Parametric Analysis of Daylight and Solar Energy Performance of Oasis Building Environments Through Kinetic Shading Devices Integrated with a Photovoltaic System

Parametric Analysis of Daylight and Solar Energy Performance of Oasis Building Environments Through Kinetic Shading Devices Integrated with a Photovoltaic System

Djihed Berkouk

Department of Architecture, Dar Al-Hekma University, Jeddah 22246, Saudi Arabia

Department of Architecture, Biskra University, Biskra 07000, Algeria

Corresponding Author Email: 
dberkouk@dah.edu.sa
Page: 
1899-1907
|
DOI: 
https://doi.org/10.18280/ijsdp.200507
Received: 
11 April 2025
|
Revised: 
24 May 2025
|
Accepted: 
28 May 2025
|
Available online: 
31 May 2025
| Citation

© 2025 The author. This article is published by IIETA and is licensed under the CC BY 4.0 license (http://creativecommons.org/licenses/by/4.0/).

OPEN ACCESS

Abstract: 

Despite the growing use of parametric and computational tools in sustainable architecture, there remains a significant lack of research on kinetic shading devices integrated with photovoltaic (PV) systems. This pilot study addresses this gap by exploring the dual potential of such systems to enhance indoor daylight quality and generate clean energy in the Saharan climate of Algeria. The research targets two primary objectives, improving indoor daylight performance and maximizing solar energy production. Using Grasshopper, Honeybee, and Ladybug tools, three kinetic shading configurations were evaluated across four desert cities Biskra, El Oued, Ghardaïa, and Ouargla. Simulation results indicate that the shading devices modestly improved indoor daylight conditions, with the most effective configuration achieving a Useful Daylight Illuminance (UDI100-2000) of approximately 37% at a 0.2 opening ratio. However, the overall luminous environment remained suboptimal, as over 56% of the space experienced under-illumination (UDI<100), and Continuous Daylight Autonomy (CDA) values remained below 40%. Conversely, the integrated PV systems consistently yielded a strong energy performance, producing approximately 840 kWh/year across all models and locations. These findings demonstrate that while improvements in visual comfort were limited, the use of kinetic PV-integrated facades offers significant potential for clean energy generation in hot arid climates. Further research is recommended to conduct full optimization simulations across multiple kinetic models and building typologies to enhance the generalizability and performance of such systems.

Keywords: 

parametric design, kinetic shading devices, photovoltaic integration, Useful Daylight Illuminance (UDI), Continuous Daylight Autonomy (CDA), solar energy performance, hot arid climate, oasis architecture

1. Introduction

In recent years, Industry 4.0's role in supporting architecture and building and construction-related fields has led to further understanding of how digital processes and projects interact with sustainability issues [1]. This is through the search for innovative architectural solutions and projects in line with the United Nations Sustainable Development Goals. Building technology advances have led to the design of new types of dynamic building elements as a way to achieve a higher level of sustainability and aesthetics [2], by reducing energy consumption while offering a more comfortable building environment [3], as well as improving the aesthetics of its façade [4]. All this is also due to the paradigm shift in building component design identified by the Industry 4.0 scenarios, which can contribute to the achievement of the UN sustainability goals, through a multidisciplinary look at parametric architectural design, simulation and optimization of building performances [5, 6], and fabrication with advanced materials [7]. For this purpose, it is appropriate to prioritize building facade performance, by focusing on the parametric optimization of daylight and solar energy performance of building environments through kinetic shading devices integrated with other active systems, such as the photovoltaic one, which can meet the sustainability goals.

Accordingly, this study seeks to address the following research questions:

  1. How can kinetic shading devices integrated with photovoltaic systems contribute to the improvement of indoor daylight performance in building environments?
  2. What is the potential of such systems to generate solar energy, and how does their performance vary across different design configurations?

1.1 Sustainability and electricity consumption issues

Sustainability is considered the main orientation of development, where the decision-makers of the European Union (EU) focus on the sustainability factor in designing policies, to contribute, on the one hand, to a better condition for citizens [8], and on the other hand, to reduce greenhouse gas emissions in 40% [9] to 55% by 2030 [10]. This will limit climate change, which has been negatively affected by increasing global energy demand in recent decades, as well as limited non-renewable energy resources [11], known as conventional energy resources [12]. However, there is a strong political background to these policies, especially since they coincided with the rapid increase in electrical energy demand due to population growth and industrial development [13], and especially since the EU's energy imports depend mainly on oil and natural gas [14]. However, this is not just a European problem, but a worldwide issue, as the UN predicts that the world's population will reach about 9.7 billion people by the mid-century, and by the end of this century, this number may exceed 11 billion people [15]. Furthermore, through the financial crisis caused by the COVID-19 pandemic, it is proven that financial factors can affect access to energy [16]. Because this pandemic has led to fluctuations in oil prices and a decrease in conventional energy resources [13]. Also, it has generated a significant increase in inequalities, making it a serious challenge for the UN's sustainable development goals. Hence, following the 2030 Sustainable Development Agenda, containing 17 SDGs, is crucial for all the world's countries. This research focuses particularly on the UN's most prominent SDGs, namely goal nº7 related to clean and affordable energy, goal nº11 on sustainable cities and communities, and goal nº3 related to health and well-being.

The construction and building sector represent the second most energy-intensive in Europe [14]. In most countries of the world, the situation is similar [17]. For example, this sector consumes most of Algeria's energy (40%) [18] compared to the consumption of the transport sector (36%) and industry (21%) [19]. In addition, in the southern regions of this country, residential buildings consume about 75 to 83% of the total electrical energy during the hot season [20]. As a result, the International Energy Agency is warning that without action, this sector's energy consumption could increase by 50% by 2050 [21]. Therefore, designers and decision-makers need today to move towards using renewable energy [22-24] and energy efficiency as a means to fulfill the goals of sustainable development [8, 25]. To reach this pursuit, passive [26-29] or active [30] measures could be applied, especially in the early design phases. Therefore, it is important to focus on the building facade performance, e.g., the use of dynamic shading devices coupled with other systems, especially photovoltaic ones [31], considering the aesthetic aspect of the buildings [4] as well as respecting the architectural identity [32], such as that of Algerian desert and oasis areas. This strategy can be successful because this country has an energy resource perfectly suited to the use of renewable energy since the annual heatstroke in desert areas can reach 3900 hours [11]. This subject has not been studied before in the North African oasis regions.

1.2 Kinetic shading devices integrated in a PV system

The idea of a kinetic facade means that some parts of the building envelope are movable to respond to environmental conditions [33]. The most common and widely used building elements recently are mobile external shading devices, which is one of the active shading system classes [34]. The development of kinetic shading devices was primarily aimed at amplifying the performance of conventional shading devices in order to cope with a constantly changing outdoor environment [35]. Consequently, the installation of shading devices is nowadays mandatory for public buildings [36] as well as for residential buildings in desert climates. The reason for using active shading systems is mainly due to their ability to optimize the building environment, reduce energy consumption and, in some cases, produce energy [34]. Dynamic shading devices, in combination with other systems such as photovoltaic ones [37, 38], can help meet the expectations of the parametric environmental design and analysis, and can also help optimize the indoor atmosphere, including the performance of daylight [39-41] and electrical energy [42].

A great deal of research has attempted to explore the potential of multi-objective optimization of kinetic shading devices by applying parametric design methods [43-48]. These attempts have in many cases been successful in controlling thermal radiation gain, heat loss as well as visual comfort, and energy consumption. However, few papers have focused on parametric environmental analysis to design these devices for buildings located in oasis environments [36], typically characterized by a desert climate with clear, sunny skies almost year-round [49-52]. Therefore, it is crucial to seize the opportunity to understand how these devices affect the interior environments of these oasis buildings, especially since this is challenging, given the lack of knowledge in this context in the scientific literature.

1.3 Parametric optimization of environmental performance

The topic of shading device optimization in buildings is widely researched [53, 54]. Optimization is a procedure to find the minimum or maximum value of a function by selecting specific variables subject to a number of constraints [55]. The optimization method is often used to find the best alternatives by exploring a large search area rather than simply finding the best solution [56]. It is performed by integrating optimization algorithms into building performance simulations to determine the optimal solutions within a specified series of variables and constraints [57]. Several optimization methods are used in the field of building performance simulation to solve single and multi-objective problems [4]. These methods are mainly based on the use of genetic algorithms (GA), which are evolutionary algorithms [58], widely applied in the field of multi-objective optimization (MOO) of building performance by integrating parametric modeling platforms.

All this is due to the rapid development of computer technology and machine learning, which provides technical tools that reduce architects' repetitive work, producing optimization solutions to improve design efficiency, improve energy efficiency [59] and solve design challenges related to environmental issues [60]. To achieve these goals, current tools, such as computer-aided design (CAD) and digital fabrication, have produced a new generation of complex geometries that can be designed from regular conventional shapes [61]. A parametric modeling tool that has been most widely used in recent times is Grasshopper, which is based on the Rhinoceros software. The strength of this tool lies in a large number of plug-ins available for use in various fields. For example, for parametric environment design and analysis related to the architectural field, plug-ins such as Honeybee, Ladybug, or Divia, can be used to simulate everything concerning the effects of daylight on the interior [62-65].

In an attempt to obtain information to make this architectural analysis approach more inclusive, this study considers the design of several kinetic shading devices integrated with a PV system, while taking into account the architectural characteristics of the Saharan region, to maximize the quantity of solar energy on the shading devices for better performance of the PV systems in electricity production and optimize the daylight inside the investigated spaces.

2. Methodology

In this study, the methodology used is based on the environmental performance parametric evaluation and optimization approach, as well as the computational design based on genetic algorithms. For this purpose, the environmental performance of several designs of dynamic shading devices integrated with a photovoltaic system has been considered. Attempting to maximize the solar energy received on the shading devices to have a better performance of PV system, as well as to optimize the indoor daylight performance of the studied room, respecting the oasis context architectural identity. Figure 1 summarizes the four main steps that were followed in this research.

Figure 1. Methodological framework

The context of this study is limited to the oases of eastern Algeria. The Sahara Desert of Algeria is one of the largest in the world. For this research, the four main desert cities of Eastern Algeria were considered, namely the city of Biskra, Ghardaïa, El Oued, and Ouargla (See, Figure 2a). As a first step, the geometric design of the model was done through the use of Grasshopper software [66] connected to Rhinoceros software. The model is 31.5 m2 (7m, 4.5m, 3m) with a glazing façade of (4.3m, 2.8m) oriented south, as illustrated in Figure 2b. This model is the result of an analysis of 19 living rooms of social and promotional dwellings located in the city of Biskra.

This study considered three kinetic shading device designs. These three models' design is presented in Figure 3. The principal design idea of the first shading device model is based on a triangular model similar to that used in the famous project, Al Bahr Towers in the UAE, which has inspired several recent studies. Subsequently, two other models were developed, one of them with a square base and the other with a hexagonal base. The PV cells were integrated into the dynamic components of the shading devices, See Figure 4 (a, b). For the evaluation procedure, the main variable defined for this study is the opening ratio of the dynamic part of the shading device (0.2-0.8), Figure 4c. The climatic data of the city of Biskra, El Oued, Ghardaïa, and Ouargla were integrated by using a .epw file obtained by the Meteonorm software.

Kinetic shading devices, common in contemporary architecture, were modeled with discrete configurations representing different positions throughout the day. The shading elements were assumed to be made of anodized aluminum, a material widely used in such systems for its durability and environmental responsiveness.

The photovoltaic system was modeled using the PV surface component available in Ladybug Tools for Grasshopper. Since the simulations were conducted using default settings, no specific commercial PV module was selected. A generic monocrystalline panel configuration was assumed, based on the typical parameters embedded in the tool at the time of the study.

Figure 2. (a) Location of the four studied cities of the Algerian desert region, (b) Building geometric model

Figure 3. Proposed geometry

Figure 4. An example of a test room model scenario includes a window frame, a kinetic front wall, and PV cells

In the second step, the environmental performance evaluation was conducted. The verification of the effect of dynamic shading devices on daylight performance was done through the simulation of Useful Daylight Illuminance (UDI) [67, 68], Continuous Daylight Autonomy (CDA), and Average Illuminance (Avg. E) using the Honeybee extension. While the evaluation of the effect of solar radiation on PV performance was examined through the simulation of electrical production [69] of direct current (DC) [70], based on the Ladybug extension. The third step, the SPSS software was used for the realization of the statistical analyses of the obtained results.

3. Results

3.1 Daylight performance evaluation of shading devices

Figure 5 presents the annual daylight analysis results of the model without shading devices. It is seen in Figure 5a that the luminous environment of the model without shading devices is characterized by low percentages of UDI100_2000 for the different cities (Biskra, El Oued, Ghardaïa, Ouargla), where it is 33.80% (± 11.69%), 3.65% (± 11.76%), 34.80% (± 10.83%) and 34.68% (± 10.95%) respectively. In addition, the average annual illuminance values show that the models located in these cities are varied between 1931.38% in Ghardaïa and 1842.03% in Biskra, with standard deviations of 2469.42% and 2282.28%, respectively (see Figure 5b), showing that the luminous environment of these spaces is not uniform.

Figure 5. Daylighting analysis for the model without shading devices (a) UDI100_2000, (b) Average annual daylight analysis

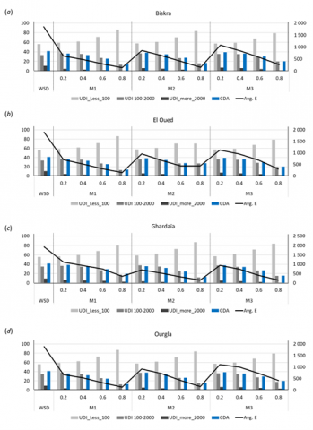
The daylighting analysis of the models equipped with the three shading devices in the different cities is presented in Figure 6. It is observed in Figure 6a that the average values of UDI100-2000 are somewhat similar among the three models (M1, M2, and M3) in Biskra, where the maximum comfortable hours percentages are 36.89% (±4.23%), 36.60 % (±5, 85%), and 35.63% (±7.76%), respectively, for the opening ratio 0.2. While the percentages of minimum comfortable hours were 13.20% (±12.96%), 15.94% (±15.11%), and 19, 71% (±15.28%), respectively, for the 0.8 ratios of the three models. In addition, it is seen that the average annual values of CDA show that the percentages of the luminous environment of the three models M1, M2, and M3 do not exceed the 300 lux during at least 50% of the time, because all values are lower than 55%. Where the highest CDA values were 36.40% (±7.53%), 38.26% (±6.87%), and 39.06% (±6.58%) for the 0.2 ratios for each model M1, M2, and M3, respectively. These low DCA percentages indicate that the luminous environment produced through the use of these shading devices is somewhat dark and that may cause an uncomfortable condition for the occupants. This condition was confirmed by the overly high values of UDIless_100, where the M1, M2, and M3 models reach, 58.63% (±3.43%), 57.63% (±2.77%), and 57.14% (±2.80%) for the ratio 0.2, respectively. Furthermore, the maximum mean values of annual illuminance were 628.92 lux, 855.36 lux, and 1076.13 lux, respectively, for the three models with a very high standard deviation of 642.71 lux, 895.94 lux, and 1275.50 lux. These results confirm the non-uniformity of illuminance in the interior space of the three models, and this may cause the phenomenon of contrast to the occupants of the space.

Figure 6(b, c, d), and Table 1 show that the luminous environment given by using the shading devices of the models located in the different cities (El Oued, Ghardaïa, and Ouargla) is somewhat similar. Whereas the maximum percentages of UDI100-2000 were 37.23% (±4.17%), 36.51% (±6.54%), and 37.71% (±3.51%), respectively, for the 0.2 ratio of the M1 model in the different cities. Model M2 in these different cities shows that the percentages of maximum comfortable hours are 36.54% (±5.80%), 37.77% (±3.60%), and 37.29% (±5.17%), respectively. Similarly, the M3 models located in different cities were 35.83% 37.54%, and 36.11%, respectively. As in the case of the models located in Biskra, those of El Oued, Ghardaïa and Ouargla also show that the luminous environment provided by the various shading devices is dark, because the values of UDIless_100 are higher than 56.74%, in all the cases studied. In addition, the CDA values are lower than 39.03%, in all cases, which confirms that the luminous environment of different models located in these cities does not exceed 300 lux for at least 50% of the annual time.

Figure 6. Annual daylighting analysis of the models equipped with the three shading devices in the different cities: (a) Biskra, (b) El Oued, (c) Ghardaïa, (d) Ouargla

Table 1. Summary of daylight performance metrics for all models and opening percentages across cities

City

Model

Op. %

UDI_Less_100

UDI 100-2000

UDI_More_2000

CDA

Avg. E

El Oued

M1

0.2

58.60

37.23

4.17

36.40

703.37

0.8

86.31

13.03

0.57

13.74

147.76

M2

0.2

57.57

36.54

5.80

38.31

958.54

0.8

70.34

27.26

2.43

27.60

434.14

M3

0.2

57.09

35.83

7.06

39.03

1125.85

0.8

78.63

19.54

1.77

20.17

304.39

Ghardaïa

M1

0.2

56.74

36.51

6.54

38.69

1107.40

0.8

79.54

17.83

2.57

19.54

357.32

M2

0.2

58.60

37.77

3.60

35.77

693.47

0.8

87.06

12.00

0.91

13.26

149.91

M3

0.2

57.29

37.54

5.17

37.69

939.02

0.8

83.80

15.37

0.77

15.57

149.30

Ouargla

M1

0.2

58.80

37.71

3.51

35.83

670.47

0.8

87.17

12.23

0.54

13.11

124.54

M2

0.2

57.49

37.29

5.17

37.71

913.03

0.8

83.86

15.37

0.71

15.51

150.76

M3

0.2

57.03

36.11

6.77

38.63

1103.93

0.8

79.46

17.69

2.77

19.54

414.08

The low daylight performance is mainly due to the compact geometry of the shading devices, which block a significant portion of direct sunlight. Their dense coverage and the use of fully opaque materials further reduce indoor illuminance, especially in the models with smaller opening ratios.

3.2 Electricity produced by the PV system

Figure 7 presents the average annual power production (DC energy per hour) of the PV system. The annual average DC power production of the PV system integrated with the kinetic shading device of model M1 located in Biskra, El Oued, Ghardaïa, and Ouargla is 840.608 kWh (±0.071 kWh), 840.618 kWh (±0.072 kWh), 840.654 kWh (±0.076 kWh), and 840.645 kWh (±0.073 kWh) respectively. While the annual average DC production of the M2 model is 840.402 kWh, 840.412 kWh, 840.434 kWh, and 840.428 kWh for the different cities, with a very low standard deviation that varies between (0.047 and 0.56 kWh). While the M3 model of the annual average value of DC production is similar to that of M1 and M2, where it produces 840,448 kWh, 840,468 kWh, 840,448 kWh, and 840,486 kWh for the cities of Biskra, El Oued, Ghardaïa, and Ouargla, respectively.

Figure 7. Annual daylighting analysis of the models equipped with the three shading devices in the different cities: (a) Biskra, (b) El Oued, (c) Ghardaïa, (d) Ouargla

4. Discussions and Conclusions

Findings from this research suggest, on the one hand, that the indoor luminous environment produced by the model without shading devices is characterized by low UDI100-2000 percentages for the four studied cities, which explains why these spaces can create uncomfortable condition for occupants. On the other hand, they show that the indoor luminous environments in the various models are not uniform. In such cases, where daylight is not adequately controlled, the building environment may be affected by negative effects [71]. Interestingly, the results indicate that different shading devices produce relatively similar luminous environments, with the 0.2 opening ratio consistently providing the highest UDI100–2000 values across all cities. This is mainly due to its ability to balance solar protection with daylight entry, while maintaining a larger PV surface area for energy generation. In contrast, wider openings reduced PV output and allowed higher daylight fluctuation, resulting in lower visual comfort. In general, the luminous environments created by the tested shading devices remained dark. This is largely attributed to the depth and density of the kinetic systems, combined with the use of opaque aluminum panels, which limit light penetration. As highlighted in the literature, insufficient daylight can affect occupants' physiological and psychological well-being [72].

However, the integration of PV systems in these devices yielded annual energy production of up to 840 kWh, which, while not sufficient for cooling demands, can partially cover lighting needs in small spaces. This demonstrates the potential of such systems to contribute to building energy autonomy. While static shading devices operate with fixed configurations, kinetic shading devices offer dynamic adaptability, which can be beneficial in modulating both daylight and energy performance. However, this adaptability introduces trade-offs, configurations with higher PV yield often result in reduced daylighting performance, and vice versa.

The strength of this study is mainly due to its approach which is based on the parametric optimization and daylighting performance of buildings equipped by a kinetic shading device integrated with a photovoltaic system in an oasis context, including the city of Biskra, Ghardaïa, El Oued and Ouargla. It is important to study the performance of daylighting because it can positively affect the quality of life, visual comfort, psychological comfort, health and productivity of occupants [73], something that falls within the scope of our work. Furthermore, the annual calculation represents more accurately the energy losses of partially shaded PV systems, which has been considered in this study through the pursuit of maximizing the PV contribution along the year [74].

This study is considered a complementary step to the work performed by Skandalos and Karamanis [75] who presented an optimization approach for the integration of photovoltaic buildings into low energy buildings in different climates zones. It is also seen as a supplementary study to the work of Khelil et al. [36] who evaluated the effect of building skin adaptability on energy consumption in hot and arid regions.

Our results are limited to the evaluation of the impact of the opening ratio of kinetic shading devices on the performance of indoor daylighting and the electrical production of the PV system. Moreover, there is an additional limitation, where this study is based on the analysis of the parametric optimization of a single model M1 which is located in the city of Biskra. Besides, it should be noted that the east and west facades equipped with a kinetic shading device integrated with a PV system require further research because dynamic external shades have the potential to optimize the interior illuminance, and solar radiation on the building facade depending on the sun position [68]. Given the conceptual nature of the study, the simulation results were not validated against real-world measurements. Future research is encouraged to include validation through field experiments or monitored case studies.

While this study focused on the performance analysis of selected kinetic shading devices integrated with PV systems in oasis environments, it did not include a full parametric optimization across multiple design alternatives. Therefore, further research is recommended to expand this investigation through multi-objective optimization simulations of several kinetic facade models applied to diverse architectural typologies and climatic targets. Such studies could further explore trade-offs between energy efficiency, daylight quality, material adaptability, and cultural integration, thereby refining the applicability of parametric solutions in hot arid and other climate-sensitive regions.

Acknowledgment

The author would like to thank Dr. Tallal Abdel Karim Bouzir, Dr. Chafik Mahaya, and Dr. Samiha Boucherit for their valuable support and contributions that helped improve the quality of this work.

Funding

We thank the Vice Presidency for Graduate Studies, Research & Business at Dar Al-Hekma University in Jeddah, Saudi Arabia for funding this research project and for offering their technical support.

  References

[1] Leone, M.F., Nocerino, G. (2021). Advanced modelling and digital manufacturing: Parametric design tools for the optimization of UHPFRC (ultra high-performance Fiber reinforced concrete) shading panels. Automation in Construction, 126: 103650. https://doi.org/10.1016/j.autcon.2021.103650

[2] Elkhateeb, A.M., Fikry, M.A., Mansour, A.A. (2018). Dynamic building and its impact on sustainable development. Alexandria Engineering Journal, 57(4): 4145-4155. https://doi.org/10.1016/j.aej.2018.10.016

[3] Tzempelikos, A., Shen, H. (2013). Comparative control strategies for roller shades with respect to daylighting and energy performance. Building and Environment, 67: 179-192. https://doi.org/10.1016/j.buildenv.2013.05.016

[4] Yi, Y.K. (2019). Building facade multi-objective optimization for daylight and aesthetical perception. Building and Environment, 156: 178-190. https://doi.org/10.1016/j.buildenv.2019.04.002

[5] Loonen, R.C., Favoino, F., Hensen, J.L., Overend, M. (2017). Review of current status, requirements and opportunities for building performance simulation of adaptive facades. Journal of Building Performance Simulation, 10(2): 205-223. https://doi.org/10.1080/19401493.2016.1152303

[6] Hosseini, S.M., Mohammadi, M., Rosemann, A., Schröder, T., Lichtenberg, J. (2019). A morphological approach for kinetic façade design process to improve visual and thermal comfort. Building and Environment, 153: 186-204. https://doi.org/10.1016/j.buildenv.2019.02.040

[7] Tang, Y.C., Lin, G.J., Yang, S., Yi, Y.K., Kamien, R.D., Yin, J. (2017). Programmable kiri-kirigami metamaterials. Advanced Materials, 29(10): 1604262. https://doi.org/10.1002/adma.201604262

[8] Dinu, M., Pătărlăgeanu, S.R., Petrariu, R., Constantin, M., Potcovaru, A.M. (2020). Empowering sustainable consumer behavior in the EU by consolidating the roles of waste recycling and energy productivity. Sustainability, 12(23): 9794. https://doi.org/10.3390/su12239794

[9] Bădîrcea, R.M., Florea, N.M., Manta, A.G., Puiu, S., Doran, M.D. (2020). Comparison between Romania and Sweden based on three dimensions: Environmental performance, green taxation and economic growth. Sustainability, 12(9): 3817. https://doi.org/10.3390/su12093817

[10] Alsaleh, M., Abdulwakil, M.M., Abdul-Rahim, A.S. (2021). Land-use change impacts from sustainable hydropower production in EU28 region: An empirical analysis. Sustainability, 13(9): 4599. https://doi.org/10.3390/su13094599

[11] Rahmani, K., Ahriz, A., Bouaziz, N. (2022). Development of a new residential energy management approach for retrofit and transition, based on hybrid energy sources. Sustainability, 14(7): 4069. https://doi.org/10.3390/su14074069

[12] Perera, A.T., Nik, V.M., Chen, D., Scartezzini, J.L., Hong, T. (2020). Quantifying the impacts of climate change and extreme climate events on energy systems. Nature Energy, 5(2): 150-159. https://doi.org/10.1038/s41560-020-0558-0

[13] Ridha, H.M., Gomes, C., Hizam, H., Ahmadipour, M., Heidari, A.A., Chen, H. (2021). Multi-objective optimization and multi-criteria decision-making methods for optimal design of standalone photovoltaic system: A comprehensive review. Renewable and Sustainable Energy Reviews, 135: 110202. https://doi.org/10.1016/j.rser.2020.110202

[14] Matos, A.M., Delgado, J.M., Guimarães, A.S. (2022). Energy-efficiency passive strategies for mediterranean climate: an overview. Energies, 15(7): 2572. https://doi.org/10.3390/en15072572

[15] Cortese, T.T.P., Almeida, J.F.S.D., Batista, G.Q., Storopoli, J.E., Liu, A., Yigitcanlar, T. (2022). Understanding sustainable energy in the context of smart cities: A PRISMA review. Energies, 15(7): 2382. https://doi.org/10.3390/en15072382

[16] International Energy Agency (2020). World energy outlook 2020. OECD Publishing. https://www.iea.org/reports/world-energy-outlook-2020.

[17] Pérez-Lombard, L., Ortiz, J., Pout, C. (2008). A review on buildings energy consumption information. Energy and Buildings, 40(3): 394-398. https://doi.org/10.1016/j.enbuild.2007.03.007

[18] Teraa, S., Bencherif, M. (2022). From hygrothermal adaptation of endemic plants to meteorosensitive biomimetic architecture: Case of Mediterranean biodiversity hotspot in Northeastern Algeria. Environment, Development and Sustainability, 24(9): 10876-10901. https://doi.org/10.1007/s10668-021-01887-y

[19] Ghedamsi, R., Settou, N., Gouareh, A., Khamouli, A., Saifi, N., Recioui, B. (2015). Estimating the energy consumption in building sector in Algeria using bottom-up mode. In IREC2015 The Sixth International Renewable Energy Congress, Sousse, Tunisia, pp. 1-6. https://doi.org/10.1109/IREC.2015.7110942

[20] Sehli, A., Hasni, A., Tamali, M. (2012). The potential of earth-air heat exchangers for low energy cooling of buildings in South Algeria. Energy Procedia, 18: 496-506. https://doi.org/10.1016/j.egypro.2012.05.061

[21] International Energy Agency. Directorate of Sustainable Energy Policy. (2013). Transition to sustainable buildings: Strategies and opportunities to 2050. Organization for Economic Co-Operation & Developme.

[22] Ebrahimi-Moghadam, A., Ildarabadi, P., Aliakbari, K., Fadaee, F. (2020). Sensitivity analysis and multi-objective optimization of energy consumption and thermal comfort by using interior light shelves in residential buildings. Renewable Energy, 159: 736-755. https://doi.org/10.1016/j.renene.2020.05.127

[23] Ebrahimi-Moghadam, A., Moghadam, A.J., Farzaneh-Gord, M., Aliakbari, K. (2020). Proposal and assessment of a novel combined heat and power system: Energy, exergy, environmental and economic analysis. Energy Conversion and Management, 204: 112307. https://doi.org/10.1016/j.enconman.2019.112307

[24] Ebrahimi-Moghadam, A., Moghadam, A.J., Farzaneh-Gord, M. (2020). Comprehensive techno-economic and environmental sensitivity analysis and multi-objective optimization of a novel heat and power system for natural gas city gate stations. Journal of Cleaner Production, 262: 121261. https://doi.org/10.1016/j.jclepro.2020.121261

[25] Liu, B., Rodriguez, D. (2021). RETRACTED: Renewable energy systems optimization by a new multi-objective optimization technique: A residential building. Journal of Building Engineering, 35: 102094. https://doi.org/10.1016/j.jobe.2020.102094

[26] Magri Elouadjeri, S., Boussoualim, A., Ait Haddou, H. (2021). Evaluating the effect of external horizontal fixed shading devices’ geometry on internal air temperature, daylighting and energy demand in hot dry climate. Case study of ghardaïa, Algeria. Buildings, 11(8): 348. https://doi.org/10.3390/buildings11080348

[27] Berkouk, D., Bouzir, T.A.K., Mazouz, S., Boucherit, S., Mokhtari, N. (2022). Studying the influence of shading devices on indoor thermal comfort in desert and Mediterranean climates. IOP Conference Series: Earth and Environmental Science, Cairo, Egypt, 992(1): 012004. https://doi.org/10.1088/1755-1315/992/1/012004

[28] Berkouk, D., Bouzir, T.A.K., Mazouz, S. (2018). Numerical study of the vertical shading devices effect on the thermal performance of promotional apartments in hot dry climate of Algeria. AIP Conference Proceedings, Beirut, Lebanon, 1968(1): 030040. https://doi.org/10.1063/1.5039227

[29] Dubois, M.C. (2001). Solar shading for low energy use and daylight quality in offices: Simulations, measurements and design tools. Doctoral dissertation, Lund University. 

[30] Al-Masrani, S.M., Al-Obaidi, K.M., Zalin, N.A., Isma, M.A. (2018). Design optimisation of solar shading systems for tropical office buildings: Challenges and future trends. Solar Energy, 170: 849-872. https://doi.org/10.1016/j.solener.2018.04.047

[31] Mesloub, A., Ghosh, A., Touahmia, M., Albaqawy, G. A., Noaime, E., Alsolami, B.M. (2020). Performance analysis of photovoltaic integrated shading devices (PVSDs) and semi-transparent photovoltaic (STPV) devices retrofitted to a prototype office building in a hot desert climate. Sustainability, 12(23): 10145. https://doi.org/10.3390/su122310145

[32] Marzouk, M., ElSharkawy, M., Mahmoud, A. (2022). Optimizing daylight utilization of flat skylights in heritage buildings. Journal of Advanced Research, 37: 133-145. https://doi.org/10.1016/j.jare.2021.06.005

[33] Lee, D.S., Koo, S.H., Seong, Y.B., Jo, J.H. (2016). Evaluating thermal and lighting energy performance of shading devices on kinetic façades. Sustainability, 8(9): 883. https://doi.org/10.3390/su8090883

[34] Al Dakheel, J., Tabet Aoul, K. (2017). Building applications, opportunities and challenges of active shading systems: A state-of-the-art review. Energies, 10(10): 1672. https://doi.org/10.3390/en10101672

[35] Lee, B. (2019). Heating, cooling, and lighting energy demand simulation analysis of kinetic shading devices with automatic dimming control for Asian Countries. Sustainability, 11(5): 1253. https://doi.org/10.3390/su11051253

[36] Khelil, S., Khelil, A.E., Bouzir, T.A.K., Berkouk, D., Zemmouri, N. (2022). Assessing the effect of building skin adaptability on energy consumption in hot arid regions. Scientific Journal of King Faisal University: Basic and Applied Sciences, 23(1): 36-43. https://doi.org/10.37575/b/sci/210082

[37] Gao, Q., Yang, Y., Wang, Q. (2022). An integrated simulation method for PVSS parametric design using multi-objective optimization. Frontiers of Architectural Research, 11(3): 509-526. https://doi.org/10.1016/j.foar.2021.11.003

[38] Stephen, A.A., Musasa, K., Davidson, I.E. (2022). Modelling of solar PV under varying condition with an improved incremental conductance and integral regulator. Energies, 15(7): 2405. https://doi.org/10.3390/en15072405

[39] Hosseini, S.N., Hosseini, S.M., HeiraniPour, M. (2020). The role of Orosi’s Islamic geometric patterns in the building facade design for improving occupants’ daylight performance. Journal of Daylighting, 7(2): 201-221. https://doi.org/10.15627/jd.2020.18

[40] Mahmoud, A.H.A., Elghazi, Y. (2016). Parametric-based designs for kinetic facades to optimize daylight performance: Comparing rotation and translation kinetic motion for hexagonal facade patterns. Solar Energy, 126: 111-127. https://doi.org/10.1016/j.solener.2015.12.039

[41] Maksoud, A., Mushtaha, E., Al-Sadoon, Z., Sahall, H., Toutou, A. (2022). Design of Islamic parametric elevation for interior, enclosed corridors to optimize daylighting and solar radiation exposure in a desert climate: A case study of the University of Sharjah, UAE. Buildings, 12(2): 161. https://doi.org/10.3390/buildings12020161

[42] Chi, D.A., Moreno, D., Navarro, J. (2018). Correlating daylight availability metric with lighting, heating and cooling energy consumptions. Building and Environment, 132: 170-180. https://doi.org/10.1016/j.buildenv.2018.01.048

[43] Tabadkani, A., Roetzel, A., Li, H.X., Tsangrassoulis, A. (2021). Design approaches and typologies of adaptive facades: A review. Automation in Construction, 121: 103450. https://doi.org/10.1016/j.autcon.2020.103450

[44] Le-Thanh, L., Le-Duc, T., Ngo-Minh, H., Nguyen, Q.H., Nguyen-Xuan, H. (2021). Optimal design of an Origami-inspired kinetic façade by balancing composite motion optimization for improving daylight performance and energy efficiency. Energy, 219: 119557. https://doi.org/10.1016/j.energy.2020.119557

[45] Kim, H.J., Yang, C.S., Moon, H.J. (2019). A study on multi-objective parametric design tool for surround-type movable shading device. Sustainability, 11(24): 7096. https://doi.org/10.3390/su11247096

[46] Wagiri, F., Shih, S.G., Harsono, K., Wijaya, D.C. (2024). Multi‑objective optimization of kinetic facade aperture ratios for daylight and solar radiation control. Journal of Building Physics, 47(4): 355-385. https://doi.org/10.1177/17442591231219793

[47] Hosseini, S.M., Mohammadi, M., Schröder, T., Guerra-Santin, O. (2021). Bio-inspired interactive kinetic façade: Using dynamic transitory-sensitive area to improve multiple occupants’ visual comfort. Frontiers of Architectural Research, 10(4): 821-837. https://doi.org/10.1016/j.foar.2021.07.004

[48] Hosseini, S.M., Mohammadi, M., Schröder, T., Guerra-Santin, O. (2020). Integrating interactive kinetic façade design with colored glass to improve daylight performance based on occupants’ position. Journal of Building Engineering, 31: 101404. https://doi.org/10.1016/j.jobe.2020.101404

[49] Boussebci, K., Zemmouri, N., Mahaya, C. (2024). Atrium design in hot and dry climates: Understanding the influence of achitectural form variation on indoor thermal conditions. Proceedings of the International Conference of Contemporary Affairs in Architecture and Urbanism-ICCAUA, 7(1): 228-237. https://doi.org/10.38027/ICCAUA2024EN0310

[50] Bouzir, T.A.K., Berkouk, D., Zemmouri, N. (2020). Evaluation and analysis of the algerian oases soundscape: Case of El Kantara and Sidi Okba. Acoustics Australia, 48: 131-140. https://doi.org/10.1007/s40857-019-00173-2

[51] Boucherit, S., Berkouk, D., Bouzir, T., Khelil, S. (2022). Analyzing the luminous environment in a university campus in Biskra, Algeria: A pilot study. IOP Conference Series: Earth and Environmental Science, Vienna, Austria, 952(1): 012013. https://doi.org/10.1088/1755-1315/952/1/012013

[52] Berkouk, D., Bouzir, T.A.K., Boucherit, S., Khelil, S., Mahaya, C., Matallah, M.E., Mazouz, S. (2022). Exploring the multisensory interaction between luminous, thermal and auditory environments through the spatial promenade experience: A case study of a university campus in an oasis settlement. Sustainability, 14(7): 4013. https://doi.org/10.3390/su14074013

[53] Mangkuto, R.A., Koerniawan, M.D., Apriliyanthi, S.R., Lubis, I.H., Atthaillah, Hensen, J.L., Paramita, B. (2021). Design optimisation of fixed and adaptive shading devices on four façade orientations of a high-rise office building in the tropics. Buildings, 12(1): 25. https://doi.org/10.3390/buildings12010025

[54] Toutou, A., Fikry, M., Mohamed, W. (2018). The parametric based optimization framework daylighting and energy performance in residential buildings in hot arid zone. Alexandria Engineering Journal, 57(4): 3595-3608. https://doi.org/10.1016/j.aej.2018.04.006

[55] Machairas, V., Tsangrassoulis, A., Axarli, K. (2014). Algorithms for optimization of building design: A review. Renewable and Sustainable Energy Reviews, 31: 101-112. https://doi.org/10.1016/j.rser.2013.11.036

[56] Nguyen, A.T., Reiter, S., Rigo, P. (2014). A review on simulation-based optimization methods applied to building performance analysis. Applied Energy, 113: 1043-1058. https://doi.org/10.1016/j.apenergy.2013.08.061

[57] Kim, H., Clayton, M.J. (2020). A multi-objective optimization approach for climate-adaptive building envelope design using parametric behavior maps. Building and Environment, 185: 107292. https://doi.org/10.1016/j.buildenv.2020.107292

[58] Asl, M.R., Zarrinmehr, S., Bergin, M., Yan, W. (2015). BPOpt: A framework for BIM-based performance optimization. Energy and Buildings, 108: 401-412. https://doi.org/10.1016/j.enbuild.2015.09.011

[59] Konis, K., Gamas, A., Kensek, K. (2016). Passive performance and building form: An optimization framework for early-stage design support. Solar Energy, 125: 161-179. https://doi.org/10.1016/j.solener.2015.12.020

[60] Kiss, B., Szalay, Z. (2020). Modular approach to multi-objective environmental optimization of buildings. Automation in Construction, 111: 103044. https://doi.org/10.1016/j.autcon.2019.103044

[61] Scheurer, F. (2010). Materialising complexity. Architectural Design, 80(4): 86-93. https://doi.org/10.1002/ad.1111

[62] Omidi, A., Golchin, N., Masoud, S.E. (2022). Evaluating the visual comfort of Orosi windows in hot and semi-arid climates through climate-based daylight metrics: A quantitative study. Journal of Asian Architecture and Building Engineering, 21(5): 2114-2130. https://doi.org/10.1080/13467581.2021.1971534

[63] Eltaweel, A., Yuehong, S.U. (2017). Using integrated parametric control to achieve better daylighting uniformity in an office room: A multi-step comparison study. Energy and Buildings, 152: 137-148. https://doi.org/10.1016/j.enbuild.2017.07.033

[64] Eltaweel, A., Yuehong, S.U. (2017). Parametric design and daylighting: A literature review. Renewable and Sustainable Energy Reviews, 73: 1086-1103. https://doi.org/10.1016/j.rser.2017.02.011

[65] Bakmohammadi, P., Noorzai, E. (2020). Optimization of the design of the primary school classrooms in terms of energy and daylight performance considering occupants’ thermal and visual comfort. Energy Reports, 6: 1590-1607. https://doi.org/10.1016/j.egyr.2020.06.008

[66] Koukelli, C., Prieto, A., Asut, S. (2021). Kinetic solar envelope: Performance assessment of a shape memory alloy-based autoreactive façade system for urban heat island mitigation in Athens, Greece. Applied Sciences, 12(1): 82. https://doi.org/10.3390/app12010082

[67] Hosseini, S.M., Mohammadi, M., Guerra-Santin, O. (2019). Interactive kinetic façade: Improving visual comfort based on dynamic daylight and occupant's positions by 2D and 3D shape changes. Building and Environment, 165: 106396. https://doi.org/10.1016/j.buildenv.2019.106396

[68] Grobman, Y.J., Austern, G., Hatiel, Y., Capeluto, I.G. (2020). Evaluating the influence of varied external shading elements on internal daylight illuminances. Buildings, 10(2): 22. https://doi.org/10.3390/buildings10020022

[69] Brzezicki, M., Regucki, P., Kasperski, J. (2021). Optimization of useful daylight illuminance for vertical shading fins covered by photovoltaic panels for a case study of an office room in the City of Wroclaw, Poland. Buildings, 11(12): 637. https://doi.org/10.3390/buildings11120637

[70] Rauf, S., Wahab, A., Rizwan, M., Rasool, S., Khan, N. (2016). Application of Dc-grid for efficient use of solar PV system in smart grid. Procedia Computer Science, 83: 902-906. https://doi.org/10.1016/j.procs.2016.04.182

[71] Koo, S.Y., Yeo, M.S., Kim, K.W. (2010). Automated blind control to maximize the benefits of daylight in buildings. Building and Environment, 45(6): 1508-1520. https://doi.org/10.1016/j.buildenv.2009.12.014

[72] Amundadottir, M.L., Rockcastle, S., Khanie, M.S., Andersen, M. (2017). A human-centric approach to assess daylight in buildings for non-visual health potential, visual interest and gaze behavior. Building and Environment, 113: 5-21. https://doi.org/10.1016/j.buildenv.2016.09.033

[73] Boyce, P., Hunter, C., Howlett, O. (2003). The Benefits of Daylight Through Windows. Troy, New York: Rensselaer Polytechnic Institute. 

[74] Zomer, C., Rüther, R. (2017). Simplified method for shading-loss analysis in BIPV systems—part 1: Theoretical study. Energy and Buildings, 141: 69-82. https://doi.org/10.1016/j.enbuild.2017.02.042

[75] Skandalos, N., Karamanis, D. (2021). An optimization approach to photovoltaic building integration towards low energy buildings in different climate zones. Applied Energy, 295: 117017. https://doi.org/10.1016/j.apenergy.2021.117017