Performance Analysis of Novel Perforated LPG Burner for Domestic Application

Performance Analysis of Novel Perforated LPG Burner for Domestic Application

Ahmed A. Hussien* Isam Qasem

Department of Mechanical Engineering, Al-Huson University College, Al-Balqa Applied University, Irbid 21510, Jordan

Corresponding Author Email: 
ahmed.hussien@bau.edu.jo
Page: 
481-489
|
DOI: 
https://doi.org/10.18280/ijht.420214
Received: 
13 February 2024
|
Revised: 
22 March 2024
|
Accepted: 
1 April 2024
|
Available online: 
30 April 2024
| Citation

© 2024 The authors. This article is published by IIETA and is licensed under the CC BY 4.0 license (http://creativecommons.org/licenses/by/4.0/).

OPEN ACCESS

Abstract: 

The demand for efficient and eco-friendly domestic burner is a never-ending challenge. Enhancing combustion efficiency is achievable goal by ensuring better values for thermal efficiency and emissions. In this experimental research work, the performance of combustion in a developed domestic burner with Gypsum perforated plate in combustion chamber was investigated. Key parameters such as flame stability, maximum flame temperature, emission gases, and thermal efficiency with respect to Equivalent Ratio (ER) were reported.ER with is based on LPG and Air ranges from 0.75-1.4. In addition, the effect of number of Gypsum perforated plate in combustion chamber were altered. The results show that using two layers of perforated plates is beneficial. With only one layer of perforated plates enhancement in thermal efficiency at considered ER moved from 8% to 16%. Next, with two layers the value improved from 30% to 52% (if compared with no perforation combustion chamber). The computed percentage increase rise in values of developed burner was considerably high when compared with recently developed burner under this category. With emission analysis, a strong reduction in carbon monoxide emissions was observed, with marginal increase in NOx levels due to the higher flame temperature. Furthermore, Multi-Objective Optimization process was carried out using Pareto optimal front (POF) using two perforated layers at optimal cases.

Keywords: 

domestic burner, perforated plate, LPG, thermal efficiency, emissions, flame, Pareto optimal front (POF)

1. Introduction

Fossil fuel is the primary source of energy from decades and still the best choice for human needs in one way or the other. The uncontrolled continuous consumption of fossil fuel energy is going to yield massive adverse effects on greenhouse gas emissions. Hence, renewable energy exploitation is not the only way to avoid this problem, but also, energy saving, increasing energy efficiency, and reducing the factor of safety in many applications can strongly affect fossil fuel depletion and emissions [1]. On this basis, the small-scale domestic application can achieve huge progress in energy saving for its wide usage.

The domestic stove is a widely used device globally. Almost no house is free of a stove. The domestic stove is a device that burns fuel to produce thermal energy in a form of flame that heats a vessel. Due to the wide and continuous usage of fuel by the domestic stove, researchers focused on improving the device from many different perspectives. Janvekar et al. [2] reported the highest thermal efficiency and least emissions of surface and submerged flame of a microburner by varying thicknesses of pre heat layer. The experiment revealed that the highest thermal efficiency occurs at thickness of 10 mm, however, the three considered thicknesses of 5, 10, and 15 mm achieved low emissions of NOX and CO. Boggavarapu et al. [3] studied the thermal efficiency of a domestic burner uses liquefied petroleum gas (LPG), and piped natural gas (PNG) using experimental and numerical methods. The showed and reported simulation data of CFD by focusing on efficiency of the burner. With the experiment information increase in the thermal efficiency came to 2.5% by adapting LPG and 10% with NPG. Kuntikana and Prabhu [4] took thermal behaviour of the heat flux, Nusselt number, and distribution of multi-port burners with two different configurations: inline configuration, and staggered configuration. The results revealed the superiority of the inline configuration in the thermal efficiency. However, the superiority of the staggered configuration lies in uniformity of the surface heat flux.

The efficiency of LPG domestic stove and the emission performance can be varied with many ways such as surrounding conditions [5], fuel type and additions [6, 7] and the design of burner [8]. Many researchers conducted premixing and preheating methods in order to enhance thermal efficiency. One of the popular methods is using a porous medium as premix [9]. Mujeebu et al. [10] conducted an experiment to improve an economic premixed LPG burner using a porous medium. The experiment concentrated on the flame stability and the maximum temperature could be reached, the temperature distribution over the combustor, and emissions percentage. Also, these readings were compared to the conventional burners. The presented result showed 80% savings in fuel combustion, and reduction by 75% of gas emissions. Sobhani et al. [11] attempt aimed to ensure the viability of a porous media burner for applications at high pressure using pre-vaporized liquid fuel. The attempt was made with preheated high pressure lean fuel at specific ER. The flame stability was reported along the various temperature profile. The pressure drop emissions of COX, and NOX were also reported. In addition, a numerical simulation of one-dimension was done to enhance the experiment results of the pressure and mixture effects on the flame stability. Yuan et al. [6] made an attempt to enhance a porous medium cell called (PMTEC). The authors initially elaborated the operation method of the PMTEC, and then expanded it to investigation by rendition of the combustion on three heavy crude oil, two medium crude oil, and two light crude oil. The results revealed strong combustion at low temperature with high temperature and releasing CO, and CO2 gases.

Dehaj and Solghar [12] conducted an experiment of a porous burner combustion, then investigated the result numerically using wide range of operating conditions. The values of temperature, pressure drop, and efficiency was found out with experimental set up. In addition, to the effect of the excess air and its effect on the thermal loads. Also, the numerical model was used to find out the inlet flow specifications. The results of the numerical work of the temperature, gas emissions of NOX, and COX, and the combustor centreline was validated and compared to the experimental results, and found under acceptable range. Li et al. [13] conducted an attempt support by numerical study to investigate the standing-wave combustion gap. The numerical simulation conducted on a planar micro-burner filled partially with porous media was aimed to understand the heat transfer and its effect on the critical conditions whereas the flame break down the upper and lower limitations of the porous media. The results showed that no evidence of preheating or heat loss could be sufficient to determine the flame limitations. Later, another parametric study was carried out in order to analyse the effect of the porosity and thermal conductivity. Obaid et al. [14] made investigation on burner diameters with respect to flame spreading. They used experiment methods by using combination of methane and air with ER ranging from 0.46-1.57. The results showed a great effect of geometry of the burner edges and the velocity of mixture on the quenching distance.

A numerical model with porous medium in combustion zone in case of burners and its applications have been studied extensively [15, 16]. Researchers presented a series of simulation models of heat transfer by considering porous media combustion. The process basically flows to investigated the inlet velocity, and the flame stability. In addition to the effect of the length and inner diameter of the porous wall on each of; the temperature distribution over the combustor, the limits of the flame stability, and the percentage of fuel conversion were also given importance [17]. Ni et al. [18] conducted a 3-D model of a porous micro-combustor with T-shaped and a ring-shaped rib. They made premixed H2/air. The work initially used literature data to validate the model, then reported the effects of each of the ribs shape. The inlet flow rate, the porosity, the size, and the location of the porous combustor were few key parameters considered. The results revealed that reduction in the temperature compared to the conventional combustor at specific velocity. On the other hand, the temperature distribution was affected by the size and the axial location of the combustor. As an overall, the proposed model could achieve higher energy conversion efficiency and more uniform temperature distribution on the outer wall. Lamioni et al. [19] conducted a numerical study to address the effect of hole density and pattern of perforated plate on flame structure in boiler burners. They showcased the mixture residence time and the flow recirculation, which was modified related to the geometry of perforated layer.

Vásquez et al. [20] solved a two-dimensional model using mathematical equations of CH4 combustion through a porous media. Result revealed typical behaviour of water in both considered cases of: stagnant and flowing. Also, the work proved the effectiveness of the porous media for water heating process for industrial applications. However, it is worth to mention the incomplete combustion to sintering phenomena. Wang et al. [21] built a 3-D numerical model in order to study the heat recirculation effects within a porous media on flame stability limits at channel heights of 2.0 mm, 2.5 mm, and 3.0 mm. The results indicate the stable flame presence with channel height 2 mm. However, the combustion limits almost unchanged due to the enhancement of the heat re circulation on the porous medium. A lot of research has been conducted in the last two decades across combustion with stove and many interesting observations are reported. The aim with presented work was to showcase the increase in the stability of the flame. In addition, better way of combustion, and enhance thermal efficiency by utilizing a porous media as a premixed and preheated fuel-air mixture in a burner [22-24]. Ali et al. [25] simulated a combustion in a low swirl domestic burner with lean premixed methane/air gas mixture.

Perforated plates are used in order to have uniform distribution of well-mixed air/fuel mixture and improve combustion efficiency with flame stabilization [26]. Rashwan et al. [27] investigated the effect of partial premixing and oxy-combustion on flame stability using perforated plate combustion chamber. Veetil et al. [28] performed a numerical study of the effect of structure of perforated premixed combustion of flame efficiency. Gamal et al. [29] focused in their experimental study on the effect of hole diameter and plate thickness of perforated plate on enhancing the combustion of LPG burner. Almyali and Dulaimi [30] examined the behaviour of LPG combustion using tubes. A data from numerical and experimental work was under acceptable limits.

Although, jet stabilization and perforated plate burners are widely showcased in various combustion applications, it remains an interesting topic for research and development of burner. There are many factors that directly influence the performance, some of them are hole diameter, layer thickness, thermophysical properties of the used materials and the combustion environment [29, 31]. Recently, Erdiwansyah et al. [32] utilized perforated plates in Fluidized-Bed Combustor to study the combustion temperature of biomass fuel. Pers et al. [33] looked up on flashback and dynamics of laminar combustion using perforated cylindrical burner. They used multiple perforated plate as a premixed layer of hydrogen - fuel mixture. Lamioni et al. [19] investigated the effect of geometry and configuration of perforated plate on flame distributions and arrangement in domestic boilers. Their simulation study revealed a great influence of inlet velocity with perforated plate patterns and configurations.

As shown in previous literature, most studies investigate the effect of the presence of porous media as a method of preheated and premixed on improving the combustion process. Despite its diverse uses, few studies pay marginal attention to the role of existence the perforated layer on enhancement the burner combustion. So, this study aims to build up a burner which can use Liquid Petroleum Gas (LPG) fuel which is very similar to the domestic stove. The work was directed towards in understanding the effect of layers of Gypsum perforated plate across combustion chamber. The intension was to report performance, thermal efficiency, flame temperature and stability, and gas emissions at different fuel to air ratio. In addition, Multi-Objective Optimization process was adopted to make work more relatable from the angle of optimization. This analysis was performed on burner with one, two and without perforated plate.

2. Methodology and Experimental Setup

The experimental setup was developed to get detailed information about thermal performance of perforated LPG perforated burner. In order to achieve exact estimation of the thermal performance of the proposed stove, it was necessary to measure each parameter carefully. Key parameters include temperatures measurement from the flame generated, amount of emissions produced across all the ER, and finally thermal efficiency from the combustion.

The schematic diagram of methodology was as shown in Figure 1. The burner was designed and prepared to operate with and without perforated plate. The experimental rig was tested to make sure there was no leakage of flue mixture. The required air and fuel flowrates calculated and set using pressure regulator. Temperature sensor were used to get information about flame temperature. Finally, a combative study was reported between perforated (one layer and two layers) and unperforated burner.

Figure 1. Flow chart of the experimental methodology

The main parameter of the combustion performance is Equivalent Ratio (ER). Equivalent ratio can be described as the ratio of stoichiometric air/fuel (theoretical value of A/F ratio for complete combustion) and the actual air/fuel ratio Eq. (1) [34].

$E R=\frac{A / F_{\text {Stoichiometric }}}{A / F_{\text {Actual }}}$    (1)

In this experimental study, various ERs were selected to analyze the thermal performance of perforated domestic LPG burner. The values were selected to cover the lean, moderate, rich combustions modes.

2.1 Employed procedure and data measurement

The experimental setup was prepared to achieve the research objectives. The main set of experimental set up shown in schematic diagrams in Figure 2 and Figure 3 contains LPG cylinder and air pump with control valve along with pressure regulator. This was made in order to measure and control the volume flow rates of both sides. This process leads to obtain the required ERs. The air and fuel were premixed before moving to the tube combustion chamber due to pressure differences. The tube is designed so that the number of perforated layers can be changed. The ignition process is used to start the combustion and produce flame.

The setup was completed in two stages; the first stage was developed to measure the flame temperatures at across various points starting from center and followed by gas emissions, as shown in Figure 2. The second stage was intended to evaluate the thermal efficiency of the burner as shown in Figure 3.

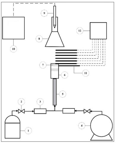
(1) LPG cylinder. (2) Control valve and pressure regulator. (3) Flowmeter. (4) Air pump. (5) Pre-mixer. (6) Combustion chamber. (7) Perforated plate. (8) Gas chimney. (9) Prob of gas analyzer. (10) Combustion gas analyzer. (11) K-type thermocouples. (12) Data acquisition system.

Figure 2. Schematic diagram of to measure flame temperature and emissions

In this research work, two experiments were tested sequentially. Initially, after obtaining the required ER and getting steady state flame was first priority. The steady state flame generation was obtained in a two minutes after the initial burning. The first set of data measurement, was taken with the help of seven K-type thermocouples. Then gas analyser are installed, as shown in Figure 2 to collet emission information. The emissions data collected in this experiment include CO, CO2, O2, and NOx. The device used was Kane AUTO plus 5-2 handheld gas analyzer. Next, thermal efficiency was calculated using first setup. The measurement setup of thermal efficiency is as shown in Figure 3. It was connected to the main experiment setup at the same ER and number of perforated layers. Thermal efficiency of at various ER and with/ without perforated plate was calculated using the following Equation [35].

$\eta_{t h}=\frac{m \times C \times\left(T_f-T_i\right)}{V \times \Delta t \times Q} \times 100 \%$      (2)

where, $\mathrm{m}$ was the mass of water and glass vessel, $C$ was the average specific heat of water and vessel, $T_i$ was temperature of water before boiling and $T_f$ temperature of water after boiling. In addition to $\mathrm{V}$ was the flow rate of LPG and $\Delta t$ was the time of boiling, and $Q$ was the calorific value of LPG.

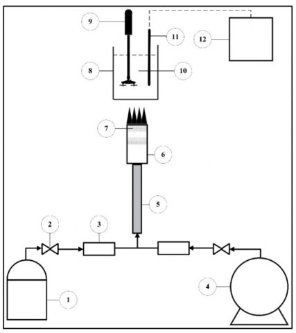
(1) LPG cylinder. (2) Pressure regulator and control valve. (3) Flowmeter. (4) Air pump. (5) Pre-mixer. (6) Combustion chamber. (7) Perforated plate. (8) Vessel. (9) Stirrer. (10) Distilled water. (11) K-type thermocouples. (12) Data acquisition system.

Figure 3. Schematic diagram to measure thermal efficiency

The experimental procedure used to measure the thermal efficiency include a glass vessel with 1 kg of distilled water at known temperature $\left(T_i\right)$ which was kept for boiling until it reached to $T_f$. During this boiling process the temperature of water was homogenized using electric stirrer [3]. These steps were repeated for different equivalent ratios and with/without perforated plates. Each result was recorded three times then the average was obtained.

2.2 Error and uncertainties

The uncertainty error while carrying out experiment trails was divided into two parts. The direct data taken from devices such as temperatures sensors and gas analyser are addressed in Table 1. Table 1 illustrates the uncertainties occurred in measuring devises. The uncertainty occurred in calculating thermal efficiency was predicted using the principle of propagation of errors [36, 37]. All measurements data collected to complete each experiment run was taken trice and the average value was considered. The uncertainty in this case can be predicted using following Eqs. (3)-(5) [2, 38].

$\tilde{x}=\frac{1}{n} \sum_{i=1}^n x_i$      (3)

$S_D=\sqrt{\left(\frac{1}{n-1} \sum_{i=1}^n\left(x_i-\tilde{x}\right)^2\right)}$   (4)

$\%$ Eror $=\frac{S_D}{\tilde{x}} \times 100 \%$   (5)

The errors of the considered apparatuses are illustrated in the following Table 1.

Table 1. Uncertainties of measuring instruments

Apparatus

Error

K-type thermocouple

± 1.1℃

Flow meters

± 0.1%

Pressure Transducers

± 0.16%

Kane AUTO plus gas analyzer

NOx ±12ppm, CO2 ±0.1Vol.%, CO ±0.06 Vol.%, HC ±3ppm

3. Results and Discussion

The performance of the system was investigated by considering the concept of equivalent ratio. In this work number of layers of the perforated plate were varied and gas emissions data was reported across all the ER. The flame temperature experiment was used to analyse the temperature of the flame at different points from the centre. Further, the two experiments were held in order to optimize stove designs for combustion efficiency and lower emissions. This can be done by expression the relation between the distance from the flame centre, the temperature, the ER, and the number of perforated plates.

3.1 Effect of perforated plate on flame temperature distribution

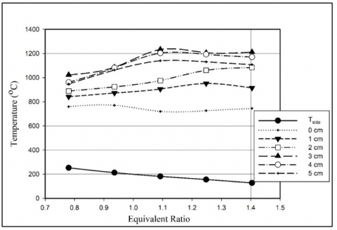
The flame temperature was reported at different positions from the flame centre. The same procedure was adopted and repeated for 0, 1, and 2 layers of the perforated plates. With respect to Figure 4, it can notice that the distance from the centre increases as the flame temperature rise. This is due to proper air distribution and more combustion as the distance from the centre increase. As well as, the temperature of the whole flame increases as the number of the perforated plates rise. As a result, the additive of perforated layers increases the performance of the stove and yields to higher temperature. A possible resins for this behaviour is due to the presence of perforated layer. It improves the mixing process between fuel and air and distributes it uniformly. Further it improves combustion efficiency and increases temperatures to much higher level. Gao et al. [39] in their review research found that the performance of combustion as a result of mixing process varies with respect to nozzle structure.

Figure 4. Flame temperature at difference distances from centre for high and low equivalent ratio at 0, 1, and 2 perforated layers

Figure 5. Produced temperature at different points from flame centre for different equivalent ratio without insertion of perforated layers

Figure 6. Produced temperature at different points from flame centre for different equivalent ratio with insertion of one perforated layer

The performance of the perforated plate is dependent on the equivalent ratio. Thus, the relation between the temperatures in the outer regions of the stove and different values of equivalent ratio was conducted in this research. The influence of existing perforated layers on flame stability and uniformity is highlighted in Figure 5-7. The relation between the equivalent ratio and temperature was first studied without any perforated layer. Figure 5 shows the equivalent ratio increases as the temperature rise. In contrast, the amount of air needed for combustion depends on the type of fuel. In order to ensure optimum fuel combustion, the required amount of air should be provided. The premixing of air and fuel ensures maximum smooth combustion with low energy losses [19].

As shown in Figure 6, and Figure 7 as the equivalent ratio increases with temperature. As the perforated layers increase the flame stability and uniformity increases. This is due to the uniform distribution of the air- fuel mixture at the combustion chamber. The curve tends either to decrease or continue to stay constant after certain ER value. It can be noted from Figure 6 and 7 that the additional layers contribute more stable and uniform combustion process because with a more perforated layers, the effect of ER is less. For example, the maximum flame temperature difference at higher equivalent ratio for one perforated layer was 540℃ while for two perforated layers was 420℃. It can be noted that additional layers contribute to a more stable and uniform combustion process. Also, the increase in perforated layers, the less effect of equivalent ratio difference on temperature. However, the side temperature keep reducing with rise of ER from 0, 1, and 2 layers as shown in Figures 5-7, respectively. This indicate of specific combustion dynamics or heat distribution patterns, which it needs further investigations.

Figure 7. Produced temperature at different points from flame centre for different equivalent ratio with insertion of two perforated layers

3.2 Effect of perforated plate on gas emissions

The performance emission parameters from gas was analysed using gas emission analyzer. The gas emissions were studied by taking into account CO, and NOX. The CO emissions data for 0, 1, and 2 perforated observed inverse relationships with equivalent ratio as shown in Figure 8. The increase in equivalent ratio leads to a more abundant supply of oxygen relative to LPG. Therefore optimal A/F ratios for achieving more efficient combustion [4]. In addition, this figure illustrates that the additional insertion of perforated layers decreases the CO emissions significantly. The maximum improvement was noticed with two perforated layers reaching up to 49% compared to without a perforated layer. Further, with one perforated layer the improvement was about 21%. This result can be explained by the evidence that the mixture of LPG and air is homogeneous in the case of the presence of a perforated layer. Therefore, the presence of perforated layers gives low CO emission due to complete combustion. This needs further research work that concern at the distance between the layers and its effect on the combustion performance.

Figure 8. Emissions of CO (ppm) at different equivalent ratio values for 0, 1, and 2 layers

In contrast, the NOX emissions was reported higher with the increase of ER and perforated layers as shown in Figure 9. As the ER rise the combustion resultants of NOX emissions increases. This phenomenon was attributed to complete combustion. Janvekar et al. [2] revealed that NOX emissions are dependent on the rheological properties of air-fuel mixture in addition to the structure of the burner. the same results was obtained by Hou et al. [40] They justified that the structure of the domestic stove has a high effect of the combustion performance. Higher NOx emissions produced by a homogeneous mixture [41]. In addition, changing the values of harmful CO and NOx emissions can be done by optimizing the structure of the domestic burner.

Figure 9. Emissions of NOx (ppm) at different equivalent ratio values for 0, 1, and 2 layers

3.3 Effect of perforated plate on thermal efficiency

Finally, the key indicator of stove performance is the thermal efficiency. As shown in Figure 10 as the equivalent ratio increases the thermal efficiency decreases. This result is due to increased fuel consumption even though combustion is complete. Many researchers have reported similar data for example, Ko and Lin [42] showed the higher heating value caused lower thermal efficiency. Haridass and Jayaraman [43] revealed that reaching the desired level of gas emissions caused adverse effects includes lower thermal efficiency. Contrary to the influence of ER, existing perforated plate layers caused higher thermal efficiency. It seems that perforated layers caused uniform and homogeneous of air- fuel mixture. That leads to conclude that enhancing the combustion can be done through the stove design. Further, similar approach were observed by Hou et al. [40]. They found that port design has a significant effect of the combustion performance because off the changes of flow type of air-fuel mixture.

Figure 10. Thermal efficiency at different equivalent ratio values for 0, 1, and 2 layers

3.4 Optimization process

Multi-Objective Optimization process was adopted to find the optimal case to choose the best combustion parameters for the configured burner. The main objective of this experiment is to enhance the performance of the combustion process. In this experimental research a Pareto optimal front (POF) was utilized to find the optimal case to suit research objectives [44]. The maximum thermal efficiency, higher flame temperature, and minimum harmful emission gases are the main objectives in present work. The set of experimental data is illustrated in Figure 11. In this figure, every point was considered as a solution with different number of perforated layer (0, 1, or 2) and different equivalent ratios (0.78, 0.936, 1.092, 1.248, or 1.404). Whereas, the selected outputs were thermal efficiencies, CO concentrations, and flame temperature at the distance of 3cm from the center of the burner.

Pareto set usually gives a number of solutions that achieves the main objectives [45]. Abubaker et al. [46] have modified POF to reduce the number of optimal solutions using the optimal computing allocation technique. The multi-objective optimization process using POF showed number of optimal solutions as shown in Table 2. It can be noted that all output data received utilizing two perforated layers are considering as optimal solutions.

A Comparison of similar studied investigated the domestic burner with different techniques are important to show the marks done in this research. Table 3 shows the comparing of main output of domestic stove between present technique and other research works.

Table 2. Optimal solutions using POF

Input

Output

No. of Perforated Layers

ER

T3 ()

Thermal Efficiency (%)

CO (ppm)

0

1.404

910

52

38

1

1.248

1180

73

72

2

0.78

1023

94

210

2

0.936

1086

91

147

2

1.092

1234

86

113

2

1.248

1206

82

89

2

1.404

1212

79

75

Figure 11. Total set experimental data

Table 3. Comparison between current research and the other some research works

 

Rashawan et al. [27]

Janvikar et al. [2]

Mujeebu et al. [10]

Gamal et al. [29]

Current Study

Method

perforated-plate

porous media

porous media

perforated-plate

perforated-plate

Fuel

methane–air

Butane-Air

LPG-Air

LPG-Air

LPG-Air

ER

0.6 -1.4

0.4-1.0

2.9

0.46 -0.82

0.78 -1.4

Thermal efficiency

NA

90%

56%

NA

94%

Max. Temp.

355 ℃

703 ℃

646 ℃

1250 ℃

1234 ℃

Min. CO concentration

10-30 ppm

Less than 55 ppm

21 ppm

0-50000 ppm

48 ppm

4. Conclusion

The presented experimental work was conducted with a novel approach of enhancing domestic LPG –air burner using perforated plates. The effect of number layers of perforated plat on combustion performance was studied and reported systematically. Importance was given on investigating gas emissions analysis, flame temperature, and thermal efficiency across various equivalent ratios (ER). The result indicate maximum flame temperature rises with increase in ER. The distance of maximum flame temperature points from flame centre was dependent on ER value as well as number of perforated layers. However, the insertion of perforated plates has increased the overall temperature of the flame. Installation of perforated plates can reduce CO concentration. This leads to better thermal efficiency. Multi-Objective Optimization process using Pareto optimal front (POF) showed that the optimal cases when using two perforated layers suits given conditions in best possible way. Further investigation needs to studying the effect of many other parameters such as hole geometry and density, diameter of burner, and thermal conductivity of perforated plate, etc.

Acknowledgment

The research reported in this publication was funded by the Deanship of Scientific Research and Innovation at Al-Balqa Applied University in Jordan under Award Number DSR-2022#432.

  References

[1] Janvekar, A.A., Abdullah, M.Z., Ahmad, Z.A., Abas, A., Zuber, M., Ismail, A.K., Hussien, A., Kataraki, P., Mohamed, M., Bashir, M., Husin, A., Fadzli, K. (2018). Experimental and numerical studies of porous media combustion in micro burner. Journal of Advanced Research in Fluid Mechanics and Thermal Sciences, 43(1): 112-120. 

[2] Janvekar, A.A., Miskam, M.A., Abas, A., Ahmad, Z.A., Juntakan, T., Abdullah, M.Z. (2017). Effects of the preheat layer thickness on surface/submerged flame during porous media combustion of micro burner. Energy, 122: 103-110. https://doi.org/10.1016/j.energy.2017.01.056

[3] Boggavarapu, P., Ray, B., Ravikrishna, R.V. (2014). Thermal efficiency of LPG and PNG-fired burners: Experimental and numerical studies. Fuel, 116: 709-715. https://doi.org/10.1016/j.fuel.2013.08.054

[4] Kuntikana, P., Prabhu, S.V. (2017). Thermal investigations on methane-air premixed flame jets of multi-port burners. Energy, 123: 218-228. https://doi.org/10.1016/j.energy.2017.01.122

[5] Dahiya, D., Lather, R.S., Bhatia, P. (2016). Improvement of the domestic LPG cooking stoves: A review. Indian Journal of Science and Technology, 9(S1): 1-8. https://doi.org/10.17485/ijst/2016/v9is1/105856

[6] Yuan, C., Sadikov, K., Varfolomeev, M., Khaliullin, R., Pu, W., Al-Muntaser, A., Mehrabi-Kalajahi, S.S. (2020). Low-temperature combustion behavior of crude oils in porous media under air flow condition for in-situ combustion (ISC) process. Fuel, 259: 116293. https://doi.org/10.1016/j.fuel.2019.116293

[7] Manjhi, S.K., Kumar, R., Barad, D. (2020). Conduction-based standardization of K-type coaxial thermocouple for short-duration transient heat flux measurement. Advances in Mechanical Engineering, 699-707. https://doi.org/10.1007/978-981-15-0124-1_63

[8] Janvekar, A.A., Abdullah, M.Z., Ahmad, Z.A., Abas, A., Hussien, A.A., Kataraki, P.S., Mohamed, T.D.M., Husin, A., Fadzli, K. (2018). Investigation of micro burner performance during porous media combustion for surface and submerged flames. IOP Conference Series: Materials Science and Engineering, 370(1): 012049. https://doi.org/10.1088/1757-899x/370/1/012049

[9] Janvekar, A.A., Abdullah, M.Z., Ahmad, Z.A., Abas, A., Hussien, A.A., Bashir, M., Azam, Q. (2017). Assessment of porous media burner for surface/submerged flame during porous media combustion. AIP Conference Proceedings, 1818(1): 020020. https://doi.org/10.1063/1.4976884

[10] Mujeebu, M.A., Abdullah, M.Z., A. Bakar, M.Z., Mohamad, A.A. (2011). A mesoscale premixed LPG burner with surface combustion in porous ceramic foam. Energy Sources, Part A: Recovery, Utilization, and Environmental Effects, 34(1): 9-18. https://doi.org/10.1080/15567030903515062

[11] Sobhani, S., Legg, J., Bartz, D.F., Kojima, J.J., Chang, C.T., Sullivan, J.D., Moder, J.P., Ihme, M. (2020). Experimental investigation of lean premixed pre-vaporized liquid-fuel combustion in porous media burners at elevated pressures up to 20 bar. Combustion and Flame, 212: 123-134. https://doi.org/10.1016/j.combustflame.2019.10.033

[12] Dehaj, M.S., Solghar, A.A. (2019). Study of natural gas/air combustion in the three-region porous medium burner. Journal of the Brazilian Society of Mechanical Sciences and Engineering, 41: 137. https://doi.org/10.1007/s40430-019-1637-7

[13] Li, Q.Q., Li, J., Shi, J.R., Guo, Z.L. (2019). Effects of heat transfer on flame stability limits in a planar micro-combustor partially filled with porous medium. Proceedings of the Combustion Institute, 37(4): 5645-5654. https://doi.org/10.1016/j.proci.2018.06.023

[14] Obaid, L.T., Wahhab, H.A.A., Chaichan, M.T., Fayad, M.A., Al-Sumaily, G.F. (2023). Influence of burner diameter on premixed flame shape and quenching. International Journal of Computational Methods and Experimental Measurements, 11(4): 245-250. https://doi.org/10.18280/ijcmem.110406

[15] Qian, P., Liu, M.H., Li, X.L., Xie, F.B., Huang, Z.Z., Luo, C.Y., Zhu, X.G. (2020). Effects of bluff-body on the thermal performance of micro thermophotovoltaic system based on porous media combustion. Applied Thermal Engineering, 174: 115281. https://doi.org/10.1016/j.applthermaleng.2020.115281

[16] Ferguson, J.C., Sobhani, S., Ihme, M. (2021). Pore-resolved simulations of porous media combustion with conjugate heat transfer. Proceedings of the Combustion Institute, 38(2): 2127-2134. https://doi.org/10.1016/j.proci.2020.06.064

[17] Mollamahdi, M., Hashemi, S.A. (2020). The effects of porous wall as a novel flame stabilization method on flame characteristics in a premixed burner for CH4/air mixture by numerical simulation. Proceedings of the Institution of Mechanical Engineers, Part A: Journal of Power and Energy, 234(2): 211-225. https://doi.org/10.1177/0957650919854906

[18] Ni, S., Zhao, D., Becker, S., Tang, A. (2020). Thermodynamics and entropy generation studies of a T-shaped micro-combustor: Effects of porous medium and ring-shaped ribs. Applied Thermal Engineering, 175: 115374. https://doi.org/10.1016/j.applthermaleng.2020.115374

[19] Lamioni, R., Bronzoni, C., Folli, M., Tognotti, L., Galletti, C. (2023). Effect of slit pattern on the structure of premixed flames issuing from perforated burners in domestic condensing boilers. Combustion Theory and Modelling, 27(2): 218-243. https://doi.org/10.2139/ssrn.3997692

[20] Vásquez, D., Maya, J.C., Manrique, R., Ceballos, C., Chejne, F. (2020). Development of a low-temperature water heating system based on the combustion of CH4 in porous-media. Energy, 209: 118461. https://doi.org/10.1016/j.energy.2020.118461

[21] Wang, W., Zuo, Z.X., Liu, J.X. (2019). Experimental study and numerical analysis of the scaling effect on the flame stabilization of propane/air mixture in the micro-scale porous combustor. Energy, 174: 509-518. https://doi.org/10.1016/j.energy.2019.02.123

[22] Liang, X., Li, Y.W., He, Z., Wang, Q.H., Chen, Y.Y., Xu, X.C., Aneziris, C.G. (2019). Design of three-layered struts in SiC reticulated porous ceramics for porous burner. Ceramics International, 45(7): 8571-8576. https://doi.org/10.1016/j.ceramint.2019.01.175

[23] Chen, X.J., Li, J.W., Feng, M., Zhao, D., Shi, B.L., Wang, N.F. (2019). Flame stability and combustion characteristics of liquid fuel in a meso-scale burner with porous media. Fuel, 251: 249-259. https://doi.org/10.1016/j.fuel.2019.04.011

[24] Peng, Q.G., Yang, W.M., Jiaqiang, E., Xu, H.P., Li, Z.W., Yu, W.B., Wu, Y.F. (2019). Experimental investigation on premixed hydrogen/air combustion in varied size combustors inserted with porous medium for thermophotovoltaic system applications. Energy Conversion and Management, 200: 112086. https://doi.org/10.1016/j.enconman.2019.112086

[25] Ali, A.B., Karkoub, M., Chrigui, M. (2021). Numerical investigation of turbulent premixed combustion of methane/air in low swirl burner under elevated pressures and temperatures. International Journal of Heat and Technology, 39(1): 155-160. https://doi.org/10.18280/ijht.390116

[26] Hindasageri, V., Kuntikana, P., Vedula, R.P., Prabhu, S.V. (2015). An experimental and numerical investigation of heat transfer distribution of perforated plate burner flames impinging on a flat plate. International Journal of Thermal Sciences, 94: 156-169. https://doi.org/10.1016/j.ijthermalsci.2015.02.021

[27] Rashwan, S.S., Ibrahim, A.H., Abou-Arab, T.W., Nemitallah, M.A., Habib, M.A. (2016). Experimental investigation of partially premixed methane–air and methane–oxygen flames stabilized over a perforated-plate burner. Applied Energy, 169: 126-137. https://doi.org/10.1016/j.apenergy.2016.02.047

[28] Veetil, J.E., Aravind, B., Mohammad, A., Kumar, S., Velamati, R.K. (2018). Effect of hole pattern on the structure of small scale perorated plate burner flames. Fuel, 216: 722-733. https://doi.org/10.1016/j.fuel.2017.12.057

[29] Gamal, A.M., Ibrahim, A.H., Ali, E.M.M., Elmahallawy, F.M., Abdelhafez, A., Nemitallah, M.A., Habib, M.A. (2017). Structure and lean extinction of premixed flames stabilized on conductive perforated plates. Energy & Fuels, 31(2): 1980-1992. https://doi.org/10.1021/acs.energyfuels.6b02874

[30] Almyali, H.M., Dulaimi, Z.M.A. (2023). Dynamic Behaviors of Flame Propagation in Premixed Iraqi LPG-Air in a Horizontal Cylindrical Combustion Chamber. International Journal of Heat & Technology, 41(6): 1521-1532. https://doi.org/10.18280/ijht.410614

[31] Masri, A.R., Dibble, R.W., Barlow, R.S. (1996). The structure of turbulent nonpremixed flames revealed by Raman-Rayleigh-LIF measurements. Progress in Energy and Combustion Science, 22(4): 307-362. https://doi.org/10.1016/s0360-1285(96)00009-3

[32] Erdiwansyah, E., Mahidin, M., Husin, H., Nasaruddin, N., Gani, A. (2023). Effect of modification perforated plate for combustion temperature in fluidized-bed combustor. Mathematical Modelling of Engineering Problems, 10(1): 360-365. https://doi.org/10.18280/mmep.100142

[33] Pers, H., Aniello, A., Morisseau, F., Schuller, T. (2023). Autoignition-induced flashback in hydrogen-enriched laminar premixed burners. International Journal of Hydrogen Energy, 48(27): 10235-10249. https://doi.org/10.1016/j.ijhydene.2022.12.041

[34] Janvekar, A.A., Abdullah, M.Z., Ahmad, Z.A., Abas, A., Hussien, A.A., Bashir, M., Azam, Q., Desai, M.Z. (2018). Assessment of porous media combustion with foam porous media for surface/submerged flame. Materials Today: Proceedings, 5(10): 20865-20873. https://doi.org/10.1016/j.matpr.2018.06.473

[35] Peng, Q.G., Jiaqiang, E., Chen, J.W., Zuo, W., Zhao, X.H., Zhang, Z.Q. (2018). Investigation on the effects of wall thickness and porous media on the thermal performance of a non-premixed hydrogen fueled cylindrical micro combustor. Energy Conversion and Management, 155: 276-286. https://doi.org/10.1016/j.enconman.2017.10.095

[36] Harun Kumar, M., Dhana Raju, V., Kishore, P.S., Venu, H. (2020). Influence of injection timing on the performance, combustion and emission characteristics of diesel engine powered with tamarind seed biodiesel blend. International Journal of Ambient Energy, 41(9): 1007-1015. https://doi.org/10.1080/01430750.2018.1501741

[37] Zhang, N., Huang, Z.H., Wang, X.G., Zheng, B. (2011). Combustion and emission characteristics of a turbo-charged common rail diesel engine fuelled with diesel-biodiesel-DEE blends. Frontiers in Energy, 5: 104-114. https://doi.org/10.1007/s11708-011-0138-x

[38] Mustafa, K.F., Abdullah, S., Abdullah, M.Z., Sopian, K.B. (2015). Combustion characteristics of butane porous burner for thermoelectric power generation. Journal of Combustion, 2015: 1-13. https://doi.org/10.1155/2015/121487

[39] Gao, W.X., Hu, Y.J., Yan, R.S., Yan, W.T., Yang, M.C., Miao, Q.W., Yang, L., Wang, Y. (2023). Comprehensive review on thermal performance enhancement of domestic gas stoves. ACS Omega, 8(30): 26663-26684. https://doi.org/10.1021/acsomega.3c01628

[40] Hou, S.S., Lee, C.Y., Lin, T.H. (2007). Efficiency and emissions of a new domestic gas burner with a swirling flame. Energy Conversion and Management, 48(5): 1401-1410. https://doi.org/10.1016/j.enconman.2006.12.001

[41] Cao, D.N., Hoang, A.T., Luu, H.Q., Bui, V.G., Tran, T.T.H. (2020). Effects of injection pressure on the NOx and PM emission control of diesel engine: A review under the aspect of PCCI combustion condition. Energy Sources Part A Recovery Utilization and Environmental Effects, 1-18. https://doi.org/10.1080/15567036.2020.1754531

[42] Ko, Y.C., Lin, T.H. (2003). Emissions and efficiency of a domestic gas stove burning natural gases with various compositions. Energy Conversion and Management, 44(19): 3001-3014. https://doi.org/10.1016/s0196-8904(03)00074-8

[43] Haridass, M., Jayaraman, M. (2018). Performance of multi-cylinder diesel engine fueled with mahua biodiesel using Selective Catalytic Reduction (SCR) technique. Energy Sources, Part A: Recovery, Utilization and Environmental Effects, 40(1): 1-9. https://doi.org/10.1080/15567036.2018.1487489

[44] Deb, M., Banerjee, R., Majumder, A., Sastry, G.R.K. (2014). Multi objective optimization of performance parameters of a single cylinder diesel engine with hydrogen as a dual fuel using pareto-based genetic algorithm. International journal of hydrogen energy, 39(15): 8063-8077. https://doi.org/10.1016/j.ijhydene.2014.03.045

[45] Abubaker, A., Baharum, A., Alrefaei, M.H. (2019). A pruned Pareto set for multi-objective optimisation problems via particle swarm and simulated annealing. International Journal of Operational Research, 35(1): 67-86. https://doi.org/10.1504/ijor.2019.10021034

[46] Abubaker, A., Baharum, A., Alrefaei, M. (2014). Good solution for multi-objective optimization problem. AIP Conference Proceedings, 1605(1): 1147-1152. https://doi.org/10.1063/1.4887752