Sustainable Environments' Synthetic Characteristics that Prevent the Spread of Urban Violence in Cities

Sustainable Environments' Synthetic Characteristics that Prevent the Spread of Urban Violence in Cities

Ameera Jaleel Ahmed

Architecture Department, Faculty of Engineering, University of Babylon, Hillah 51001, Iraq

Corresponding Author Email: 
eng.ameera.jaleel@uobabylon.edu.iq
Page: 
1963-1970
|
DOI: 
https://doi.org/10.18280/ijsdp.200514
Received: 
9 April 2025
|
Revised: 
17 May 2025
|
Accepted: 
26 May 2025
|
Available online: 
31 May 2025
| Citation

© 2025 The author. This article is published by IIETA and is licensed under the CC BY 4.0 license (http://creativecommons.org/licenses/by/4.0/).

OPEN ACCESS

Abstract: 

The establishment of sustainable ecosystems for community safety and well-being has garnered international attention recently. Sociological research has focused on the causes of urban violence patterns, whereas architectural studies have emphasized the characteristics of spatial organization and sustainable urban environments, and examined the attributes of spatial organization. To establish sustainable urban environments, it is essential to analyze the characteristics of spatial organization and their correlation with urban violence, a phenomenon more widespread both locally and globally. The research is an attempt to determine the relationship between the synthetic characteristics of the spatial organization of the sustainable environment and to prevention of the growth of urban violence, and the possibility of developing urban design solutions to achieve sustainable environments. The research problem is the need for knowledge of how to evaluate the role of the synthetic characteristics (such as Connectivity, control, and Integration) in limiting the spread of urban violence in urban environments to sustainable environments. A systematic methodology involving the collection of data from credible security sources, official media, and an online survey. Ten residential neighborhoods were selected in the city of Al-Hillah. The information was included in the city master plan, utilizing the arithmetic technique (space syntax) via ArcView GIS, DepthMap, and Excel software. The results indicate a correlation between urban violence and synthetic attributes. Furthermore, it demonstrated that connectivity is the most significant of these characteristics. To attain sustainable environments, it is necessary to reduce disturbances and permeability between axial spaces and their surroundings. Furthermore, it enhances the spatial choice to all nearby areas while simultaneously diminishing the levels of relative asymmetry indicators in public spaces, hence facilitating user occupancy.

Keywords: 

synthetic characteristics, sustainable environments, urban violence, connectivity, control, integration

1. Introduction

There has been increased interest recently in the sustainability of urban environments [1], achieving well-being, and maximizing economic, environmental, and social benefits. Along with environmental and economic aspects, social sustainability is a crucial component of urban sustainability; therefore, a lack of social sustainability in urban settings leads to some social issues, including urban violence [2]. An important aspect of the interaction between people and the urban environment is safety. Sustainability is dependent on security. Cities have seen an annual increase in crime, particularly in public areas. One major barrier to a city's economic and spatial development is its high crime rate. The study [3] revealed shortcomings in the environmental design of urban public spaces as well as the safety and security these designs offer. From the standpoint of urban planners, safety and security are linked to environmental design elements (accessibility and legibility), which have not had the intended effect on cities and should be re-examined. He underlined that people are encouraged to commit crimes by the way cities are laid out. The result of a society marked by social exclusion and inequality is urban violence. It is an example of how social relationships within families, schools, and neighborhoods are distorted. In terms of its players, relative levels, and expressions, urban violence is contextually related. Youth gangs are a prevalent phenomenon in South Africa and Latin America, and they are becoming more prevalent in many impoverished urban areas. According to Winton's [4] 2004 classification of violence into three categories—political, economic, and social—crime rates in Brazil's low-income neighborhoods are higher, at 177, 59, and 38 per 100,000, respectively [4]. Compared to other regions, homicide rates indicate that violence has become a common occurrence among the impoverished in Latin American cities. Between the beginning of the 1980s and the middle of the 1990s, the homicide rate in Latin America rose by 50%. Latin America had the highest estimated homicide rate of any region in 2000, at 27.5 murders per 100,000 people, compared to the global average of five murders per 100,000. Globalization, poverty, and urbanization have all been connected to urban violence. Moser and McIlwaine [5] and Ojo [6] demonstrated the significance of human security, which is embodied by being "free from want, fear, and indignity," in advancing sustainability. The five principles must be embraced and applied collaboratively by settlements that choose to achieve sustainable development through a human security strategy. People-centered, comprehensive, context-specific, prevention-focused, protection-oriented, and empowerment are a few examples. Yilmaz and Yildiz [7] focused on the importance of occupational health and safety as a key issue within the scope of social sustainability, which did not clearly explain the relationship between social sustainability and occupational health and safety in the construction sector during the design stage. The study concluded that neither environmental nor economic sustainability can be achieved without social sustainability and that occupational health and safety are the two most important elements for ensuring social sustainability in the construction sector. Social sustainability primarily aims to provide occupational health and safety for a sustainable construction sector. It is believed that sustainability goals can only become more realistic by working from this point, and that work will be achieved more collaboratively.

In Iraq, security and safety have declined in general, and in Hillah in particular, since 2003. Many forms of urban violence have increased, creating a sense of insecurity among city citizens, and Unsafe environments have been created that do not meet the requirements of social sustainability and well-being. On the other hand, little research has been conducted on the structural characteristics of these environments and their relationship to urban violence. By reviewing a group of previous literature, and despite the importance of security in the urban environment as an indicator of social sustainability, we find that there is a scarcity of studies that discuss the relationship between the synthetic characteristics of sustainable environments and the spread of urban violence and the loss of security in the urban environment.

This paper aims to evaluate the shortcomings in the design of the urban spatial system that lead to the creation of an environment conducive to crime and exposure to threats. The study distinguished between four categories of urban violence: violence against human life, health, sexual freedom, and immunity; thefts; and intentional damage or destruction of property. In the city, this resulted in a lack of safety and security. It was necessary to study the parallel phenomena contributing to the growth and diversity of urban violence within society.

The research problem was determined by a need for knowledge of how to evaluate the role of the synthetic characteristics of sustainable environments such as (Connectivity, control, and Integration) in limiting the spread of urban violence in urban environments. The hypothesis suggests that the limitation of urban violence in sustainable environments is influenced by synthetic characteristics such as connectivity, control, and integration Figure 1. The aim is to detect and identify the holistic and topical synthetic characteristics of spatial organization (Connectivity, control, and Integration) that contribute to enhancing Security and safety in sustainable environments. So, inductive methodology is adopted within two axes: The axis of theory: constructing a comprehensive theoretical framework on synthetic characteristics of the spatial organization, and urban violence patterns through analysis of previous literature, establishing procedural definitions. In addition to acquiring measuring indicators for independent and dependent variables (violence of urbanizations, special organization synthetic). Also, gather information from reliable security sources, and official means of announcing violence of urbanization, an online survey for the residents, and then distributing the urban violence on the city plan. The axis of practicality: It will be explained and detailed in the methodology paragraph.

Figure 1. Research conceptual model

2. Literature Review and Definition

A group of Sociologists believe that urbanization is linked to violence, and confirmed that cities appear to be essential in lowering murder rates [8, 9], so there are theories of violence formulated in urban terms. Such as Social Disorganization Theory and Gun Violence, and Crime Pattern Theory and the Characteristics of Micro-places [10].

The term "urban" refers to a variety of situations, including the physical surroundings [11], a sociological and existential state known as the urban "way of life". So urban violence is a reference to the location (the container) in which violent incidents would take place, materializes onto the urban space by (re)producing violence in both its commonly known forms (direct, structural, cultural), But the social sciences and geography have neglected the role of social-spatial interactions in promoting "violence" [11]. Sinkienė et al. [12] discussed safety and security are crucial prerequisites for urban development and are among the most significant factors contributing to a city's appeal, and they classify violence of urbanization patterns in the urban environment violence of urbanizations:- against human life, against human health, human sexual freedom and immunity, theft of motor vehicles, theft from a car, other thefts robbery, intentional damage to or destruction of property, cruel animal treatment damage to streets, their buildings and installations), (small-scale hooliganism, hooliganism by juvenile offenders, illegal shooting from a gun, drinking alcohol in public places or an apparition there while being drunk, prostitution, or repayable usage of the services [12]. The phrase "violence of urbanization" describes how dangerous cities are due to the dangerous inhabitants that reside there in risky districts and make life intolerable for others [13]. The study concentrated on social violence associated with urban criminality (such as extreme poverty, greater death rates in suburban regions, and a lack of public representation of lower-class people) and cultural violence (such as bias against Native Americans, Blacks, and Minorities as well as patriarchal beliefs that minimize the worth of women in society) [13].

Garcia-Cervantes [14] defined the patterns of urban violence, its spread, and its relationship to urban space. It also analyzes the interconnectedness of violence, its various manifestations, and the risk factors that contribute to its spread, with an emphasis on urban space. He defined "Violence is defined as ‘the intentional use of force or power with a predetermined end by which one or more persons cause another person or persons to suffer physical, mental, or sexual injury, harm their freedom of movement, or die.’", and comprehended and categorized based on several elements, such as the kinds or forms of violence, the severity of their effects, or determining the victims or the offenders of violent crimes, among other things. He determines the risk factors from the socioenvironmental for the genesis of violence at three agency levels [14]. As follows:-

  • Society:- It includes(economic inequalities and poverty anomie, high crime and violence levels, transnational and national drug tread)
  •  Urban:- It includes (rapid sprawl and social change, disorganized urban development, privatization of urban space, large infrastructure projects)
  • Community/ individual:- It includes (youth unemployment, cultural norms that support or tolerate violence, child abuse + psychological I disorders, and poor parenting), so the theoretical framework indicated that the urban aspect impacts violence from the society to the Community/ individual level to down levels, in contrast, the violence at the Community/ individual level impact on the up levels.

Corantin [15] discussed the structural urban violence caused by the harsh urban environment's elements, such as pollution, noise, and insecurity. Adorno and Alvarado [16] discussed another type that predatory violence and vandalism as a societal phenomenon brought on by emotions of unease and a loss of social safety as a result of having their homes and workplaces broken into and taken by strangers. Alvarado [17] discussed another type that dysfunctional violence that is connected to inadequacies in the mind and body. So urbanization can exacerbate various forms of violence, such as (Increased crime rates, Social Disparities [18], Challenges for Governance [19], Environmental Stress). Many individuals live with urban violence and instability daily, all around the world, especially in the context of Iraqi cities. Garcia-Cervantes [14] discussed the proliferation of violence of urbanization in Latin America, a region hindered by a development barrier. Presents an analytical framework for organizing and comprehending the various risk factors that contribute to the occurrence of violence in urban settings. The framework discussed the urban planning processes consisting of two directions from (community \individual, urban, society) is being violence on urban space, whereas directions from (society, urban, community \individual) is being urban space impact on violence. He determined the Socio-environmental risk factors for the emergence of violence (society, urban, community \individual). Urban violence, therefore, is a multifaceted form of violence. Rather than being defined in a set way, it appears as a range of "violence." Additionally, he thinks that socio-spatial patterns of urban development may be produced by spatial inequality (Socio-spatial inequalities) and that these patterns may draw in or have an impact on certain manifestations of violence (violence of urbanization), as well as the fact that urban changes can be perceived as both a cause and an effect of urban violence and insecurity.

Although theories from social sciences dominate this field of research [12], researchers discussed the significance attributed to urban planners, the imperative to attain an elevated degree of protection for inhabitants of cities, and the assertion that exclusively a comprehensive approach incorporating diverse methodologies to confront criminal activities can yield favorable outcomes. So they adopted empirical investigation methodology undertaken in the open public space of Vilnius to ascertain the open public spaces that are particularly susceptible to criminal activity, employing the theoretical framework of space syntax. Faintly, the research finding:-

  • The degree of security in an urban area, particularly in its accessible public areas, holds considerable significance in shaping the overall standard of living for the inhabitants of a city.
  • The majority of violence of urbanization occurs on the main streets, which have varying degrees of social attractiveness, are frequently used by potential victims as the quickest route to the objects, and enable criminals to flee quickly because these streets and territories are both somewhat remote and close to other streets [12].

The study discussed how neighborhood commercial streets in Malaysia affect people's perceptions of safety. The analysis used space syntax to measure the syntactical variables on forty commercial streets, and surveys were given out to gather information regarding factors related to legibility that impact pedestrians' perceptions of safety. The results demonstrate a high correlation between street connectedness and local integration, two syntactical factors, and legibility. Additionally, spatial configuration affects legibility and, consequently, pedestrians' sense of safety [20]. The study defined the phenomenon of Urban Violence and discussed Social causes of the phenomenon [13] (chaotic urbanization, lack of social cohesion). In urban environments inhabited by post-conflict societies, and in non-war or peaceful environments (Such as Brazil, Mexico, and South Africa). International statistics show that 14% of deaths in areas of armed conflict and 8% are intentional and unintentional murders. One of the causes of the phenomenon is population growth and migration, which bring with them high levels of poverty, social inequality, and chaotic urbanization. These factors contribute to increased crime rates, cultural violence against ethnic groups, and state violence against poor populations. Low-income urban areas are where daily violence is more prevalent, and in these areas, some social groups are more active and at risk. Poverty also makes people commit daily violations of their basic human needs [21].

Finally, the research identified three forms of urbanization violence with 14TH (A1-A10) Acts as factors adopted:

  • G1:- Urban violence related to direct challenges for humans (crime rates), such as:- against human life, Theft of motor vehicles, Theft from a car, Other thefts, Robbery, and illegal shooting from a gun.
  • G2:- Urban violence related to direct challenges for governance, such as:- Prostitution or repayable usage of the services, Intentional damage to or destruction of property, Drinking alcohol in public places or an apparition there while being drunk, against human sexual freedom and immunity, Small-scale hooliganism), Hooliganism by juvenile offenders.
  • G3:- Urban violence related to environmental stress, such as:- against human health, damage to streets, their buildings and installations, cruel animal treatment.
3. Spatial Organization Concept

To understand the concept of the synthetic characteristics of spatial organization, A group of previous kinds of literature was reviewed that discussed and analyzed these characteristics. We will be concentrating on space syntactic theory in our current study. The theory of space syntax, which was introduced by Hillier and Harson in 1984 and published in the book The Social Logic of Space towards the close of the 1980s, will be the main subject of our investigation. The theory concentrated on the connection between social variables and spatial organization features. The goal of the project was to create a framework for characterizing and evaluating spatial organization features so that these factors might be connected. Based on the morphological trend of the structural relationships of various space systems, the theory is oriented. through two structural properties (SymmetryAsymmetry and) DistributednessNon Distributedness [22, 23]. The research will examine synthetic characteristics of spatial organization, such as Connectivity, control, and integration of spatial organization as independent factors in research, and their relationship with urban violence and its diversity. Through space syntax theory, numerical weights are determined for the space structure, which expresses the strength of the relative relationships of the structure’s parts. According to three indicators as follows:

3.1 Ring connectivity

An index to measure the phenomenon of distributedness and permeability between axial space and its surroundings. It is measured by the number of rings that the axial space shares within the axial diagram of the system. The more they increase, the more permeability the space has, and the more it is distributed.

3.2 Integration

Degree Regulated Integration (RRA): The resulting values are around the number (1), the values less than (1) indicate more integrated spaces, and values greater than (1) indicate more isolated spaces [22]. It is calculated by Eq. (1)

$R R A=\frac{R A}{D K}$     (1)

where,

RRA = Modified Relative Asymmetry

RA = Relative Asymmetry of Space

DK = Degree of Relative Asymmetry of the Fundamental Space of the Depth-Intrinsic Diagram Shape

3.3 Control

This property refers to the degree of local choice that space provides to all spaces immediately adjacent to it [22], and is calculated mathematically by Eq. (2). The values of local control range around the number (1), where values that exceed the number (1) indicate spaces that have high control, and values that are less than (1) indicate spaces with weak control and high diffusion of space.

$E v=\sum \frac{1}{C n}$    (2)

where,

Ev = value of the local control property of the space

Cn = local correlations of each axis

4. Methodology
  • Crime indicators were extracted from previous literature and classified into three types with 14th factors, as we explained in the previous paragraphs.
  • The three groups were given weights according to their danger to human life, as follows:-

G1:- Direct challenges for humans (crime rates), Weighting 10

G2:- Challenges for Governance Weighting 5

G3:- Environmental Stress Weighting 3

  • An online survey was designed for city residents to identify crime patterns and frequency in their neighborhoods, regarding urban violence not documented in security sources. Then these patterns of urban violence were put into the master plan (Figure 2). To identify residential neighborhoods that have experienced various patterns of urban violence. Ten residential neighborhoods were selected, characterized by the diversity of urban violence within their spatial organization.

Figure 2. Urban violence patterns installed on AL_AL_Hillahh city master plan

  • Documented crime data was collected from reliable sources and the city's official announcement (Regarding urban violence documented in the official security departments and official media of the city).
  • The axial spaces within the system were analyzed using the programs (ArcView GIS) and DepthMap as well as the Excel program.
  • Weights were assigned to different types of urban violence in neighborhoods, and ten residential neighborhoods with diverse violence patterns were
  • Selected for analysis. The study examined these ten neighborhoods in Al-Hillah, focusing on those with the highest recorded diversity of urban violence (Figure 3).

Figure 3. Methodology flowchart

5. Results

As shown in Table 1 and Figure 3, the spatial system was examined according to space syntactic theory, calculating connectivity, integration, and control. The correlation between spatial organization characteristics and urban violence factors was examined, giving the following results:-

  • The analysis showed a high average of direct challenges related to human violence (G1) in most samples. In contrast, connectivity values increased, as shown in Figures 4 and 5.
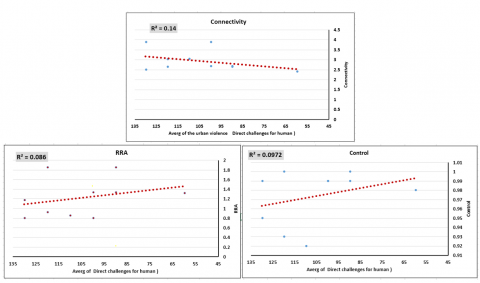
  • Linear regressions of the relationship between the research factors showed that urban violence is inversely proportional to integration (RRA) and spatial depth (RA), and the relationships are weak to medium with other features, as shown in Figure 6.
  • Urban violence related to direct challenges for humans (G1) is the most closely linked to the synthetic characteristics, as well as It increases with increasing connectivity and integration and decreases with decreasing control and spatial depth. The strongest relationships are connectivity, as shown in Figure 7.

Table 1. The urban violence type and synthetic characteristics indicators in AL-Hilla neighborhoods

Neighborhoods No.

Urban Violence Types

Average of Synthetic Characteristics

 

Average of Direct Challenges for human (Crime Rates) Weighting * 10

Average of Challenges for Governance Weighting * 5

Average of Environmental Stress Weighting *3

The Total Urban Violence Weighting

Average of the Total Urban Violence Weighting

Connectivity

Control

Integration

RRA

N1

130

75

18

223

15.93

2.51

0.95

0.74

1.17

N2

90

70

15

175

12.50

2.66

1.00

0.57

1.85

N3

60

75

9

144

10.29

2.41

0.98

0.73

1.32

N4

100

60

12

172

7.14

3.89

0.99

1.34

0.80

N5

90

0

33

123

8.79

2.68

0.99

0.78

1.33

N6

120

35

0

155

11.07

3.03

0.93

0.92

0.92

N7

100

35

18

153

10.93

2.68

0.99

0.78

1.33

N8

110

30

12

152

10.86

3.05

0.92

1.12

0.85

N9

120

55

18

193

13.79

2.66

1.00

0.57

1.85

N10

130

35

0

165

11.79

3.89

0.99

1.34

0.80

10 neighborhoods Selected

(N1) Jibran, (N2) AL-Kulj, (N3) BabAL_Mashhad, (N4) AL_ Thawra, (N5) L-Jamieayn, (N6) AL_Shaawy, (N7) AL_Mahdia, (N8) AL- Muharibin, (N9) AL-Wardia, (N10) AL- Easkariu

Figure 4. The urban violence types in AL-Hilla neighborhoods

Figure 5. The averge of synthetic characteristics in AL-Hilla neighborhoods

Figure 6. The relationship between average of the total urban violence weighting(G1,G2,G3) ,and synthetic characteristics of spatial organization

Linear regression is an analysis technique that predicts an unknown data value using a related data value. Based on a related data value the range extends from(R²≤1). When the value approaches 1, it means a stronger relationship between the variables

Figure 7. The relationship between average of the urban violence direct challenges for human weighting (G1), and synthetic characteristics of spatial organization

Linear regression is an analysis technique that predicts an unknown data value using a related data value. Based on a related data value the range extends from(R²≤1). When the value approaches 1, it means a stronger relationship between the variables

6. Discussion

The results showed that there is a relationship between urban violence and the characteristics of spatial organization (Figures 3, 4). Urban violence increases with increasing values (Connectivity and spatial depth indicators, as well as decreasing the values of (Control indicator) so the increase in the values of the synthetic characteristics (Connectivity, Relative Asymmetry, integration, and lower property values of control property; results in unsafe and unsustainable urban environments. Also, according to Figures 5 and 6, it is clear that these characteristics are sequential in their influence and as follows (connectivity, control, and integration).

Figure 8. Urban space connection (Good&Bad)

This clarifies the facility of criminal movement through urban space whose spatial depth is large and connected through several adjacent, sequential spaces, also when the space control is weak and there are no options or links to adjacent spaces. So escape ability of criminals increases when public urban spaces are connected by multiple ring links to Nearby spaces. This highlights the challenges faced by governments in controlling urban environments (Figure 8).

7. Conclusion
  1. The synthetic characteristics of spatial organization play a crucial role in the spread or determination of urban violence in urban environments, as the analysis results show that they are negatively correlated with Real Relative Asymmetry (RRA), control (Ev), connectivity and integration. So the high values of integration and connectivity, together with the poor values of control, are the causes of the urban violence in urban environments.
  2. The force of the effect of synthetic characteristics on the spread of urban violence in sustainable environments according to the sequence is (connectivity, control, and integration).
  3. To achieve safe and socially sustainable environments, the following must be achieved in the design of public urban spaces:-
  • Reducing values of Connectivity and spatial depth indicators through decreasing distributedness and permeability between axial space and its surroundings, the number of rings that the axial space shares within the axial diagram of the system. The more they increase, the more permeability the space has and the more it distributes.
  • Increase the values of the Control indicator by increasing the degree of choice that space provides to all spaces immediately adjacent to it.
  • Also reducing values of relative asymmetry indicators in public spaces to enable users to occupy them, achieve social interaction, and ensure safety in these spaces.
8. Recommendation

To achieve sustainable environments in the city, must be taken into account. The synthetic characteristics (connectivity, control, and integration), And benefit from the results of research for Urban planners should prioritize reducing axial connectivity in high-crime areas through strategic design interventions.

Acknowledgment

This work is not supported by any government or academic institution.

  References

[1] Ahmed, A.J., Jumaa, H. (2021). The role of beach sports and community participation in investigating the sustainability criteria in historic centers of AL-Hilla City. IOP Conference Series: Earth and Environmental Science, 754(1): 012016. https://doi.org/10.1088/1755-1315/754/1/012016

[2] Malmio, I. (2024). Can security be sustainable? Three perspectives on security and social sustainability: Paradox, co-production, and deconstruction. Sustainability Science, 19(2): 615-627. https://doi.org/10.1007/s11625-023-01450-w

[3] Innocent, M. (2022). Safety and security in urban public spaces as a significant component of social sustainability. Department of Public Management and Governance. https://hdl.handle.net/10210/502142.

[4] Winton, A. (2004). Urban violence: A guide to the literature. Environment and Urbanization, 16(2): 165-184. https://doi.org/10.1177/095624780401600208

[5] Moser, C.O., McIlwaine, C. (2006). Latin American urban violence as a development concern: Towards a framework for violence reduction. World Development, 34(1): 89-112. https://doi.org/10.1016/j.worlddev.2005.07.012 

[6] Ojo, A. (2022). Human safety and security for sustainable and inclusive settlements. Journal of Community Safety and Well-Being, 7(4): 178-183.‏ https://doi.org/10.35502/jcswb.255

[7] Yilmaz, M., Yildiz, S. (2021). The importance of occupational health and safety (OHS) and OHS budgeting in terms of social sustainability in construction sector. Journal of Building Material Science, 2(1): 1-10. https://doi.org/10.30564/jbms.v2i1.2591

[8] Thomas, A.R., Fulkerson, G.M. (2021). City and Country: The Historical Evolution of Urban-Rural Systems. Rowman & Littlefield.‏ 

[9] Muggah, R., Tobón, K.A. (2022). Citizen Security in Latin America: Facts and Figures. Igarape Institute. 

[10] Hatten, D.N. (2022). Where gunshots turn fatal: A geographic examination of the spatial patterning of gun violence. Doctoral dissertation, City University of New York.

[11] Pavoni, A., Tulumello, S. (2020). What is urban violence? Progress in Human Geography, 44(1): 49-76. ‏https://doi.org/10.1177/0309132518810432

[12] Sinkienė, J., Stankevičė, I., Navickaitė, K. (2012). Creating safer cities through urban planning and development. Public Policy & Administration/Viesoji Politika ir Administravimas, 11(3): 390-403. 

[13] Ferreira, M.A.S. (2020). Urban violence and crime. The Palgrave Encyclopedia of Peace and Conflict Studies, 1-7.‏ https://doi.org/10.1007/978-3-030-11795-5_64-2

[14] Garcia-Cervantes, N. (2021). Violence and insecurity in urban space: An analytical approach based on the ecological framework for violence. Revista Geográfica de América Central, 66: 25-58. http://doi.org/10.15359/rgac.661.2

[15] Corantin, K. (2024). Violence and precarization of popular housing in Medellín, predatory accumulation as the matrix of urban production. Métropoles, 34.‏ https://doi.org/10.4000/11tyn

[16] Adorno, S., Alvarado, A. (2022). Crime and the governance of large metropolises in Latin America: Mexico City (Mexico) and São Paulo (Brazil). Dilemas: Revista de Estudos de Conflito e Controle Social, 15: 79-115.‏ https://doi.org/10.4322/dilemas.v15esp4.52505

[17] Alvarado, A. (2023). Urbicide, violence, and destruction against cities by criminal organizations. In Urbicide: The Death of the City, pp. 603-635. Cham: Springer International Publishing.‏ https://doi.org/10.1007/978-3-031-25304-1_30

[18] Patel, R.B., Burkle Jr, F.M. (2012). Rapid urbanization and the growing threat of violence and conflict: A 21st century crisis. Prehospital and Disaster Medicine, 27(2): 194-197.

[19] Elfversson, E., Höglund, K. (2023). Urban growth, resilience, and violence. Current Opinion in Environmental Sustainability, 64: 101356.‏ https://doi.org/10.1016/j.cosust.2023.101356

[20] Mahdzar, S.S.S., Jaberolansar, S., Hakim, A. (2019). The effect of spatial configuration on sense of safety through street legibility. In 12th International Space Syntax Symposium, pp. 1-9. 

[21] Ferreira, M.A.S. (2020). Urban violence and crime. In The Palgrave Encyclopedia of Peace and Conflict Studies. Palgrave Macmillan, Cham, pp. 1-7.‏ https://doi.org/10.1007/978-3-030-11795-5_64-2

[22]  Hillier, B., Hanson, J. (1984). The Social Logic of Space. Cambridge University Press.‏ https://doi.org/10.1017/CBO9780511597237

[23]  Hillier, B. (2007). Space is the machine: A configurational theory of architecture. Space Syntax.‏ https://discovery.ucl.ac.uk/id/eprint/3881/1/SITM.pdf.