic and thermoelectric modules with paraffin-based nanomaterials. Scientific Reports, 15(1): 1336. https://doi.org/10.1038/s41598-025-85161-5

[49] Xuan, Q., Yang, N., Kai, M., Wang, C., Jiang, B., Liu, X., Li, G., Pei, G., Zhao, B. (2024). Combined daytime radiative cooling and solar photovoltaic/thermal hybrid system for year-round energy saving in buildings. Energy, 304: 132178. https://doi.org/10.1016/j.energy.2024.132178

[50] Odeh, S., Aden, I. (2025). Modeling of a Photovoltaic/thermal hybrid panel for residential hot water system. Journal of Solar Energy Engineering, 147(1): 011003. https://doi.org/10.1115/1.4065552

[51] Li, H., Pourquié, M.J.B.M., Ooms, G., Henkes, R.A.W.M. (2022) Simulation of a turbulent annulus with interfacial waves in core-annular pipe flow. International Journal of Multiphase Flow, 154: 104152. https://doi.org/10.1016/j.ijmultiphaseflow.2022.104152

[52] Sharma, M.K. (2024). 25- Photovoltaic integrated solar thermal collectors: Advances and computational analysis. Dynamic Mechanical and Creep-Recovery Behavior of Polymer-Based Composites, Elsevier, pp. 485-505. https://doi.org/10.1016/B978-0-443-19009-4.00025-4

[53] Prasetyo, S.D., Arifin, Z., Prabowo, A.R., Budiana, E.P. (2025). The impact of cavity in finned thermal collector on PVT performance using Al2O3 nanofluid. International Journal of Thermofluids, 27: 101284. https://doi.org/10.1016/j.ijft.2025.101284

[54] Tang, K. (2025). Teacher conceptions of climate change and their role in climate change education: Insights from Indonesian upper-secondary teachers. Discover Sustainability, 6(1): 486. https://doi.org/10.1007/s43621-025-01334-2