Real-Time Bengaluru City Traffic Congestion Prediction Using Deep Learning Models

Real-Time Bengaluru City Traffic Congestion Prediction Using Deep Learning Models

Karigowda Dhananjaya Kumar* Mandya Lingaiah Anitha Manchanahali Narsegowda Veena

Department of Computer Science and Engineering, Vidya Vikas Institute of Engineering and Technology, Visvesvaraya Technological University, Belagavi 590018, India

Department of Computer Science and Engineering, P.E.S. College of Engineering, Visvesvaraya Technological University, Belagavi 590018, India

Department of Master of Computer Application, P.E.S College of Engineering, Visvesvaraya Technological University, Belagavi 590018, India

Corresponding Author Email: 
dhananjaya.kumar@vidyavikas.edu.in
Page: 
619-628
|
DOI: 
https://doi.org/10.18280/ijtdi.090315
Received: 
26 June 2025
|
Revised: 
30 July 2025
|
Accepted: 
4 August 2025
|
Available online: 
30 September 2025
| Citation

© 2025 The authors. This article is published by IIETA and is licensed under the CC BY 4.0 license (http://creativecommons.org/licenses/by/4.0/).

OPEN ACCESS

Abstract: 

Bengaluru, a city renowned for its rapid urbanization and booming population, faces severe traffic congestion that threatens road safety, increases environmental pollution, and disrupts the daily lives of its residents. The persistent delays at traffic lights and extended commute times underscore the urgent need for effective solutions. In response to these challenges, this study focuses on employing advanced machine learning techniques, specifically, convolutional neural networks (CNNs), long short-term memory (LSTM) networks, and support vector regressions (SVRs) to analyze and predict traffic congestion patterns within the city. By leveraging the strengths of CNNs, the system is designed not only to provide accurate congestion detection across multiple locations but also to offer optimal routing recommendations to road users, thereby potentially easing traffic flows. To comprehensively evaluate the proposed approach, its performance is benchmarked against LSTM and SVR models using key performance metrics such as Root Mean Square Error (RMSE), Mean Absolute Error (MAE), and the R² coefficient. These metrics ensure a robust assessment of predictive accuracy and model effectiveness.

Keywords: 

convolutional neural networks, deep learning techniques, traffic prediction, long short-term model, predictive models, support vector machine, traffic congestion

1. Introduction

In Bengaluru, one of Asia's most crowded cities, people spend more than 132 extra hours every year. According to the TomTom Traffic Index 2024, it takes vehicles 28 minutes and 10 seconds to drive 10 kilometers in the city (as reported by the Hindu daily). Bangalore's traffic congestion is a big concern, given the city's global standing. The problem is compounded by population growth, limited public transportation, and bad urban planning. According to an article in The Hindu newspaper, traffic in Bangalore is pretty awful, with the city having the third-worst travel time in the world and a congestion level index that increased by 4% in 2024. Bangalore's traffic congestion causes significant financial losses, estimated at Rs 20,000 crore per year. These losses are the result of wasted time, increased fuel use, and reduced output. The growing number of cars on Bangalore's streets exacerbates traffic congestion. According to studies, car registrations have increased, with two-wheelers contributing significantly to traffic congestion. Although there have been efforts to improve public transit, the number of buses, particularly the BMTC fleet, is still insufficient to meet the city's transportation needs. Congestion is aggravated by poor road infrastructure, ineffective planning, and irregular urban development. Figure 1 depicts the traffic situation in several locations of Bangalore city. It is a screenshot of Google Maps that shows live traffic conditions in Bengaluru (Bangalore), India. Indiranagar, Koramangala, Bellandur, Marathahalli, Rajajinagar, and Chickpet are all heavy traffic zones (dark red lines). The paper is structured as follows: Section 2 reviews relevant literature to contextualize the research, Section 3 details the methodologies and implementation strategies adopted, and the final section discusses the results and presents the main conclusions. This structured approach aims to contribute valuable insights toward mitigating traffic congestion and improving urban mobility in Bengaluru.

2. Related Work

Detecting and anticipating traffic congestion is the primary goal for enhancing the transportation network. The deep learning application dealing with traffic congestion detection and prediction in reinforcement learning, classification of congestion, variable sign prediction, and recurring and non-recurring traffic congestion achieved an accuracy ranging from 80% to 83%. Some of the issues faced by this work include identifying the state-of-the-art model, quantifying the traffic variable, varying prediction horizon lengths, and measuring performance [1].

Figure 1. Heavy traffic (dark red spot) in Bengaluru cities

For urban planning, solving the traffic flow problem is critical. This research provides a traffic flow prediction method based on graph convolution and LSTM network models in reinforcement learning. Reinforcement Learning (RL) is a machine learning technique that relies on agents and environments [2]. The intelligent transportation system improves traffic congestion by providing emergency alerts and traffic information; the system also recommends machine learning approaches such as feedforward neural networks and radial basis function neural networks for traffic flow prediction. The FFNN and RBFNN are prediction schemes that use average waiting time, street pairs, and days of the week. Vehicle moments include hours, holidays, and seasonal pricing. The FFNN approach produces predictions with an accuracy of 97.6% [3].

Utilizing sophisticated information from the traveler system, intelligent transportation systems assist individuals in making sensible travel arrangements. In this research, a novel way to design a congestion matrix on area traffic utilizing relative positions is presented. Next, the convolutional long short-term network employs support vector machines (SVR), random forests (RF), long short-term memory (LSTM), linear regression (LR), and autoregressive integrated moving averages (ARIMA) to anticipate traffic congestion in any area [4]. In urban areas, traffic congestion is steadily growing, posing serious problems for a rising number of people and causing time wastage. The author offers a sophisticated traffic management system that uses hybrid Xception support vector machines to predict short-term traffic congestion and classifies traffic using convolution and ReLU based on Google Maps comprised snapshots of Bangalore, and the accuracy of the result achieved 97.16% [5].

The analysis and prediction of urban traffic for effective intelligent transportation systems, as well as the development of a framework to support local decision-making. The author presented a Faster R-CNN model for generating vehicle counts and measuring traffic conditions, as well as investigating the evaluation metrics and performance of statistical-based models (SARIMAX), RF, and deep learning models (LSTM) [6]. The traffic flow problem is critical for urban planning and administration in today's globe, as the population is steadily expanding. Consider the urban traffic network and present a traffic flow prediction approach for smart cities using GCN, LSTM, and reinforcement learning [7].

The continued development of urban population has resulted in traffic congestion, which has an impact on life, time, safety, and air quality. The incorporation of traffic congestion prediction using a pattern is critical. The author presents a machine learning technique for predicting traffic congestion, selecting the best way for predicting traffic using an ensemble tree-based algorithm, and comparing deep learning methods [8]. With the world's large population, accidents are becoming more common, as are deviant human acts such as stealing, aggression, and traffic accidents. This study uses CNNs to detect aberrant activity in films acquired by video traffic surveillance cameras (VTSC). This study effectively detected traffic accidents in the traffic monitoring system with an accuracy of 82% [9].

Road safety, air quality, commute time, and life quality are all negatively impacted by traffic congestion, which is a persistent problem as the metropolitan population grows. Research on traffic congestion prediction for the development of intelligent transportation systems included enhanced Internet of Things sensor technology, machine learning, and artificial intelligence. Relative and absolute assessment metrics from classification and regression techniques are discussed using a variety of TCP approaches [10]. The problem of traffic flow estimate is presented in this study utilizing the faster R-CNN model [11] to categorize vehicles by direction and count them based on the data.

With the world's population growing rapidly, traffic congestion is a major issue that contributes to increasing accident rates, fuel consumption, air pollution, longer travel times, and health problems. This research problem may evolve as traffic prediction improves. In order to address traffic issues, the author focuses on artificial intelligence-based traffic prediction and various data kinds [12]. Due to the population's rapid expansion and growth as well as the ongoing rise in the number of vehicles, traffic congestion in metropolitan areas has gotten worse, which affects both public safety and traffic efficiency. Using an object detection method, the author looks into emergency lane detection and traffic congestion prediction. The author predicts traffic congestion using the multi-object detection algorithm's Byte Track and the object detection model YOLOv11 [13]. The urban road network crossings have a difficulty; Yang proposes a machine vision control mode procedure to regulate traffic lights based on deep learning, employing the Yolov3 model to obtain a real-time video image of the road. Tain offers university campus vehicle recognition using the YOLOv11 model to identify vehicles on campus and improve traffic efficiency [14].

Deep learning employs traffic flow prediction [15] based on massive datasets such as traffic speed and volume to underpin deep neural networks to minimize traffic flow. This model can be used to anticipate future traffic circumstances, hence reducing congestion, optimizing traffic conditions, and improving traffic safety. Road accidents and traffic congestion are major issues in metropolitan regions [16]. Road safety has a direct impact on daily life in metropolitan areas; thus, the author develops a RF model to monitor crash rates and provide safe route recommendations to drivers in order to reduce traffic congestion and obtain 78% predictive capability.

The deep learning model-based end-to-end framework for anomaly detection is compared to the well-known LSTM network model and EVT-LSTM for real-world data sets [17]. As the number of vehicles on the road continues to rise, pollution and traffic congestion become serious problems. In order to address this issue, the author reviews recent decades and proposes the creation of an intelligent transportation system that makes use of cutting-edge technologies to analyze traffic patterns and improve decision-making for drivers [18]. Predicting traffic congestion at various times and spaces is improved by the deep learning technology [19]. The lengthy short-term model and recurrent neural networks consistently predict traffic conditions and provide notable enhancements.

Detecting abnormalities in roads, such as traffic jams and accidents, can help users manage road networks by optimizing routes, shifting traffic flows, and reducing congestion. The author recently conducted research on several histories based on traffic prediction, utilizing a deep learning model to handle traffic tasks [20]. Real-time vehicle tracking on highways, roads, and streets provides valuable data for infrastructure designers and traffic management. This study examines computer vision and advanced neural networks for object recognition and classification. The author offers picture detection and categorization using the YOLOv3 and YOLOv4 models [21].

Traffic flow forecasting is vital for smart transportation systems and traffic management. This work fully analyzes deep learning algorithms for traffic forecasting systems that use various assessment metrics [22]. This paper proposed real-time event-driven road traffic monitoring using CCTV video, accident and non-accident classification using the YOLO model, and event summarization using the DCNN model, providing 82.3% accuracy on test data, reaching 56.7% due to insufficient dataset availability [23]. Traffic congestion forecasts play an important role in future decision-making. This study focuses on traffic congestion and considers meteorological conditions, temperature, and humidity. The author presents a deep learning model and assesses it in the New Delhi traffic conditions, achieving an average RMSE of 1.12 [24, 25].

With the increasing number of vehicles on the road, traffic congestion monitoring systems have become one of the most critical components in ensuring optimal traffic flow and mobility. The vehicle and drivers require consistent and accurate real-time traffic information [26]. The approach provided to solve the traffic problem in vehicle cloud computing using IOT sensors. The distance between ultrasonic sensors and barriers using ultrasonic wave duration and speed to prevent road accidents, as acquired by sensor and camera data using image processing algorithms.

Traffic management is improved in smart cities utilizing machine learning and deep learning technologies to ease daily travel and improve productivity. However, traffic management suffers from numerous issues, such as lack of traffic flow management. Poor traffic congestion forecasting, public transportation optimization, and emergency management. This article [27] explains the disadvantages and proposes the best solution using matched learning and deep learning techniques in Traffic Management Systems (ITS).

3. Methodology

This research seeks to create a model for forecasting traffic congestion, i.e., to determine the number of vehicles stuck in traffic lights and resolve traffic difficulties. Divide the problem into subsections, such as data collection, data preparation, model creation, model training/testing and validation, and evaluation metrics. The proposed model is outlined in detail in Figure 2.

Figure 2. The proposed model of traffic congestion prediction

3.1 Data collection

The data for this study was gathered from the Kaggle platform under the "Dataset of Bangalore's Traffic" shows in Table 1 which aggregates a comprehensive range of traffic-related information from across major intersections and areas in Bangalore. The collection involved systematic recording of several key attributes: date and time, specific area and intersection names, measured traffic, levels of congestion, environmental impact metrics, status of traffic signals and prevailing weather conditions at the time of each observation. The dataset comprises 16,705 individual records, ensuring a rich and diverse sample set suitable for deep learning modelling. Standard practice in machine learning data preparation was followed: 60% of records were set aside for model training, while the remainder was split equally between validation and testing (20% each). The integration of features like weather and environmental impact alongside core traffic and signal status variables enables holistic congestion analysis, accounting not only for vehicular factors but also for external conditions that influence traffic dynamics.

Table 1. The traffic congestion dataset

Date

Area Name

Road/Intersection

Traffic Volume

2024-08-09

electron city

Hosur road

11387

2024-08-09

mg road

trinity circle

36477

2024-08-09

mg road

Anil Kumble Road

42822

2024-08-09

Yaswanthpurar

Yaswanthpurar circle

14705

Congestion Level

Environmental Impact

Traffic Signal Compliance

Weather Condition

57.34

21.52

97.89

fog

100

122.96

85.32

cloudy

100

135.64

89.58

rain

77.73

79.41

80.77

windy

(a)

(b)

Figure 3. (a) Traffic volume across the city; (b) Traffic congestion and average speed of the vehicle

Figure 4. The number of vehicles based on the weather conditions

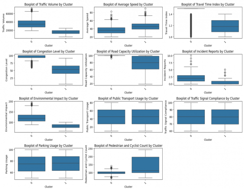
Figure 5. Cluster-based traffic volumes, speeds, congestion levels, incidents, environmental impacts, and traffic signal compliance

Figures 3(a) and (b) present traffic volume across intersection roads in Bangalore city, showing traffic volumes in different colors (yellow shows the highest number of vehicles on roads, and blue shows the lowest traffic volume). The other side showed the congestion level with the average speed of vehicles. The traffic congestion was the main problem in the cities that showed weather conditions (Figure 4). The different levels of traffic congestion, vehicle speed, and weather conditions are shown in Figure 5.

3.2 Data preprocessing

The collected input data was subjected to preprocessing procedures in order to prepare it for analysis. Preprocessing data can be used to enhance the quality and consistency of input data by cleaning, normalizing, and inserting missing information.

3.3 Model deployment

The following part will cover appropriate deep learning models for traffic congestion predictions, such as CNN, SVR, and LSTM are as follows.

3.3.1 Convolutional neural networks (CNNs)

CNN is a subset of deep learning algorithms that is effectively analyzes and extracting feature data. The CNN automatically extracts features from input data, making suitable tasks and achieving specialized layers like convolution, pooling, and fully connected layers. The convolutional layers, this layer, filter the input data from the dataset and extract the features up to n number of blocks like matrix format. The pooling layer reduces the dimensions and helps to make the data robust and varied. The fully connected layers take the output data from convolutional and pooling layers and classify the final mapping output (Figure 6). The CNN model is a more suitable algorithm for extracting the features, efficiency, robustness, and versatility. The CNNs with convolution, ReLU, pooling, and fully connected layers work well for classification and estimation tasks that perform in pre-trained models and provide better generalization via fine-tuning.

Figure 6. The architecture of CNN

The data can be divided into the convolutional blocks, which are a specialized format of one-dimensional convolutional blocks. The input data have 128 parameters, 6208 data for one-dimensional convolutional block arrays, and 8256 dense blocks. The number of epochs shown (Table 2) below is for 1, 25, and 50 layers to calculate the loss and validation of Mean Absolute Error (MAE).

Table 2. The number of epochs of MAE loss and validation

No. of Epoch

Loss

MAE

VAL_Loss

VAL_MAE

1

87.86

26.29

12.06

87.06

25

20.83

11.33

20.84

11.41

50

59.74

6.024

62.27

6.179

3.3.2 Support vector regression (SVR)

SVR is a supervised machine learning technique used for classification and regression. It seeks to identify the optimal border, known as a hyperplane, that divides distinct classes in traffic data. The primary purpose of SVR is to maximize the margin between two classes. The bigger the margin, the better the model performs on new and previously unseen data.

(a)

(b)

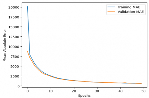
Figure 7. (a) Comparison of training and validation of MAE; (b) Comparison of training and validation of mean squared error

3.4 Model training, testing, and validation

The traffic congestion prediction uses convolutional neural networks, which divide the data into three parts: training, testing, and validation. In training, each layer input takes the place of one-dimensional, max pooling, flatten, and dense layers. The output layer divides the shapes into multiple parameters like 2, 4, 6, 12, 32, 64, and 128. The number of parameters can be Conv1D-6208 and Dense-8256. Figures 7(a) and (b) show the comparison of MAE and Mean Square Error (MSE) of loss and training and validation graphs.

3.5 Model evaluation and result discussions

To calculate the evaluation metrics in traffic congestion forecasting in the formulas mentioned below, find the MAE, Root Mean Square Error (RMSE), MSE, and R-squared error (R2).

3.5.1 Evaluation metrics

a) Mean Absolute Error (MAE)

MAE computes the average difference between calculated and actual values. It is also known as scale-dependent accuracy since it calculates error in observations made on the same scale that is used to predict the deep learning model's correctness.

$M A E=\frac{1}{N} \sum_{i=N}^N\left|x_i-y_i\right|$           (1)

b) Root Mean Square Error (RMSE)

RMSE is the average difference between a statistical model's anticipated and actual values.

$R M S E=\frac{1}{N} \sum_{i=N}^N\left|x_i-y_i\right|$               (2)

c) Mean Squared Error (MSE)

Mean Squared Error is a key concept in statistics and machine learning that evaluates the accuracy of predictive models. It is a parameter used to calculate the accuracy of the model. It calculates the average squared difference between anticipated and actual values in a dataset.

$M S E=\frac{1}{N} \sum_{i=N}^N\left|x_i-y_i\right|$               (3)

d) R-squared error (R2)

The R-squared formula, also known as the coefficient of determination, measures how much a dependent variable changes when the independent variable changes.

$R^2=1-\frac{\sum_{i=N}^N\left(\hat{y}_i-y_i\right)^2}{\sum_{i=N}^N\left(\hat{y}_i-y_i\right)^2}$                (4)

where, N is the length of the data, xi is the measured data, and yi is the predicted data of the ith observation.

3.5.2 LSTM model evaluation

The LSTM model is a deep learning model that captures long-term dependencies in sequential data. The LSTM model uses a memory cell that contains input and output information related to the traffic congestion system. The model, which is retained, updated, and output each time, will show the result in Table 3 to calculate the evaluation metrics.

Table 3. Apply the LSTM model evaluation

Evaluation Metric

Percentage

MSE

62.27

MAE

6.17

RMSE

7.89

R-Squared (R²)

0.99

3.5.3 Tuned LSTM model evaluation

The tuned LSTM refers to an LSTM model whose performance has been optimized through hyperparameter tuning and potentially data processing. The key parameters of a tuned LSTM model are sequential data, number of layers of input and output, batch size, and number of epochs. The evaluation metrics can be calculated as shown in Table 4.

Table 4. Apply the tuned LSTM model evaluation

Evaluation Metric

Percentage

MAE

26.08

MSE

81.89

-3.88

3.5.4 Comparison of evaluation metrics

Table 5 shows the comparison between the LSTM and tuned LSTM models with the evaluation metrics.

Table 5. Comparison of SVR, LSTM, HA, and CNN models

Models

Evaluation Metrics

Output

SVR + HA

MAE

89.31

MSE

12.18

02.73

SVR + LSTM

MAE

50.06

MSE

43.50

07.40

HA + LSTM

MAE

42.61

MSE

29.14

08.26

SVR + LSTM + HA

MAE

58.70

MSE

55.04

0.67

CNN

MAE

61.79

MSE

62.27

0.99

The traffic prediction observed in Figures 8(a) and (b) is the comparison over the hour of the day and time, which is predicted by the time ranges of the support vector machine and the long-term shortest model and both. Figure 9 demonstrates that the identified route experiences normal traffic conditions, indicating it is the most efficient path.

(a)

(b)

Figure 8. (a) Traffic prediction comparison over hour of the day; (b) Traffic prediction comparison over a sample time range

Figure 9. The map identified the route as non-congested

The overall performance of the evaluation metrics, as shown in Table 6, for the SVR, LSTM, and HA are 74.48%, 58.83%, and 66.93%, respectively.

Table 6. The evaluation results of SVR, LSTM, HA, and CNN models

Models

Evaluation Metrics

Output

SVR

RMSE

12.77

MAE

10.09

R2

0.02

HA

RMSE

10.49

MAE

84.52

R2

0.34

LSTM

RMSE

30.00

MAE

23.44

R2

0.94

CNN

RMSE

98.44

MAE

77.09

R2

0.99

SVR + HA

RMSE

11.03

MAE

89.31

R2

02.73

SVR + LSTM

RMSE

66.33

MAE

50.23

R2

0.73

HA + LSTM

RMSE

54.36

MAE

42.85

R2

0.82

SVR + LSTM + HA

RMSE

74.48

MAE

58.83

R2

66.93

Traffic Score = 27.98%, Route Type: Non-Congestion (normal)

4. Conclusions

This study demonstrates the application of deep learning models including convolutional neural networks (CNNs), long short-term memory (LSTM) networks, and support vector regression (SVR) for effective traffic congestion prediction identification in Bengaluru as shown in map. A comparative evaluation shows the CNN-based approach achieves the highest predictive accuracy (74.48% by RMSE), outperforming LSTM (58.83%) and SVR (66.93%) in modelling traffic congestion using real urban data. The research validates these models through robust statistical metrics, including RMSE, MSE, and R², ensuring transparent and meaningful assessment of prediction performance. The integration with high-availability systems underscores the model’s practical readiness for real-time deployment, providing congestion maps and best-route recommendations for end users. The currently identified the limitations primarily rely on conventional traffic data sources (e.g., sensors, basic crowd-sourced inputs) rather than rich real-time video or image feeds, possibly limiting predictive precision. Geographical coverage and data diversity may be restricted, as the focus is mainly on specific routes like KR Market to Shivajinagar; thus, performance in more complex or varied traffic scenarios remains less explored. The study’s predictive accuracies indicate that while performance is promising, there is considerable room for improvement, particularly for real-time and adaptive congestion monitoring.

The future work will explore the expanding data sources to include real-time image and video feeds using advanced computer vision techniques to capture more dynamic traffic patterns. Enhanced deep learning architectures, such as hybrid models combining CNNs and LSTMs or novel transformer-based networks, will be explored to boost predictive performance and generalizability. Integration with city-wide intelligent traffic management systems to enable automated interventions, such as dynamic signal control and predictive rerouting. Rigorous evaluation across varied temporal and spatial scales, incorporating edge-computing frameworks to ensure both accuracy and high availability for live city deployments. Collaborative work with urban planners and authorities to translate model recommendations into practical strategies that improve urban mobility and reduce congestion city-wide.

Acknowledgment

This research has been supported by the P E T research center, P E S College of Engineering, Mandya, Karnataka and the VVIET research center, Vidya Vikas Institute of Engineering and Technology, Mysuru, Karnataka. I am deeply grateful to my guides, Dr. Anitha M. L. and Dr. Veena M. N., whose scholarly insights and unwavering support shaped the core of this research.

  References

[1] Kumar, N., Raubal, M. (2021). Applications of deep learning in congestion detection, prediction and alleviation: A survey. Transportation Research Part C: Emerging Technologies, 133: 103432. https://doi.org/10.1016/j.trc.2021.103432

[2] Xing, H., Chen, A., Zhang, X. (2023). RL-GCN: Traffic flow prediction based on graph convolution and reinforcement learning for smart cities. Displays, 80: 102513. https://doi.org/10.1016/j.displa.2023.102513

[3] Fahs, W., Chbib, F., Rammal, A., Khatoun, R., El Attar, A., Zaytoun, I., Hachem, J. (2023). Traffic congestion prediction based on multivariate modelling and neural networks regressions. Procedia Computer Science, 220: 202-209. https://doi.org/10.1016/j.procs.2023.03.028

[4] Bai, M., Lin, Y., Ma, M., Wang, P., Duan, L. (2021). PrePCT: Traffic congestion prediction in smart cities with relative position congestion tensor. Neurocomputing, 444: 147-157. https://doi.org/10.1016/j.neucom.2020.08.075

[5] Anjaneyulu, M., Kubendiran, M. (2023). Short-term traffic congestion prediction using hybrid deep learning technique. Sustainability, 15(1): 74. https://doi.org/10.3390/su15010074

[6] Peppa, M.V., Komar, T., Xiao, W., James, P., Robson, C., Xing, J., Barr, S. (2021). Towards an end-to-end framework of CCTV-based urban traffic volume detection and prediction. Sensors, 21(2): 629. https://doi.org/10.3390/s21020629 

[7] Tsalikidis, N., Mystakidis, A., Koukaras, P., Ivaškevičius, M., Morkūnaitė, L., Ioannidis, D., Fokaides, P.A., Tjortjis, C., Tzovaras, D. (2024). Urban traffic congestion prediction: A multi-step approach utilizing sensor data and weather information. Smart Cities, 7(1): 233-253. https://doi.org/10.3390/smartcities7010010

[8] Khan, S.W., Hafeez, Q., Khalid, M.I., Alroobaea, R., Hussain, S., Iqbal, J., Almotiri, J., Ullah, S.S. (2022). Anomaly detection in traffic surveillance videos using deep learning. Sensors, 22(17): 6563. https://doi.org/10.3390/s22176563

[9] Mystakidis, A., Koukaras, P., Tjortjis, C. (2025). Advances in traffic congestion prediction: An overview of emerging techniques and methods. Smart Cities, 8(1): 25. https://doi.org/10.3390/smartcities8010025

[10] Fedorov, A., Nikolskaia, K., Ivanov, S., Shepelev, V., Minbaleev, A. (2019). Traffic flow estimation with data from a video surveillance camera. Journal of Big Data, 6(1): 73. https://doi.org/10.1186/s40537-019-0234-z 

[11] Shaygan, M., Meese, C., Li, W., Zhao, X.G., Nejad, M. (2022). Traffic prediction using artificial intelligence: Review of recent advances and emerging opportunities. Transportation Research Part C: Emerging Technologies, 145: 103921. https://doi.org/10.1016/j.trc.2022.103921

[12] Zhang, C., Cheng, H., Wu, R., Ren, B., Zhu, Y., Peng, N. (2024). Development of a traffic congestion prediction and emergency lane development strategy based on object detection algorithms. Sustainability, 16(23): 10232. https://doi.org/10.3390/su162310232

[13] Yang, Y. (2021). Deep learning-based detection for traffic control. In ICAAI '21: Proceedings of the 5th International Conference on Advances in Artificial Intelligence, Virtual Event, United Kingdom, pp. 176-182. https://doi.org/10.1145/3505711.3505736

[14] Alzughaibi, A., Karim, F.K., Darwish, J.A. (2024). Driven traffic flow prediction in smart cities using hunter-prey optimization with hybrid deep learning models. Alexandria Engineering Journal, 107: 625-633. https://doi.org/10.1016/j.aej.2024.08.083

[15] Tian, S.Q., Lu, Y.X., Jiang, F., Zhan, C.R., Huang, C.L. (2024). Improved campus vehicle detection method based on YOLOv11 and grayscale projection-based electronic image stabilization algorithm. Traitement du Signal, 41(6): 3335-3341. https://doi.org/10.18280/ts.410649

[16] Berhanu, Y., Schröder, D., Wodajo, B.T., Alemayehu, E. (2024). Machine learning for predictions of road traffic accidents and spatial network analysis for safe routing on accident and congestion-prone road networks. Results in Engineering, 23: 102737. https://doi.org/10.1016/j.rineng.2024.102737

[17] Davis, N., Raina, G., Jagannathan, K. (2020). A framework for end-to-end deep learning-based anomaly detection in transportation networks. Transportation Research Interdisciplinary Perspectives, 5: 100112. https://doi.org/10.1016/j.trip.2020.100112

[18] Gomes, B., Coelho, J., Aidos, H. (2023). A survey on traffic flow prediction and classification. Intelligent Systems with Applications, 20: 200268. https://doi.org/10.1016/j.iswa.2023.200268

[19] Mihaita, A.S., Li, H., Rizoiu, M.A. (2020). Traffic congestion anomaly detection and prediction using deep learning. arXiv preprint arXiv:2006.13215. https://doi.org/10.48550/arXiv.2006.13215

[20] Michielsen, A., Rahimiasl, M., Vanderhoydonc, Y., Mercelis, S. (2024). History-based Road traffic anomaly detection using deep learning and real-world data. In VEHITS 2024: Proceedings of the 10th International Conference on Vehicle Technology and Intelligent Transport Systems, Angers, France, pp. 249-256. https://doi.org/10.5220/0012565500003702

[21] Fernández, J., Cañas, J.M., Fernández, V., Paniego, S. (2021). Robust real‐time traffic surveillance with deep learning. Computational Intelligence and Neuroscience, 2021(1): 4632353. https://doi.org/10.1155/2021/4632353

[22] Afandizadeh, S., Abdolahi, S., Mirzahossein, H. (2024). Deep learning algorithms for traffic forecasting: A comprehensive review and comparison with classical ones. Journal of Advanced Transportation, 2024(1): 9981657. https://doi.org/10.1155/2024/9981657

[23] Tahir, M., Qiao, Y., Kanwal, N., Lee, B., Asghar, M.N. (2023). Real-time event-driven road traffic monitoring system using CCTV video analytics. IEEE Access, 11: 139097-139111. https://doi.org/10.1109/ACCESS.2023.3340144

[24] Yasir, R.M., Nower, N., Shoyaib, M. (2022). Traffic congestion prediction using machine learning techniques. arXiv preprint arXiv:2206.10983. https://doi.org/10.48550/arXiv.2206.10983

[25] Kheder, M.Q., Mohammed, A.A. (2024). Real-time traffic monitoring system using IoT-aided robotics and deep learning techniques. Kuwait Journal of Science, 51(1): 100153. https://doi.org/10.1016/j.kjs.2023.10.017

[26] Almukhalfi, H., Noor, A., Noor, T.H. (2024). Traffic management approaches using machine learning and deep learning techniques: A survey. Engineering Applications of Artificial Intelligence, 133(Part B): 108147. https://doi.org/10.1016/j.engappai.2024.108147

[27] Kumar, K.D., Anitha, M.L., Veena, M.N. (2024). Intelligent predictive model for road traffic congestion and monitoring system: A systematic survey. International Journal on Computational Engineering, 1(2): 38-42. https://doi.org/10.62527/comien.1.2.8