Artificial Neural Networks Oriented Testbed for Multiantenna Wireless Application

Artificial Neural Networks Oriented Testbed for Multiantenna Wireless Application

S Sathiya Priya M PremkumarM Arun Vikash Sachan 

Department of ECE, Panimalar Institute of Technology, Chennai, Tamil Nadu 600123, India

Department of ECE, Ambedkar Institute of Technology for Handicapped, Kanpur, Uttar Pradesh 208024, India

Corresponding Author Email: 
ermpremkumar@yahoo.co.in
Page: 
7-12
|
DOI: 
https://doi.org/10.18280/i2m.210102
Received: 
4 November 2021
|
Revised: 
3 January 2022
|
Accepted: 
12 January 2022
|
Available online: 
28 February 2022
| Citation

© 2022 IIETA. This article is published by IIETA and is licensed under the CC BY 4.0 license (http://creativecommons.org/licenses/by/4.0/).

OPEN ACCESS

Abstract: 

This research article provides viable research solutions by using Artificial Neural Networks (ANN) for Multiantenna wireless applications with less computational complexity. Artificial Neural Networks Oriented Testbed (ANNOT) is proposed where intelligence through artificial neurons are exploited for training multiantenna wireless application. A feedforward backpropagation network is trained with the required input parameters using training algorithms and its convergence for iterations for target parameters are simulated and developed. The ANNOT intelligently provides the required outputs from the trained values when validated for the tested output parameter in Multiantenna wireless application such as data transmission. Testbed input target parameters are bandwidth, signal power, channel statistics, noise power and output parameters metrics are capacity, probability of error which are executed in matrix laboratory (MATLAB). Obtained results are analyzed in gradient based algorithms and variants of neural networks for mean square error (MSE) against number of iterations/epochs which provide optimized results from ANNOT with less computational complexity. Validation results are also obtained for capacity and probability of error for data transmission multiantenna wireless application.

Keywords: 

artificial neural networks, multiantenna, mean square error, capacity, probability of error

1. Introduction

Artificial Neural Networks [1, 2] are considered as suitable predictors to obtain the multiantenna [3] or multiple input multiple output (MIMO) wireless application metrics such as capacity [4] and probability of error before being implemented in real time applications. In real time multiantenna wireless application such as data transmission in single user or multiuser schemes [5] with efficient modulation techniques such as orthogonal frequency division multiplexing (OFDM) supports higher data rates, and reliability in data transmission using subcarriers. Information transmission in multiantenna wireless chain involves text, image and video signals to be transmitted and received which is very significant in any wireless network scenario involving sensors or as that of wireless relays for long distance transmission in frequency flat or frequency selective fading channel [6]. For multiantenna wireless applications, massive MIMO, millimeter wave (mm Wave) technologies [7] are revolutionizing globally for aiding towards 5G and 6G wireless systems [8] which can contribute towards diversity in aspects of time, frequency and antenna. Before going in for implementation with multiantenna wireless application such as data transmission we can realize it with artificial neural networks (ANN). ANN can be used for wireless networks [9] which are front runner optimization tools for many engineering applications and the reason behind is that it can reduce computational complexity in terms of implementation cost for assessing performance metrics such as capacity and probability of error for multiantenna wireless applications.

Number of research literatures are dealt with wireless systems using ANN [9-14]. The research work done in Ref. [9] presents localization in wireless sensor networks using ANN. Application of wireless networks in neural networks is proposed in the work of Ahad et al. [10] and usage of mobile agents for localization in wireless sensor networks is portrayed in literature paper of Basavaraj and Sumathi [11]. Predicting the wireless channel features using ANN is given in ref. [12] which can be either a flat fading channel, frequency selective fading in scenarios of slow fading channel or fast fading channel. Usage of Artificial Intelligence (AI) in 5G wireless networks is addressed in ref. [13]. For 5G wireless systems channel state information (CSI) is obtained via neural networks approach [14] and Zheng and Yun [15] give wireless network capacity with fuzzy wavelet neural network technique. Though all the research works have been dealt with realization of neural networks, this research paper contributes capacity and probability of error of multiantenna wireless application using Artificial Neural Networks strategy. Hence to aid multiantenna wireless applications such as data transmission, ANN techniques are proposed here. In this paper multiantenna wireless application data transmission metrics are realized using Artificial Neural Network Oriented Testbed (ANNOT) experimental arrangement. ANNOT operates by using numerical optimization techniques using backpropagation (BP) algorithm [16] and its variations. Numerical Optimization techniques such as conjugate gradient (CG), resilent backpropagation (RP) and Levenberg Marquardt (LM) methods [17, 18] are employed and these methods have faster convergence in reaching towards the target. Simulation results are observed from the realized/trained ANNOT and it can be used as a prerequisite before testing/validating in any hardware experimental setup in data transmission applications.

The research paper is written in the following manner. Section 1 presents the introduction section, section 2 presents the ANNOT experimental testbed, section 3 presents multiantenna wireless application for data transmission, section 4 graphically explains the simulation results of ANN arrangement and section 5 gives conclusion remarks.

2. ANNOT Experimental Testbed

Artificial Neural Networks is a tandem of using AI and algorithms which aid to have convergence in reaching towards a particular target or an objective. ANN are biologically conceived from a neuron and extending it towards multiple neurons where its combination is represented as multilayer arrangement [18]. An arrangement in the form of testbed coined as ANNOT comprises of M neurons in the first layer which represent the input layers which are input parameters, followed by an intermediate layer with a set of M neurons called as hidden layers and finally M neurons in output layer. Figure 1 shows the Artificial Neural Network Oriented Testbed (ANNOT) arrangement.

Figure 1. Artificial neural network oriented testbed layer arrangement

To make the ANNOT predict or realize the intended multiantenna wireless application such as data transmission the input parameters are given to the input layer which process them and feedforwards them to the hidden layers where the activation functions are applied for convergence quantified as epochs/iterations. The activation functions commonly used are log sigmoidal function, tangent-sigmoid and purelin activation functions. Further the hidden layers feedforward to the output layer where the desired output is obtained via the output layers from training. Backpropagation training algorithm is used in ANNOT arrangement which are feedforward networks where the usage of convergence algorithms such as Levenberg Marquardt (LM) algorithm, conjugate gradient (CG) and resilient backpropagation (RP) help in faster convergence. The number of neurons in the input layer are governed by the input parameters and number of neurons in the output layer are governed by the output layer. By this arrangement the ANNOT is trained for specific set of input parameters which creates a form of Artificial Intelligence and using this intelligent knowledge when tested or validated with set of inputs the ANNOT produces the required outputs which are targets. The steps involved in training the ANNOT using Backpropagation algorithm are as follows:

Step 1: Initialize the input values (or) input parameters in vector form to the input layer in the Testbed.

Step 2: Apply activation functions for values in the hidden layer for obtained input layer values.

Step 3: Obtain the output values in vector form from the output layer.

Step 4: Obtain the error vector where error is the difference of output vector and expected output vector.

Step 5: Repeat step 1 till error value is reduced in the form of mean square error (MSE) which is loss function constructed as step 4 and till convergence of iterations/epochs are reached.

3. Multiantenna Wireless Application for Data Transmission

In this section we define the problem statement where data transmission in multiantenna wireless application is addressed. Prior to designing any wireless transceiver chain for optimized performance the concept of ANN based realization is put forth to assess its metrics such as capacity and probability of error [19]. Multiantenna wireless applications employ using multiple antennas at the transmitter and receiver where it provides increased gain in the form of diversity gain which is the product of number of transmit and receive antennas [20]. Multiantenna wireless systems provides increased spectral efficiency, reliability, coverage and increased overall system performance. When a wireless multiantenna system with Nt transmitter and Nr receiver antennas are considered the received signal at the receiver is represented as

$\boldsymbol{Y}_{r}=\boldsymbol{H} \boldsymbol{S}+\boldsymbol{N}_{r}$    (1)

where, H is Nr x Nt channel matrix, S is Nt x Nt Data symbol matrix used for data transmission following digital modulation scheme which can be either binary phase shift keying (BPSK) [20], quadrature phase shift keying (QPSK) [21] or orthogonal frequency division multiplexing (OFDM). To assess the capacity [22] of multiantenna scheme it is straightforward to write the expression as

$C=B \log _{2}\left(1+\|\boldsymbol{H}\|^{2} \frac{S}{N}\right)$    (2)

where, B is the Bandwidth in Hertz, $\frac{S}{N}$  is signal to noise ratio and H is the multiantenna or MIMO channel matrix. Further, the probability of error for BPSK digital modulation scheme in fading channels is given as

$P_{e}=\frac{1}{2}\left(1-\sqrt{\frac{\frac{S}{N}}{\left(1+\frac{S}{N}\right)}}\right)$    (3)

The multiantenna wireless channel under flat fading also nonline of sight (NLOS) is considered to have Rayleigh distribution with probability density function (PDF) which mathematically takes the form [21].

$f(h)=\left\{\begin{array}{cl}\frac{h}{\sigma^{2}} \exp \left(\frac{h^{2}}{2 \sigma^{2}}\right) ; & 0 \leq h \leq \infty \\ 0 & ; \quad(0<h)\end{array}\right\}$    (4)

where, σ2 is the average power in the wireless channel. The model of capacity and error probability can be given by mathematical expression by Eq. (2) and Eq. (3). Whatever might be the modulation scheme this ANNOT testbed can be used for data transmission and reception of information bits.

4. Simulations Results and Discussions

Simulation results for ANNOT Multiantenna wireless application for capacity analysis and probability of error are obtained using neural network (NN) toolbox in MATLAB environment in multiantenna wireless channel environment. Training algorithms are Levenberg Marquardt (LM), Broyden Fletcher Goldfarb Shannon (BFGS) and variant Resilient Backpropagation algorithms which are also variants of neural networks. Feedforward Backpropagation NN with tangent sigmoidal (tansig) and linear (purelin) activation functions are used to train the network with input parameters.  

Figure 2. Training performance in ANNOT for capacity of wireless application using trainlm, mean square error analysis

Figure 3. Training performance in ANNOT for capacity of wireless application using trainbfg, mean square error analysis

Figure 2 shows the obtained training results for a single input, a hidden layer and an output layer in the ANN using LM algorithm for output parameter capacity and input parameters such as bandwidth, wireless channel matrix and signal to noise ratio (SNR). The LM algorithm converges at 29 iterations with mean square (MSE) of 10-3 and also performance of tansig activation convergence function on how the ANN converges with data fit line. The LM algorithm operates along the negative gradient of direction and converges at a faster rate.

Figure 3 and Figure 4 show the performance obtained using BFGS and RP NN algorithm which are variants and numerically optimize and produce the target parameter of capacity by taking 31 iterations and 100 iterations to converge. The reason for BFGS for 31 iterations is that it uses gradient with positive rate and RP algorithm 100 iterations alternately uses gradient positive or negative to take increased iterations which increases more computational complexity. Hence, they tend to converge at a slower rate by virtue of conjugate gradient along the direction of convergence in comparison to Figure 2 for LM algorithm which takes lesser number of iterations and thereby reduces computational complexity. Table 1 shows ANNOT analysis for various training algorithms with MSE and iterations/epochs.

Figure 4. Training performance in ANNOT for capacity of wireless application using trainrp, mean square error analysis

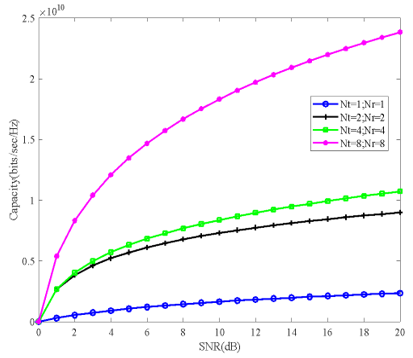
Figure 5 shows signal to noise ratio against capacity or spectral efficiency (bits/sec/Hz) obtained from the ANNOT experimental setup. For single antenna in the wireless transceiver chain at 10 dB SNR, capacity is 0.2 x 1010 bits/sec/Hz. When multiantenna wireless application is considered for 2 antennas the capacity reaches to 0.6 x 1010 bits/sec/Hz, 4 antennas case it is 0.8 x 1010 bits/sec/Hz and 8 antennas scenario it is 1.8 x 1010 bits/sec/Hz. The capacity increases due to gain which is product of Nt x Nr which plays a role in modeling of its output indicators. Similarly, for Multiantenna wireless application capacity analysis the required number of iterations and mean square error are given in Table 2 and for trainlm as given in Figure 6. From the obtained execution results it infers that Levenberg Marquardt (LM) takes less number of iterations/epochs to reach the MIMO capacity matrix by virture of less computational complexity in concatenation with single antenna case results projected in Table 1.

Table 1. ANNOT analysis via training algorithms

Output Parameter- Capacity/Spectral Efficiency (bits/sec/Hz)

Input Parameters

NN Algorithms

Mean Square Error (MSE)

Iterations/Epochs

Bandwidth Signal Power

Levenberg Marquardt (LM)

10-3

28

Noise Power

Broyden Fletcher Goldfarb Shannon (BFGS)

10-3

31

Fading channel

Resilient Backpropagation algorithm (RP)

10-2.5

100

Table 2. Multiantenna ANNOT analysis via training algorithms

Output Parameter- Multiantenna Capacity/Spectral Efficiency (bits/sec/Hz)

Input Parameters

NN Algorithms

Mean Square Error (MSE)

Iterations/Epochs

Bandwidth Signal Power

Levenberg Marquardt (LM)

10-3

49

Noise Power Multiantenna

Broyden Fletcher Goldfarb Shannon (BFGS)

10-3

94

Fading channel (or) MIMO Channel matrix

Resilient Backpropagation algorithm (RP)

10-3

126

Figure 5. Capacity analysis using ANNOT for multiantenna wireless application

Figure 6. Training performance in multiantenna ANNOT for capacity of wireless application using trainlm, mean square error analysis

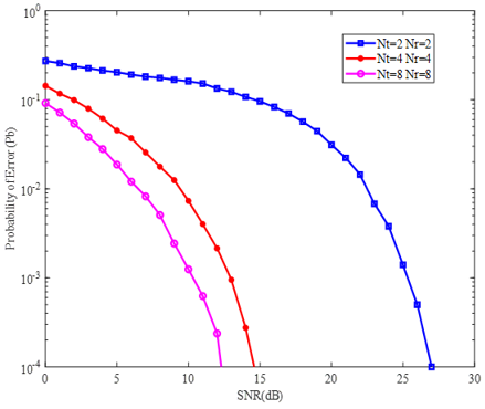
Figure 7 shows the obtained probability of error for ANNOT multiantenna wireless application for data transmission. To achieve a probability of error of 10-2, 2 antennas take 23 dB, 4 antennas take 11 dB and 8 antennas take 8 dB for antennas at transmitter and receiver. As the number of antennas increases at transmitting and receiving ends simultaneously the power requirement in terms of SNR reduces as antennas provide significant diversity gain for modeling of indicators. This sort of ANN oriented analysis can be useful while going in for implementation aspects of upcoming massive MIMO systems.

Figure 7. Probability of error analysis for multiantenna wireless application

5. Conclusions

ANN oriented testbed proposed via this research article for multiantenna wireless application data transmission has given significant research findings which will be helpful for analyzing and assessing forthcoming 5G and 6G systems. Capacity and probability of error obtained from the trained neural network is obtained which can lead to provide less computational complexity in terms of iterations for convergence MSE and iterations/epochs. Prior to being implemented in real time multiantenna wireless applications this ANNOT setup will provide better insights where data rates of the order of Gbps are prevalent. In future this work can be extended for neuro fuzzy systems as well as realizing massive MIMO systems. 

  References

[1] Patnaik, A., Anagnostou, D.E., Mishra, R.K., Christodoulou, C.G., Lyke, J.C. (2004). Applications of neural networks in wireless communications. IEEE Antennas and Propagation Magazine, 46(3): 130-137. https://doi.org/10.1109/MAP.2004.1374125

[2] Chen, C.S. (2012). Artificial neural network for location estimation in wireless communication systems. Sensors (Basel), 12(3): 2798-2817. https://doi.org/10.3390/s120302798

[3] Sachan, V., Kumar, I., Shankar, R., Mishra, R.K. (2018). Analysis of transmit antenna selection based selective decode forward cooperative communication protocol. Traitement du Signal, 35(1): 47-60. https://doi.org/10.3166/TS.35.47-60 

[4] Sachan, V., Mishra, R.K. (2019). Uplink sum rate and capacity of hybrid precoding mmWave massive MIMO system. Traitement du Signal, 36(2): 155-160. https://doi.org/10.18280/ts.360205

[5] Bagadi, K.P., Das, S. (2012). Neural network based adaptive multiuser detection schemes in SDMA-OFDM system for wireless application. Journal of Neural Computing and Applications, 23(3-4): 1071-1082. https://doi.org/10.1007/s00521-012-1033-z

[6] Kumar, I., Sachan, V., Shankar, R., Mishra, R.K. (2018). An investigation of wireless S-DF hybrid satellite terrestrial relaying network over time selective fading channel. Traitement du Signal, 35(2): 103-120. https://doi.org/10.3166/TS.35.103-120

[7] Busari, S.A., Huq, K.M.S., Mumtaz, S., Dai, L., Rodriguez, J. (2018). Millimeter-wave massive MIMO communication for future wireless systems: A survey. IEEE Communications Surveys & Tutorials, 20(2): 836-869. https://doi.org/10.1109/COMST.2017.2787460

[8] Tataria, H., Shafi, M., Molisch, M.A.F., Dohler, M., Sjöland, H., Tufvesson, F. (2021). 6G wireless systems: Vision, requirements, challenges, insights, and opportunities. Proceedings of the IEEE, 109(7): 1166-1199.

[9] Sun, Y.L., Zhang, X.Z., Wang, X.C., Zhang, X.G. (2018). Device-free wireless localization using artificial neural networks in wireless sensor networks. Wireless Communications and Mobile Computing, 2018: 4201367. https://doi.org/10.1155/2018/4201367

[10] Ahad, N., Qadir, J., Ahsan, N. (2016). Neural networks in wireless networks: Techniques, applications and guidelines. Journal of Network and Computer Applications, 68: 1-27. https://doi.org/10.1016/j.jnca.2016.04.006

[11] Basavaraj, M., Sumathi, R. (2021). Artificial neural network approach using mobile agent for localization in wireless sensor networks. Advances in Science, Technology and Engineering Systems Journal, 6(1): 1137-1144. https://doi.org/10.25046/aj0601127

[12] Navabi, S., Wang, C.W., Bursalioglu, O.Y., Papadopoulos, H. (2018). Predicting wireless channel features using neural networks. 2018 IEEE International Conference on Communications (ICC), pp. 1-6.

[13] Wang, C.X., Di Renzo, M., Stanczak, S., Wang, S., Larsson, E.G. (2020). Artificial intelligence enabled wireless networking for 5G and beyond: Recent advances and future challenges. IEEE Wireless Communications, 27(1): 16-23. https://doi.org/10.1109/MWC.001.1900292

[14] Essai Ali, M.H., Taha, I.B.M. (2021). Channel state information estimation for 5G wireless communication systems: recurrent neural networks approach. PeerJ Comput. Sci., 7: e682. https://doi.org/10.7717/peerj-cs.682

[15] Zheng, B., Yun, D.W. (2021). A wireless network communication capacity control technology based on fuzzy wavelet neural network. Wireless Communications and Mobile Computing, 2021: 9994200. https://doi.org/10.1155/2021/9994200

[16] Mukherjee, A., Jain, D.K., Goswami, P., Xin, Q., Yang, L.X., Rodrigues, J.J.P.C. (2020). Back propagation neural network based cluster head identification in MIMO sensor networks for intelligent transportation systems. IEEE Access, 8: 28524-28532. https://doi.org/10.1109/ACCESS.2020.2971969

[17] Sotiroudis, S.P., Goudos, S.K., Gotsis, K.A., Siakavara, K., Sahalos, J.N. (2013). Modeling by optimal Artificial Neural Networks the prediction of propagation path loss in urban environments. 2013 IEEE-APS Topical Conference on Antennas and Propagation in Wireless Communications (APWC), Turin, Italy, pp. 599-602. https://doi.org/10.1109/APWC.2013.6624896

[18] Popoola, S.I., Jefia, A., Atayero, A.A., Kingsley, O., Faruk, N., Oseni, O.F., Abolade, R.O. (2019). Determination of neural network parameters for path loss prediction. IEEE Access, 7: 150462-150483. https://doi.org/10.1109/ACCESS.2019.2947009

[19] Premkumar, M, Chitra, M.P., Arun, M. (2015). Channel estimation algorithms and bit error rate analysis of cognitive radio. ARPN Journal of Engineering and Applied Sciences, 10(8): 3614-3620.

[20] Alamouti, S.M. (1998). A simple transmitter diversity scheme for wireless communications. IEEE J. Select. Areas Commun., 16(8): 1451-1458. https://doi.org/10.1109/49.730453

[21] Simon, M.K., Alouini, M.S. (2000). Digital Communication over Fading Channels: A Unified Approach to Performance Analysis. John Wiley and Sons.

[22] Tse, D., Viswanath. P. (2005). Fundanmentals of Wireless Communication. Cambridge University Press.